Version en ligne

Tutoriel : Rédigez des documents de qualité avec LaTeX

Table des matières

Rédigez des documents de qualité avec LaTeX
Qu'est-ce que LaTeX ?
LaTeX, quésaco ?
Word versus LaTeX
LaTeX et les publications
Historique rapide
Installer LaTeX
De quels logiciels avons-nous besoin ?
L'installation typique
Installation sur Windows
Installation sur Mac OS
Installation sur Linux
Structurer son premier document
La compilation
Rédaction d'un document simple
Types de documents et caractères spéciaux
Les packages
La philosophie des packages
Comment s'en servir ?
Comment installer un package ?
Maîtriser sa mise en page (1/2)
Structure des documents
Page de garde
Alignements de texte et sauts
Maîtriser sa mise en page (2/2)
La forme de votre publication
Marges et interlignes
Les listes
Les styles
Les polices
Graisse, style, taille
Couleur
Les packs de polices
Les notes
Citation, code brut et URL
Minipage et texte encadré
Notes de bas de page, références internes
TP 1 – Mise en page de la Déclaration universelle des droits de l'homme
Les consignes
La correction
Aller plus loin
Les figures
Les différents formats d'images
Insertion d'images et de figures
Les flottants
Les tableaux
Structure type d'un tableau
Fusion de cellules
Autres paramètres applicables à un tableau
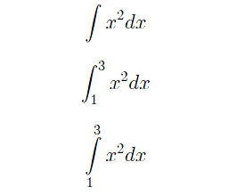
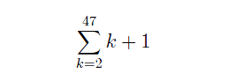
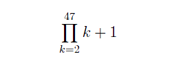
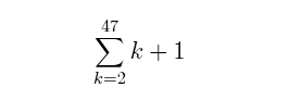
Les mathématiques
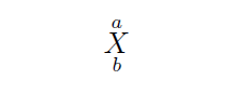
Saisir une expression mathématique
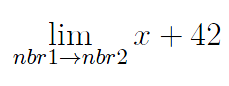
Fonctions usuelles
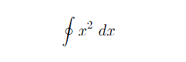
Les intégrales
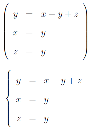
Les systèmes d'équations
Les matrices
Mise en forme de théorèmes, lemmes…
Flèches, symboles étirables et espaces
Sommaire et index
Tables des matières
Tables des figures et tableaux
Les index
La bibliographie
Principe d'une bibliographie
La base de données
Mise en place de la bibliographie
TP 2 – Rédaction d'un article présentant le théorème de Pythagore
Les consignes
La correction
Être plus à l'aise avec LaTeX
Les caractères spéciaux
Environnement mathématique
Autres caractères spéciaux
Liste des packages
La liste
Petite astuce
Les gabarits
La classe article
La classe report
La classe book
La classe letter
Mémento
Les essentiels
La commande \documentclass
Les éléments de mise en page
Les polices
Les notes
Les figures
Les tableaux
Les mathématiques
Les tables
Index
Bibliographie
Aller plus loin
Typographie et encodage
Les cours d'approfondissement
Les incontournables
Beamer
Les interfaces graphiques alternatives

Rédigez des documents de qualité avec LaTeX

LaTeX ? Mais que vient faire le LaTeX sur un site de tutoriel informatique ? C'est un langage ? A quoi sert il ?

Telles sont les questions que peuvent éveiller chez vous la lecture du titre de ce tutoriel. LaTeX est un langage informatique permettant de mettre en page des documents de la manière la plus professionnelle qui soit. Ce langage a été conçu pour rendre la création de document facile pour l'auteur d'un coté, et produire des documents lisibles et clairs du côté des lecteurs. Les documents produits sont la plupart du temps au format pdf.

Les documents créés en LaTeX respectent les standards de l'édition et de l'imprimerie, tout en étant optimisés pour l'affichage de formule mathématiques, faisant de ce langage un outil de choix pour les scientifiques et les éditeurs (il est à noter que dans certains laboratoires de recherche, Word est interdit et seul LaTeX est utilisé).

Les documents produits sous LaTeX sont souvent sobres mais extrêmement lisibles, en voici quelques exemples :

un sommaire en LaTeXun sommaire en LaTeX

insertion d'image en LaTeXinsertion d'image en LaTeX

Maths en LaTeXMaths en LaTeX

Ce cours est conçu pour vous apprendre le langage LaTeX à partir de zéro et faire de vous des Jedis de la mise en page, il comportera trois parties durant lesquelles vous apprendrez à :

Toutes les fonctions utiles seront détaillées, le but étant de vous permettre d'être réellement à l'aise avec LaTeX à la fin de ce tutoriel, raison pour laquelle ce tutoriel sera ponctué d'exercices variés.

Je vous attends avec mon sabre laser et mon clavier dans le premier chapitre. ^^

Image utilisateurCe cours vous plaît ?

Si vous avez aimé ce cours, vous pouvez retrouver le livre "Rédigez des documents de qualité avec LaTeX" du même auteur, en vente sur le Site du Zéro, en librairie et dans les boutiques en ligne. Vous y trouverez ce cours adapté au format papier avec une série de chapitres inédits.

Plus d'informations

Qu'est-ce que LaTeX ?

LaTeX, quésaco ?

LaTeX, vous en avez déjà entendu parler, mais ce nom vous intrigue. À quoi sert-il ? Est-il réellement utile ? Quels sont ses avantages et inconvénients ? Pourquoi a-t-il été créé, et quelle est son histoire ?

Toutes ces questions trouveront leurs réponses dans ce chapitre. Du rôle de LaTeX dans l’avancée du journalisme scientifique à ses caractéristiques techniques, en passant par un court portrait de ses créateurs, cette introduction vous apportera d'intéressantes informations culturelles et techniques. Bien entendu, nous verrons quelques exemples de la mise en page qu’il permet, afin de mieux comprendre les capacités de ce langage (car c’en est un). Et tout vous sera expliqué à partir de… zéro.

LaTeX, quésaco ?

Qu'est-ce que LaTeX ? Word versus LaTeX

LaTeX, quésaco ?

Le logo de LaTeX
Le logo de LaTeX

LaTeX est un langage créé pour séparer le fond de la forme lors de la création d'un document ou d'une publication. Plus clairement, l'auteur tape des instructions dans une sorte de bloc-notes et structure son texte grâce à des mots et des commandes propres à LaTeX. Par exemple, l'auteur peut indiquer à LaTeX de placer la première partie de son texte en gras, et une autre en italique. En somme, il décrit comment il veut hiérarchiser l'information. Ensuite, son code est traité par un logiciel : LaTeX choisit alors les meilleurs agencements et la disposition optimale pour chacun des éléments du document.

En résumé, LaTeX est un langage de description donnant à l'auteur les moyens d'obtenir des documents mis en page de façon professionnelle sans avoir à se soucier de leur forme. La priorité est donnée à l'essentiel : le contenu.

Un soin tout particulier a été consacré à l'élaboration de commandes permettant d'écrire très facilement d'impeccables formules mathématiques. La figure suivante est un exemple de rendu d'une formule compliquée, qui n'a pourtant requis qu'une seule ligne de code LaTeX. Cette spécificité et cette facilité d'écriture des formules font de LaTeX un outil très diffusé dans le monde scientifique.

Une formule
Une formule
Fatigué(e) de lire sur un écran ? Découvrez ce cours en livre.

Qu'est-ce que LaTeX ? Word versus LaTeX

Word versus LaTeX

LaTeX, quésaco ? LaTeX et les publications

Word versus LaTeX

Nous allons maintenant développer les différences entre LaTeX et Word à travers un comparatif global de leurs caractéristiques, suivi d'un résumé traitant des avantages que présente LaTeX.

Comparatif général

Que ce soit dans le cadre de votre travail ou de celui de vos études, vous avez sûrement déjà été confronté à la lourde et ingrate tâche que représentent l'écriture et la mise en page de longs rapports. Rédiger un document de plus de 15 pages demande déjà un grand travail et, bien souvent, la mise en page sur Word donne du fil à retordre.

La cause principale ? L'utilisateur doit gérer à la fois le fond et la forme sur un logiciel fonctionnant comme Word. Trop souvent, il s'enlise dans ces manipulations et perd du temps.

Concrètement, les modifications deviennent vite un cauchemar une fois qu’on a sélectionné et modifié des dizaines de petits éléments. Cela n'est qu'un exemple, mais dans vos publications, vous avez sûrement déjà eu besoin de :

  1. mettre en page des images ;

  2. légender les figures ;

  3. écrire des formules mathématiques (sous Word, c’est extrêmement fastidieux) ;

  4. dessiner des schémas ;

  5. créer des tableaux.

Autant de tâches indispensables, mais qui prennent du temps (même si elles sont faites dans les règles de l'art), à un point tel que nous pouvons avancer que, pour un utilisateur expérimenté, le temps consacré à la rédaction représente moins de 50 % du temps passé sur un long document.

C'est à partir de ce constat que naît l'intérêt de LaTeX. LaTeX n'est pas un traitement de texte du même type qu’OpenOffice et Word. OpenOffice et Word sont ce qu’on appelle des WYSIWYG (what you see is what you get = ce que vous voyez est ce que vous obtenez). Ils vous permettent de mettre en gras votre texte en le sélectionnant et en cliquant sur le bouton gras : vous voyez alors votre texte en gras.

La figure suivante vous montre la différence de présentation entre LaTeX (à gauche) et Word (à droite).

LaTeX vs WordLaTeX vs Word

J'insiste là-dessus : LaTeX ne se comporte et ne s’utilise pas de la même façon que Word. Une fois que vous aurez choisi quel type de publication vous écrivez (livre, article, C.V., lettre…), vous n'aurez plus qu'à taper votre texte au kilomètre dans son éditeur, en mettant en avant les paragraphes, les titres, ou les mots importants de la manière suivante (ici, un morceau de texte est mis en italique) :

La liberté consiste à pouvoir faire \textit{tout ce qui ne nuit pas} à autrui…

LaTeX, à partir de votre texte, créera une mise en page lisible et adaptée, mettra en valeur vos mots en gras, vos titres, vos images et légendes. De façon plus large, c'est un langage créé pour respecter les normes éditoriales et typographiques, qui vous permet d'écrire sans avoir à vous soucier de la mise en page. L’idée de taper des balises et des commandes en plein milieu du texte peut sembler étrange au début, mais vous découvrirez très vite qu’elle simplifie la vie.

Une attention toute particulière a été apportée à la simplification de l'écriture des formules mathématiques et autres expressions scientifiques, souvent enfantées dans la douleur avec des outils comme l'éditeur d'équations de Word. Nous apprendrons bien entendu à maîtriser cette partie de LaTeX.

Les avantages de LaTeX

Il est possible que dans un élan de folie, un auteur estime un élément de mise en page peu adapté ou souhaite simplement changer la police d'un titre. Le voilà donc face à un problème déjà suggéré plus haut : comment modifier un style de titre présent sur 60, 100 voire 200 pages ? Si certains outils WYSIWYG ont eux aussi apporté une solution à ce problème, sachez qu’avec LaTeX, il vous sera possible de changer les caractéristiques de tous vos titres en une fois, de sorte que votre modification soit appliquée sur toutes les pages.

En réalité, avec LaTeX, tout est modifiable, tout est paramétrable. Le logiciel vous donnera une base par défaut propre et structurée pour mettre en page vos publications, mais vous serez libre de modifier les moindres marges, alignements et styles selon vos désirs. Que du bonheur !

Si nous devions lister d'autres qualités de LaTeX, nous pourrions citer en vrac :

LaTeX et la rétrocompatibilité

Rétrocompatibiliquoi ? La rétrocompatibilité, c’est la capacité qu'a un logiciel de produire des fichiers lisibles par ses versions précédentes qui n’ont pas été mises à jour. Vous avez sûrement déjà été confronté au problème causé par une différence de version avec une présentation sur PowerPoint. Si vous n'avez jamais eu le souci sous PowerPoint, vous l'avez probablement rencontré sous Word : un changement de PC peut miraculeusement décaler tous les paragraphes de votre cher rapport et rendre tous les schémas illisibles (l'expérience prouve que l'individu lambda se sent très bête dans ce genre de cas). Ces deux problèmes sont dits de rétrocompatibilité, causés par des logiciels ne produisant pas des fichiers compatibles avec leurs versions précédentes.

Sur LaTeX, ce genre de complication ne survient que très rarement. Un document écrit sur un ordinateur A aura, dans la grande majorité des cas, exactement le même rendu sur un ordinateur B, quelle que soit la version de LaTeX utilisée et le système d'exploitation (Linux, Windows, Mac OS…).
Ajoutons à cela qu'il est souvent possible de produire avec LaTeX des documents en PDF, un format international de mise en page, connu pour ne pas déformer les documents et présenter le même rendu à peu près sur toutes les machines.

Suffisamment appréciable pour être noté, n'est-ce pas ?

Fatigué(e) de lire sur un écran ? Découvrez ce cours en livre.

LaTeX, quésaco ? LaTeX et les publications

LaTeX et les publications

Word versus LaTeX Historique rapide

LaTeX et les publications

Nous venons de traiter les points qui font de LaTeX un langage de qualité, à savoir :

  1. la rétrocompatibilité ;

  2. la création de PDF ;

  3. la possibilité de lire ses documents sur tous les systèmes d'exploitation ;

  4. la présence d'outils permettant la modification rapide de l'ensemble des éléments formant la mise en page ;

  5. la possibilité de passer (enfin) plus de temps à écrire du contenu qu’à le mettre en forme.

Autant d'avantages qui ont fait de LaTeX le chouchou du monde de l'édition et du monde scientifique… Tant et si bien que bon nombre d'ouvrages sont édités en LaTeX, des professionnels de ce langage se faisant payer par des maisons d’édition pour mettre en page des livres de manière irréprochable.
Nous allons nous pencher sur les applications de ce langage dans les publications et le milieu scientifique.

LaTeX dans les publications scientifiques
Les Livres du Zéro sont écrits en LaTeX
Les Livres du Zéro sont écrits en LaTeX

Point important : les scientifiques communiquent essentiellement entre eux grâce à des articles. Ces articles sont la plupart du temps écrits en LaTeX. Ces publications sont légion et chaque semaine, des dizaines de revues scientifiques trient, sélectionnent et mettent en page des articles traitant des innovations et découvertes récentes. En somme, si la science fait avancer le monde, LaTeX est à l'heure actuelle son format de prédilection.
D'ailleurs sachez que les « Livres du Zéro » sont écrits en LaTeX (y compris ce livre que vous tenez dans les mains !) (figure suivante), comme la majorité des fascicules et livres de cours que vous avez pu consulter par le passé.

LaTeX dans le monde de l’éducation

Je suis actuellement étudiant à l'université de Bordeaux 1 : sachez qu'à partir de la première année de Master, dans certaines matières (notamment la physique et les maths), il est obligatoire de rendre ses rapports de stage, mémoires et autres textes au format LaTeX. Il est également utilisé de façon extrêmement fréquente dans les laboratoires de recherche grâce à l'aspect pratique du format PDF (il est facile à exporter et à lire sur les ordinateurs de tous les pays).

LaTeX et les présentations

Notez que LaTeX permet non seulement de faire des rapports, mais aussi de créer des présentations contenant des slides (diapositives) de qualité incomparable, et bien plus encore ! Mais nous en parlerons plus loin dans ce livre.

Fatigué(e) de lire sur un écran ? Découvrez ce cours en livre.

Word versus LaTeX Historique rapide

Historique rapide

LaTeX et les publications Installer LaTeX

Historique rapide

Difficile d'enseigner un langage informatique sans survoler rapidement les raisons de sa création et les C.V. (généralement fort bien remplis) de ses pères. Nous allons ici développer l’historique de LaTeX.

Tout commence avec la création du langage TeX par Donald Erwin Knuth (chercheur américain en informatique, né en 1938), déclenchée en 1977 par un ras-le-bol de l’inélégante mise en page de ses articles mathématiques publiés par l’American Mathematical Society.

Comme souvent dans le monde informatique, un besoin a été la raison de l’innovation, en l'occurrence : TeX. Le langage avait été conçu non pas pour produire de beaux documents, mais pour accroître la lisibilité et optimiser l'insertion de formules mathématiques.

Nous ne sommes pas des typographes, ni des experts de la mise en page, mais ceux qui ont participé à la création de TeX le sont, et ils ont créé un ensemble cohérent de commandes permettant à l'utilisateur d'obtenir un résultat professionnel.

LaTeX est une surcouche de TeX et n'a été créé que plus tard, plus exactement en 1985 par Leslie Lamport (chercheur en informatique américain, né en 1941). TeX, bien que révolutionnaire, était relativement compliqué à utiliser. LaTeX permit une simplification énorme de bon nombre de tâches grâce à des macros intégrées au programme.

Les pères de LaTeX : Donald Knuth à gauche, Leslie Lamport à droite.

Donald Knuth
Donald Knuth

Licence CC - Jacob Appelbaum

Leslie Lamport
Leslie Lamport

Licence Libre

La dernière évolution majeure est LaTeXe, c'est celle avec laquelle nous allons travailler dans ce cours.

LaTeX est un logiciel libre, vous pouvez donc à votre guise le distribuer, vous amuser à modifier son code (pour autant que cela vous amuse), vendre des millions de copies dans l'optique de dominer le monde… du moment que votre logiciel ne reprend pas le nom « TeX » (c'est écrit dans la licence de TeX).

En résumé
Fatigué(e) de lire sur un écran ? Découvrez ce cours en livre.

LaTeX et les publications Installer LaTeX

Installer LaTeX

Historique rapide De quels logiciels avons-nous besoin ?

Le chapitre précédent vous a permis de vous familiariser avec les caractéristiques de LaTeX et quelques-unes des raisons qui ont fait son succès.

Ce deuxième chapitre traite de façon détaillée de l'installation des logiciels permettant d'utiliser LaTeX sur votre machine. LaTeX étant libre, de nombreux environnements graphiques ont été développés, le choix est vaste et vous pourrez trouver des dizaines de méthodes et de logiciels permettant d'installer un éditeur LaTeX.

N'ayez crainte, les environnements sont différents, mais à l'intérieur, ces logiciels utilisent le même noyau dur (TeX, dont nous avons parlé dans le chapitre 1). En conséquence, un texte tapé sous Windows via un éditeur quelconque pourra être lu et modifié avec d'autres logiciels et environnements (par exemple sur des logiciels conçus pour Mac ou Linux).

De quels logiciels avons-nous besoin ?

Installer LaTeX L'installation typique

De quels logiciels avons-nous besoin ?

Dans cette sous-partie, notre regard se porte sur ce que nous souhaitons obtenir grâce à LaTeX. En l'occurrence, nous souhaitons (et parviendrons à) créer des documents en PDF et en PostScript.

Qu'est-ce que PostScript ?

C'est un format de fichier rendant possible sa lecture par des imprimantes sans l'intermédiaire d'un PC, chose que les PDF ou les documents générés par Word ne permettent pas. Offrant beaucoup d'avantages, il est très utilisé au sein des laboratoires de recherche. Vous n'aurez normalement pas grand besoin d'utiliser des fichiers au format PostScript pour vos publications, néanmoins, certains chercheurs et éditeurs en sont de grands fans et ne jurent que par lui. Nous apprendrons donc à manipuler ce format.

Fatigué(e) de lire sur un écran ? Découvrez ce cours en livre.

Installer LaTeX L'installation typique

L'installation typique

De quels logiciels avons-nous besoin ? Installation sur Windows

L'installation typique

Une installation classique de LaTeX comporte trois éléments.

Comme dit ci-dessus, vous pouvez choisir de ne pas utiliser d'éditeur LaTeX et d’employer à la place un éditeur de type Bloc-notes, ou de faire usage d’outils de coloration de texte plus évolués. Les éditeurs LaTeX colorent le code (ce qui le rend beaucoup plus lisible) et vous permettent, via des raccourcis et des fenêtres vous informant des bugs, de faciliter la production de documents.
De la figure suivante à la figure suivante, vous pouvez voir le même code, tapé respectivement dans un éditeur de texte simple (Bloc-notes), dans un éditeur de texte avec coloration (Notepad++, avec lequel les habitués de la programmation web auront sûrement beaucoup d'affinités) et pour finir, dans un éditeur LaTeX (TeXnicCenter).

Bloc-notesBloc-notes

Notepad++Notepad++

TeXnicCenterTeXnicCenter

Par la suite, nous utiliserons un éditeur LaTeX.

Fatigué(e) de lire sur un écran ? Découvrez ce cours en livre.

De quels logiciels avons-nous besoin ? Installation sur Windows

Installation sur Windows

L'installation typique Installation sur Mac OS

Installation sur Windows

Notre installation logicielle pour LaTeX sur Windows se déroulera en trois temps, je vais vous les détailler.

MiKTeX, la distribution LaTeX

Tout d'abord nous allons installer MiKTeX, une des distributions LaTeX disponibles pour Windows. Pour l'installer, la procédure est plutôt simple, mais elle vous demandera de la minutie.

Choix du dossier de destination
Choix du dossier de destination
Ghostscript et Adobe Reader, vos lecteurs de PostScript et de PDF

Il est temps d'installer un lecteur de PostScript ainsi qu'un lecteur de PDF sur votre ordinateur, de sorte que vous puissiez :

Ghostscript

Pour ce qui est des PS, téléchargez le logiciel Ghostscript sur telecharger.com : Télécharger Ghostscript.

Lancez le gestionnaire d'installation, cliquez sur Setup, vérifiez que l'emplacement où il propose de s'installer vous plaît puis cliquez sur Install.

Adobe Reader

Les PDF se lisent la plupart du temps avec Adobe Reader (mais il existe beaucoup d'autres logiciels capables de lire des PDF). Ce logiciel est souvent présent par défaut sur les ordinateurs de bureau. Si ce n'est pas le cas, vous pourrez l'obtenir lui aussi sur telecharger.com : Télécharger Adobe Reader.

Sa procédure d'installation est aussi simple que celle de Ghostscript, elle ne comporte aucun piège.

Bravo ! Vous venez d'installer Ghostscript et Adobe Reader.

TeXnicCenter, l'éditeur LaTeX

TeXnicCenter sera votre éditeur LaTeX, vous avez d’ailleurs pu voir une capture d'écran de ce programme dans le paragraphe traitant des logiciels nécessaires. Pour l'installer, il vous faudra d'abord aller le chercher sur le site officiel : Télécharger TeXnicCenter.

C'est le premier lien, nommé « TeXnicCenter Installer » qui nous intéresse, cliquez dessus, il vous permettra de lancer le téléchargement du gestionnaire d'installation. Une fois que c'est fait, démarrez-le.

TeXnicCenter
TeXnicCenter
Fatigué(e) de lire sur un écran ? Découvrez ce cours en livre.

L'installation typique Installation sur Mac OS

Installation sur Mac OS

Installation sur Windows Installation sur Linux

Installation sur Mac OS

Utilisateurs de Mac, vous êtes de grands chanceux.

Votre système d’exploitation remporte la palme de l'installation LaTeX la plus simple et agréable. Les détenteurs de Windows viennent de souffrir environ trois heures pour installer toutes les composantes de LaTeX séparées en trois alors que pour vous, tout est rassemblé dans un seul fichier !

Le code web fourni ci-dessous mène au site du projet MacTeX, au sein duquel se trouve un énorme fichier comportant tous les outils utiles à la réalisation d’un projet LaTeX. Le fichier à télécharger se trouve en plein milieu de la page (figure suivante), téléchargez-le sur votre Mac et lancez le gestionnaire d'installation avant de suivre la procédure d’une simplicité enfantine qui vous est proposée : Télécharger MacTeX.

Installation de MacTeX
Installation de MacTeX

Une fois cela fait, vous pourrez démarrer TeXShop, l'éditeur LaTeX pour Mac que nous utiliserons par la suite. Il devrait s'être installé dans votre dossier Applications, libre à vous de faire des raccourcis sur votre bureau.

Une capture d'écran de ce à quoi pourra ressembler votre TeXShop vous est montrée à la page suivante (figure suivante).

TeXShop
TeXShop
Fatigué(e) de lire sur un écran ? Découvrez ce cours en livre.

Installation sur Windows Installation sur Linux

Installation sur Linux

Installation sur Mac OS Structurer son premier document

Installation sur Linux

Dans le cadre de cet ouvrage, l'éditeur LaTeX choisi sera Kile (figure suivante) et la distribution LaTeX se nomme TeX Live. Les méthodes d'installation sont pour ce système-ci extrêmement variées et les retours sur la facilité d'installation sur Linux ont été très mitigés. La majeure partie des étudiants utilisateurs de LaTeX sous Linux ont témoigné avoir trouvé beaucoup plus évidente et adaptée l'installation via le gestionnaire de paquets (grâce auquel vous téléchargerez dans un premier temps TeX Live puis Kile). Nous installerons dans le même temps de quoi lire vos fichiers PDF ou PostScript produits.

Comme mentionné plus haut, nous allons utiliser le gestionnaire de paquets (figure suivante).
Dans un premier temps, ouvrez-le. Recherchez et installez tous les paquets contenant les mots suivants :

Une fois ces multiples chargements effectués, vous pouvez vous reposer : votre installation fonctionne.
Voici une capture d'écran du gestionnaire de paquets et une seconde de Kile, l'éditeur LaTeX avec lequel nous allons nous exercer et apprendre à utiliser LaTeX.

Gestionnaire de paquets
Gestionnaire de paquets
Kile
Kile
En résumé
Fatigué(e) de lire sur un écran ? Découvrez ce cours en livre.

Installation sur Mac OS Structurer son premier document

Structurer son premier document

Installation sur Linux La compilation

Durant les deux premiers chapitres de ce cours, vous avez découvert l'histoire de LaTeX ainsi que sa nature, et comment effectuer son installation. Ce nouveau chapitre sera pour vous l'occasion d'un premier contact avec les logiciels que vous venez d'installer.

Soyez sûr d'une chose : le plus dur est derrière vous.

Ce chapitre vous permettra d'écrire votre premier document, de l'imprimer et de comprendre comment LaTeX transforme un code informatique ingrat en un document chatoyant.

C'est un chapitre extrêmement important, car il explique les mécanismes essentiels de LaTeX.

La compilation

Structurer son premier document Rédaction d'un document simple

La compilation

Cette partie développe le concept de compilation et vous permettra d'appréhender le fonctionnement global de LaTeX.

Cette portion du cours s'appuie sur un constat : des lignes de code se transforment en une mise en page. Vous pouvez voir sur la capture d'écran ci-dessous (figure suivante) un document écrit via un éditeur LaTeX ainsi que son résultat une fois passé à la moulinette par votre distribution LaTeX.

Éditeur LaTeX et lecteur PDF
Éditeur LaTeX et lecteur PDF

Que s'est-il passé ?

Souvenons-nous du chapitre précédent : nous y avons appris que les éditeurs LaTeX n'étaient pas indispensables, ils ne jouent qu'un rôle pratique. En revanche, nous avons fortement insisté sur le caractère incontournable de l'installation d'une distribution LaTeX. La distribution est la pièce centrale, elle permet de transformer un fichier de lignes de code (ces fichiers sont des .tex) en un fichier imprimable de type PS ou PDF.

Cette transformation s'appelle une compilation. Votre distribution LaTeX transforme votre fichier .tex en un fichier que vous pourrez par la suite utiliser pour vos travaux et publications.

Résumons tout cela.

  1. Le code est écrit dans l'éditeur LaTeX.

  2. La distribution LaTeX le compile.

  3. Le fichier .tex de départ se voit transformé en un fichier .ps, .pdf ou .dvi (un format très peu utilisé).

Le processus de création n'est pas plus compliqué que cela. Pour créer un document, il vous suffira d'écrire votre code au sein de l'éditeur LaTeX et votre distribution LaTeX se chargera du travail de transformation. Pour que le travail d'écriture du code et de compilation soit plus simple, les éditeurs LaTeX sont dotées d'une zone réservée aux raccourcis (pour les caractères spéciaux, par exemple), qui vous permettront d'insérer facilement dans vos écrits des morceaux de code dont vous vous servirez souvent (Nous verrons par la suite que certains accents doivent être traduits en code, et recopiés de façon très fréquente). Une seconde zone, dédiée aux informations liées à la compilation, vous permet de suivre les compilations et d'obtenir des informations sur d'éventuels bugs présents dans vos compositions. En somme, LaTeX communique avec vous pour vous aider à travailler.

Manipulerons-nous uniquement des fichiers .tex, .dvi, .ps et .pdf avec LaTeX ?

Pour rédiger un livre, il faut une bibliographie, un index et tout un tas d'éléments que LaTeX stocke dans des fichiers aux extensions différentes. Pendant la compilation, votre fichier .tex de départ créera donc une multitude de fichiers correspondant à ces besoins. Ne prenez pas peur si votre dossier ne contenant au départ qu'un .tex se voit tout à coup envahi par de multiples fichiers aux extensions étranges.

Nous allons résumer toutes ces informations via un schéma (figure suivante). Je vous conseille vivement de bien le lire, il est souvent pratique de l'avoir à l'esprit.

Le processus de compilation
Le processus de compilation

Si vous avez compris ce schéma, sachez que LaTeX n'a pas un fonctionnement plus compliqué que cela. Il ne nous reste plus qu'à prendre en main les logiciels et à apprendre comment mettre en forme nos textes en utilisant les commandes et le formalisme de LaTeX.

Fatigué(e) de lire sur un écran ? Découvrez ce cours en livre.

Structurer son premier document Rédaction d'un document simple

Rédaction d'un document simple

La compilation Types de documents et caractères spéciaux

Rédaction d'un document simple

Dans cette partie, je vais vous aider et vous guider dans l'écriture de votre premier document. Il sera très simple et ne comportera qu'une phrase : « Bonjour, je lis actuellement un cours traitant de LaTeX ! »

Rédaction du fichier .tex

Dans un premier temps, il vous faut ouvrir votre éditeur LaTeX (Kile, TeXShop, TeXnicCenter ou autre). Il est possible que celui-ci vous pose quelques questions simples (pour connaître l'emplacement de votre lecteur de PDF, par exemple), répondez-y.

Votre éditeur est à présent ouvert et vous vous trouvez face à une fenêtre scindée en trois parties : une partie console dans laquelle apparaissent les messages d'information (ainsi que les messages d'erreur), une zone réservée aux barres d'outils, et un espace réservé à la rédaction de votre fichier.

Grâce aux raccourcis disponibles dans la barre de menus, créez un nouveau document.
Cliquez à l'intérieur de la zone réservée à l'édition et recopiez-y le paragraphe ci-dessous.

\documentclass{article}

\begin{document}
Bonjour, je lis actuellement un cours traitant de LaTeX !
\end{document}

Enregistrez ce fichier dans le dossier vide de votre choix en utilisant la barre de raccourcis présente en haut de votre éditeur. Nous l'appellerons bonjour.tex.

Compilation

Nous allons maintenant compiler votre fichier .tex pour le transformer en un autre format (PostScript, PDF ou DVI). Ici, trois cas de figure se présentent selon que vous soyez sous Windows, Mac ou Linux.

Compiler avec Kile (Linux)
Compilation avec Kile (pour les anciennes versions)
Compilation avec Kile (pour les anciennes versions)

Vous pouvez voir sur la capture d'écran ci-dessus (figure suivante) la barre d'outils à votre disposition dans Kile. Pour vous, tout commence par la création d'un fichier DVI que vous transformerez ensuite en fichier PostScript, puis en PDF selon vos besoins.

Pas de manipulation compliquée ici, votre éditeur LaTeX se charge de tout et les fichiers produits par la compilation se trouvent dans le dossier où vous avez enregistré votre fichier .tex.

Compiler en ligne de commande (Linux)

Nous avons vu dans le chapitre précédent que l'éditeur LaTeX n'était pas indispensable. Il vous est possible de créer votre fichier .tex dans un éditeur de texte (Emacs, Vim…) avant de le compiler en ligne de commande.

La procédure est assez simple. Une fois votre fichier enregistré dans un dossier, ouvrez la console et placez-vous dans ce dossier avant d'utiliser l'une ou l'autre des commandes ci-après.

Dans un premier temps, vous pouvez compiler votre fichier bonjour.tex en un fichier bonjour.dvi. Le fichier créé apparaît alors dans le dossier où vous avez enregistré votre fichier d'origine en .tex.

latex bonjour.tex

Vous pouvez ensuite lire votre fichier bonjour.dvi grâce à la commande xdvi et l'imprimer grâce à la commande dvips.

xdvi bonjour.dvi
dvips bonjour.dvi

Vous pourrez par la suite choisir de transformer votre fichier bonjour.dvi en un fichier .ps grâce à la commande dvips (en y ajoutant –o comme vous pourrez le voir plus bas dans l'exemple). La commande ps2pdf vous permettra de transformer votre fichier PostScript en un fichier PDF.

Il vous est tout à fait possible de compiler directement votre fichier bonjour.tex en un fichier bonjour.pdf grâce à la commande pdflatex. La lecture de PDF se fait grâce à la commande xpdf.

Résumons ces commandes par quelques exemples pratiques. Testez ces commandes, elles vous serviront tout au long du cours.

dvips bonjour.dvi -o
ps2pdf bonjour.ps
pdflatex bonjour.tex
xpdf bonjour.pdf
Compiler avec TeXShop (Mac)

Une fois de plus, c'est vous, détenteurs de Mac, qui possédez l'interface la plus minimaliste et la plus simple : il vous suffit de cliquer sur « Composition » tout en ayant sélectionné « LaTeX » dans le menu déroulant à droite du bouton.

Votre éditeur LaTeX se charge de tout et les conversions sont faites de façon automatique.

Sans plus attendre, vous pouvez admirer le résultat de votre compilation dans la fenêtre qui vient de s'ouvrir, ou en allant fouiller dans le dossier où est enregistré votre fichier .tex.

Compiler avec TeXnicCenter (Windows)
Compilation avec TeXnicCenter
Compilation avec TeXnicCenter

Dans votre barre de menu, vous constatez la présence d'un menu déroulant (figure suivante). Ce menu vous permet de choisir entre la compilation d'un fichier .tex en un .dvi et la conversion de ce fichier .dvi en un autre format de fichier.

Le bouton à sa droite sert à lancer les compilations / conversions et le bouton encore plus à droite vous donne les aperçus de vos fichiers.
Les fichiers créés apparaissent dans le dossier où vous avez préalablement enregistré votre .tex.

Les résultats

Ici, deux possibilités s'offrent à vous : soit votre compilation a réussi, vous venez de découvrir comment écrire un document en LaTeX (libre à vous de l'imprimer) et vos logiciels fonctionnent, soit votre éditeur LaTeX vous a renvoyé une erreur… je suis alors au regret de vous annoncer que vous vous êtes trompé lors de l'installation et que vous devez la recommencer.

Vous venez de créer votre premier document, félicitations !

Fatigué(e) de lire sur un écran ? Découvrez ce cours en livre.

La compilation Types de documents et caractères spéciaux

Types de documents et caractères spéciaux

Rédaction d'un document simple Les packages

Types de documents et caractères spéciaux

Avant toute chose, sachez que la compilation de documents LaTeX fonctionne toujours de la même manière, vous n'avez plus rien à apprendre de ce côté-là.

Nous allons revenir ici sur le code que nous avons entré dans l'éditeur LaTeX et parler des caractères spéciaux.

Les caractères spéciaux

Comme tout langage de programmation, LaTeX utilise certains caractères pour son usage propre. Dans notre premier document, nous avons utilisé le « \ » pour lui envoyer des ordres. En somme, le « \ » n'est pas simplement recopié par LaTeX, mais interprété.

Ce n'est pas le seul caractère à avoir cette spécificité : ils sont dix et figurent dans le tableau ci-dessous.

Tentez de mettre l'un de ces caractères dans votre texte, il en résultera des erreurs de compilation. Pour signaler à LaTeX que nous ne lui envoyons pas une commande ou que nous ne communiquons pas avec lui en utilisant ces caractères, il suffit de faire précéder les signes d'un backslash (le fameux « \ »). Pour le backslash lui-même, nous utiliserons une commande.

Table des caractères réservés

$

\$

&

\&

%

\%

#

\#

_

\_

{

\{

}

\}

^

\^

\

extbackslash{}

Testons ce tableau ! Entrez le code suivant dans votre éditeur LaTeX, puis enregistrez le .tex avant de le compiler et de le convertir en PDF.

\documentclass{article}

\begin{document}
Bonjour, je lis actuellement un cours traitant de LaTeX !
\$ \& \% \# \_ \{ \} \  \^  \textbackslash{}    

\end{document}

Vous devez obtenir la phrase suivante : « Bonjour, je lis actuellement un cours traitant de LaTeX ! $ & % # _ { }   ^ \ ».

Ce tableau est le premier, mais il y en aura d'autres, pour les accents par exemple. L'ensemble des tableaux de caractères spéciaux est rassemblé au sein d'une annexe volumineuse disponible à la fin du tutoriel (Elle comporte surtout des caractères destinés aux mathématiques).

Types de documents et portions de texte

Nous allons ici décortiquer les trois lignes de code dont nous n'avons pas encore parlé.

Les portions de texte

Dans nos deux premiers exercices, nous avons entouré notre texte d'un couple de commandes.

\begin{document}
\end{document}

Ces deux commandes délimitent le début et la fin de ce que nous appellerons un environnement. Ici, cela revient à dire que nous commencerons toujours un document par \begin{document} et que nous écrirons du texte avant de terminer le document par \end{document}.

De façon plus large, nous pourrions vouloir insérer un poème ou une recette dans un texte. Il nous suffirait alors d'écrire \begin{recette} puis la recette avant de fermer avec \end{recette}. Ce qui pourrait nous donner le code ci-dessous (ce n'est qu'un exemple fantaisiste).

\begin{document}
\begin{recette}
Ma recette, bla, bla bla.
\end{recette}
\begin{texte}
Mon joli texte, bla, bla bla.
\end{texte}
\end{document}

La commande \begin ouvre un environnement tandis que \end le ferme. Le type d'environnement se voit entouré d'accolades et les options qui lui sont rattachées sont entre crochets (nous en utiliserons tout au long de ce tutoriel).

En résumé, délimiter un environnement revient à écrire un code du même type que celui ci-dessous.

\begin{type}[options]
Bla,bla
\end{type}

Nous apprendrons les noms et l'utilité des différents environnements au fil du cours.

Les types de documents

La première ligne de nos deux exercices n'a pas encore été analysée : elle contient pourtant une information capitale. Tout d'abord, réaffichons cette ligne, je vous expliquerai tout ensuite.

\documentclass{article}

Une traduction approximative de la commande nous donne quelque chose qui ressemble à ceci : ce document est un article, probablement scientifique. Ici aussi, nous écrivons le type entre les accolades.

Cette commande sert en fait à expliquer à LaTeX que la publication que nous sommes en train de produire est un article. Ceci dans le but que LaTeX mette en page l'intégralité du contenu afin qu'il respecte les normes de typographie et de mise en page d'un article parfaitement présenté.

Pour écrire un roman, je fais comment ?

Tout simplement, vous remplacez le type de document par book. Il existe plusieurs types de documents, je vous cite ici les principaux dans un tableau.

Type de document

article

Article (sous-entendu scientifique)

book

Livre

letter

Lettre

report

Rapport (stage, thèse…)

Peut-on là aussi spécifier des options ?

Absolument, nous verrons dans la suite du cours certaines options dédiées à certains types de document. La formulation des options se fait selon la syntaxe suivante :

\documentclass[options]{type}
En résumé
Fatigué(e) de lire sur un écran ? Découvrez ce cours en livre.

Rédaction d'un document simple Les packages

Les packages

Types de documents et caractères spéciaux La philosophie des packages

Votre apprentissage des mécanismes élémentaires de LaTeX est terminé. Vous savez à présent ouvrir et rédiger des fichiers source en .tex et les compiler de façon à obtenir des documents aux formats PDF, PostScript et DVI.

Nous avons également pu constater que pour expliquer à LaTeX ce que nous attendons de lui, nous utilisons des commandes et des lignes de code. Ces différentes commandes et leurs applications seront étudiées dans les parties 2 et 3.

Ce chapitre est le dernier chapitre théorique. Nous allons ici répondre à une question importante : si LaTeX ne sait pas faire quelque chose (mettre du texte en couleur, par exemple), comment changer cela ?

Nous allons répondre à cette question en introduisant la notion de « package », notion centrale et omniprésente dans l'univers LaTeX.

La philosophie des packages

Les packages Comment s'en servir ?

La philosophie des packages

Les habitués de l'informatique connaissent assez bien la signification des mots « extension », « package » et « plugin ». Ces éléments sont présents dans de nombreux programmes et dans cette partie, nous allons tenter de développer le concept de « package » pour ceux à qui il n'est pas familier.

Imaginons votre installation LaTeX comme une cuisine équipée. Vous pouvez cuire des aliments, poser des objets sur le plan de travail, etc. En bref, cette pièce peut vous rendre certains services tout comme LaTeX nativement vous permet d'écrire du texte simple (c'est ce que nous avons pu voir dans le chapitre précédent).

Vous vous préparez un plat et avez besoin d'un couteau pour le cuisiner, or ce couteau ne fait pas partie des outils fournis par la personne qui a conçu votre cuisine. C'est un problème. Il est nécessaire pour vous d'aller chercher quelque part cet outil, afin de l'apporter dans votre cuisine pour vous permettre d'atteindre votre objectif : découper ce que vous vouliez découper.

Dans le cas de LaTeX, des outils ont été créés dans le but de pallier certains manques et d'implanter de nouvelles fonctions. Grâce à ces derniers, l'univers LaTeX permet de réaliser chaque jour de nouvelles choses. Ces outils sont appelés « packages », et tout un chacun peut en créer ainsi que les diffuser.

Si jamais un package vient à manquer, vous irez le chercher sur l'internet et l'utiliserez ensuite (gardez la métaphore du couteau en tête, quand un outil manque, il suffit d'aller le chercher).

En tant qu'utilisateur de LaTeX, vous serez fréquemment amené à utiliser des packages. En résumé, deux possibilités s'offrent à vous lorsque vous souhaiterez en manipuler un :

Ces tâches sont très simples et nous allons apprendre dans la suite de ce chapitre à installer et utiliser les packages de LaTeX.

Fatigué(e) de lire sur un écran ? Découvrez ce cours en livre.

Les packages Comment s'en servir ?

Comment s'en servir ?

La philosophie des packages Comment installer un package ?

Comment s'en servir ?

Même si nous allons ici apprendre à installer des packages, ce n'est pas l'objectif principal de ce chapitre. Des millions d'utilisateurs avant vous ont conçu des documents à l'aide de LaTeX et rendu certains packages incontournables. C'est la raison pour laquelle ils sont aujourd'hui souvent installés par défaut avec votre distribution LaTeX (de la même manière que vous ne vous installeriez pas dans une maison sans meubles, les utilisateurs de LaTeX préfèrent installer dès le début les éléments essentiels leur permettant de travailler confortablement).

Cette partie va vous apprendre à manipuler les packages.

Pour utiliser un package avec LaTeX, nous procéderons en deux étapes. Dans un premier temps, nous communiquerons à LaTeX, au moyen d'une commande, que nous travaillerons avec tel ou tel package et dans un second temps, nous pourrons les utiliser dans nos publications.

La commande \usepackage[option]{type} permet d'appeler un package. Elle se place juste après la ligne dédiée à la commande \documentclass.

Regardez l'exemple ci-dessous que nous allons commenter ensemble.

\documentclass{report}

\usepackage[latin1]{inputenc} % un package
\usepackage[T1]{fontenc}      % un second package
\usepackage[francais]{babel}  % un troisième package
\begin{document}

J'écris mon 3\up{e} document avec \og \LaTeX{} \fg.
\LaTeX{} est un langage créé par Leslie \bsc{Lamport}.

\end{document}

Trois packages ont été utilisés dans l'exemple ci-dessus :

\up{}, \og et \fg sont-elles de nouvelles commandes ?

Effectivement, ces commandes sont nouvelles. Le package babel permet l'utilisation de commandes propres à la langue choisie (Nous n'utiliserons ici que les commandes de babel liées au français.). Entre autres, les guillemets français et les petites capitales en ce qui concerne le français. Ce package permet donc à LaTeX d'exécuter de nouvelles tâches et d'être plus efficace pour écrire en langue française.

Ci-dessous, un tableau vous montrant les commandes introduites par le package babel. N'hésitez pas à les essayer et à vous faire la main avec.

Package babel

«

\og

»

\fg

Exposant

\up{}

Petites Majuscules

\bsc{Lamport}

1er

1\ier

2e

2\ieme

\primo

\secundo

ertio

\quarto

8° (ou n'importe quel autre chiffre)

\FrenchEnumerate{8}

no

o

No

\No

nos

os

Nos

\Nos

40° (le caractère degré)

40\degres

Des centaines de packages existent, chacun rendant LaTeX plus performant. Ils vous permettent d'ajouter, à la carte, des fonctions à votre distribution. Souvent, lorsque vous avez envie de faire quelque chose d'original avec LaTeX, quelqu'un a déjà fabriqué un package adapté (Une recherche sur votre moteur de recherche favori suffit souvent à trouver la perle rare.) et il ne vous reste plus qu'à l'installer puis à l'utiliser.

Fatigué(e) de lire sur un écran ? Découvrez ce cours en livre.

La philosophie des packages Comment installer un package ?

Comment installer un package ?

Comment s'en servir ? Maîtriser sa mise en page (1/2)

Comment installer un package ?

L'installation par défaut de LaTeX sur votre machine inclut déjà de nombreux packages. Il est cependant possible que vous ayez un jour besoin d'installer un package absent sur votre machine. Cette partie est là pour vous expliquer comment faire.

Notons que si vous avez installé LaTeX comme expliqué dans le chapitre 3, il est peu probable qu'un package utilisé dans ce cours ne soit pas présent sur votre machine.

MiKTeX et son installation à la volée

Les utilisateurs de MiKTeX (Windows) ont de la chance en ce qui concerne les packages, car MiKTeX installe tout seul comme un grand les packages appelés lors de la compilation qui ne sont pas présents sur leur machine.

Si vous souhaitez savoir si un package se trouve dans votre installation MiKTeX, rien de plus simple, il vous suffit d'aller dans votre menu Démarrer et d'aller chercher le Package Manager (figure suivante).

Chemin du Package Manager : MiKTeX  → Maintenance → Package Manager.

Trouver le Package Manager dans le menu
Trouver le Package Manager dans le menu

Le Package Manager vous permettra de voir la liste des packages installés dans votre distribution (figure suivante).

Package Manager
Package Manager
Autres distributions

Il existe plusieurs méthodes d'installation de package avec LaTeX. J'ai sélectionné pour vous les deux plus faciles à mon sens. Elles devraient vous permettre d'utiliser la quasi-totalité des packages.

Les deux méthodes développées ici diffèrent légèrement, suivant que votre package est un fichier .ins ou .sty.

Dans de rares cas, les packages sont fournis sous d'autres extensions, mais ils sont alors accompagnés d'un fichier README vous guidant lors de leur installation.

Les packages en .sty, méthode simple

Si votre package est de la forme nom_de_package.sty, rien de plus simple pour l'utiliser : il suffit de le copier dans le dossier contenant votre source .tex. Lorsque votre distribution compilera le fichier .tex, elle recherchera dans ce dossier les fichiers .sty des packages manquants, et le tour sera joué.

Résumons, la commande \usepackage{nom_de_package} demande à LaTeX d'utiliser un package installé ou, s'il ne l'est pas, d'aller chercher le fichier nom_de_package.sty dans le dossier de travail.

Simple, n'est-ce pas ?

Les packages en .ins, méthode en deux temps

Les packages contenus dans un fichier .ins doivent être traités en deux étapes. Premièrement, mettez votre fichier nom_de_package.ins dans un répertoire et compilez-le : il enfantera (sans douleur) un fichier nom_de_package.sty.

Ce fichier nom_de_package.sty doit être traité selon le processus développé dans le paragraphe « Les packages en .sty, méthode simple ».

En résumé
Fatigué(e) de lire sur un écran ? Découvrez ce cours en livre.

Comment s'en servir ? Maîtriser sa mise en page (1/2)

Maîtriser sa mise en page (1/2)

Comment installer un package ? Structure des documents

Les deux premiers chapitres de cette partie traiteront de mise en page. Nous y aborderons de nombreuses fonctions vous permettant de hiérarchiser votre contenu et de le présenter selon vos goûts.

Ce premier chapitre vous apprendra, entre autres, à :

Structure des documents

Maîtriser sa mise en page (1/2) Page de garde

Structure des documents

Généralités
Tableau des éléments de structure

Vous avez appris dans le chapitre 4 à indiquer à LaTeX que vous alliez écrire en français. Il est maintenant temps d'apprendre à hiérarchiser des informations sous forme de parties, chapitres, sections, etc. Votre distribution LaTeX se servira de la hiérarchisation de vos informations pour mettre en page votre contenu proprement. LaTeX se base sur différentes règles de typographie et de mise en page professionnelles pour donner à chaque élément un placement optimal et une lisibilité accrue.

Ci-dessous, un tableau résumant les différents niveaux de hiérarchisation du contenu (de la grande partie jusqu'au tout petit sous-paragraphe).

lCommandes des éléments de structure

Partie

\part{nom de la partie}

Chapitre

\chapter{nom du chapitre}

Section

\section{nom de la section}

Sous-section

\subsection{nom de la sous section}

Sous-sous-section

\subsubsection{nom de la sous sous section}

Paragraphe

\paragraph{nom du paragraphe}

Sous-paragraphe

\subparagraph{nom du sous paragraphe}

Notez que \chapter n'est pas disponible pour les classes de document article et letter.

Exercice

J'ai choisi volontairement de vous présenter le tableau précédent avant de vous donner un exemple pratique. L'heure de l'exercice a sonné !

Essayez d'écrire un document de classe report, en français et contenant les éléments de structure suivants : une partie, un chapitre, une section et une sous-section dans laquelle vous écrirez quelques lignes.

Votre résultat doit ressembler à la figure suivante disponible à la page suivante.

Résultat de l'exercice
Résultat de l'exercice

Si ceci est le premier document que vous composez par vous-même, il est normal que cela vous demande de rechercher des notions dans les chapitres précédents ; de même, il est normal de trouver quelques coquilles dans votre code. Néanmoins, votre code final doit être proche de celui-ci (même si vous pouvez avoir choisi des noms de chapitres ou de sections différents) :

\documentclass{report}

\usepackage[latin1]{inputenc}
\usepackage[T1]{fontenc}
\usepackage[francais]{babel}

\begin{document}

\part{Partie}
\chapter{Chapitre}
\section{Section}
\subsection{Une sous-section}
Lorem ipsum dolor sit amet, consectetur adipiscing elit.
Donec nec condimentum libero. Phasellus condimentum porttitor congue.
Morbi eget quam sed justo egestas lobortis. Aenean et erat metus.
Nam metus nibh, imperdiet eget gravida sed, consequat eu nulla. Donec massa mauris, luctus vitae auctor non, sagittis non sapien.
Donec interdum pretium venenatis. Pellentesque aliquam convallis convallis.
Fusce tincidunt orci eu velit varius luctus. Etiam iaculis viverra enim ac varius.
Duis pretium elit eu eros auctor vel iaculis nulla commodo. Aliquam interdum fermentum orci sed fringilla.
Sed euismod condimentum dui, et pharetra ipsum dictum quis.

\end{document}
Modification de la numérotation des éléments de structure
Numéroter les annexes

Rendre un rapport} nécessite souvent de mettre en annexe un certain nombre de textes et de photos (Cela permet, par exemple, de ne pas encombrer le contenu principal avec d'immenses tableaux). LaTeX permet à l'auteur de numéroter ses chapitres de contenu en chiffres et d'entamer une nouvelle numérotation des chapitres annexes avec des lettres.

La commande permettant de faire ceci est la commande \appendix. Elle se place entre le contenu et les annexes, comme vous pouvez le constater dans le prochain code source.

\documentclass{report}
\usepackage[latin1]{inputenc}
\usepackage[T1]{fontenc}
\usepackage[francais]{babel}
\begin{document}
\part{Partie}
\chapter{premier chapitre}
\chapter{second chapitre}
\chapter{troisième chapitre}
\chapter{quatrième chapire}
\chapter{cinquième chapitre}
\chapter{sixième chapitre}
\appendix
\chapter{Un schéma}
% Pas besoin de changer de commande pour transformer un chapitre en annexe grâce à appendix
\chapter{Un article annexe}
\chapter{Un canard}
\end{document}

Résumons ceci par un schéma (figure suivante).

Utilisation de la commande \textbackslash{appendix}
Utilisation de la commande extbackslash{appendix}

Dans un article, étant donné que la commande \chapter ne peut pas être utilisée (elle n'est utilisable que pour les rapports et les livres), \appendix jouera sur la numérotation des sections.

Autres numérotations particulières

Dans le cas d'un livre, il peut être intéressant d'organiser et de numéroter de façons différentes les pages suivantes :

Ainsi, de nouvelles commandes apparaissent, fonctionnant de la même manière que la commande \appendix. Cependant, elles n'agissent pas uniquement sur la numérotation des chapitres et sections, mais également sur la numérotation des pages. Tout d'abord, la commande \frontmatter, qui se positionne juste après \begin{document}, permet de numéroter le préambule en chiffres romains.

Ensuite, \mainmatter se place entre le préambule et le premier chapitre. Cette commande permet de lancer la numérotation arabe habituelle des pages (1, 2, 3, etc.).

Enfin, \backmatter se place avant le chapitre épilogue, les index et bibliographies (que nous apprendrons à créer par la suite). Il a pour effet de stopper la numérotation des chapitres, mais pas la numérotation des pages.

La figure suivante résume tout ce qui a été dit.

Les autres éléments
Les autres éléments
Fatigué(e) de lire sur un écran ? Découvrez ce cours en livre.

Maîtriser sa mise en page (1/2) Page de garde

Page de garde

Structure des documents Alignements de texte et sauts

Page de garde

La théorie

Nous venons de créer une organisation hiérarchique des données présentes dans votre document. Néanmoins, il manque une page extrêmement importante : la page de garde.

La page de garde est composée de trois éléments :

Ces trois éléments sont introduits avant la commande \begin{document}, et une quatrième commande \maketitle se place juste après \begin{document} afin de faire comprendre à LaTeX que vous souhaitez composer une page de garde avec les trois éléments cités plus haut.

La pratique

La création d'une page de garde est assez simple et vous avez toutes les cartes en main pour en créer une. Vous allez donc effectuer un exercice dans lequel je souhaite que vous réalisiez un article avec une page de garde dans les conditions suivantes :

Normalement, vous voici avec une belle page de garde (figure suivante) et un code ressemblant, au paragraphe près, à celui cité ci-dessous :

\documentclass{book}
\usepackage[latin1]{inputenc}    
\usepackage[T1]{fontenc}
\usepackage[francais]{babel}     
      

\title{Les Lapins}
\author{John \bsc{Doe}}
\date{3 mai 2010}
\begin{document}
 
\maketitle
  

\part{Éloge des lapins}
    
Votre gros paragraphe.
    
\end{document}
Page de garde
Page de garde
Fatigué(e) de lire sur un écran ? Découvrez ce cours en livre.

Structure des documents Alignements de texte et sauts

Alignements de texte et sauts

Page de garde Maîtriser sa mise en page (2/2)

Alignements de texte et sauts

Alignements de texte

LaTeX justifie naturellement les paragraphes, il vous sera donc nécessaire d'utiliser différents environnements si vous souhaitez que votre texte soit centré, aligné à gauche ou à droite.

Ici, trois environnements différents sont utilisables suivant vos besoins :

Une petite démonstration pratique de l'utilisation de ces trois environnements se trouve à la figure suivante (essayez de produire le même résultat : si vous n'y arrivez pas, reprenez le chapitre introduisant les environnements).

Les différents alignements
Les différents alignements
Sauts

Ici nous allons apprendre à sauter des lignes et créer des paragraphes. Rien de compliqué à cela, vous allez voir.
Tout d'abord, pour créer un paragraphe, il vous suffit de sauter deux lignes. Rien de plus, juste deux sauts de lignes, comme vous pouvez le voir ci-dessous.

\begin{document}
Un paragraphe.

Un second paragraphe.
\end{document}

Pour aller à la ligne sans créer de nouveau paragraphe il vous faudra taper la commande ewline ou la commande \\.

Pour faire un saut de page il vous faudra taper la commande ewpage. Cette commande ferme le paragraphe en cours et en crée un nouveau au début de la page suivante.

Ci-dessous un exemple d'utilisation de ces nouvelles commandes ainsi que son rendu.

Un canard\\un lapin\newline une pintade\newpage un ours
Rendu des différents types de sauts
Rendu des différents types de sauts
En résumé
Fatigué(e) de lire sur un écran ? Découvrez ce cours en livre.

Page de garde Maîtriser sa mise en page (2/2)

Maîtriser sa mise en page (2/2)

Alignements de texte et sauts La forme de votre publication

Dans ce second chapitre sur la mise en page, nous n'allons pas voir comment structurer les informations, mais plutôt apprendre à mieux les présenter.

Au programme de ce chapitre :

Ces éléments sont cruciaux pour une bonne mise en page. Les marges vous permettront par exemple de relier vos documents plus facilement.

La forme de votre publication

Maîtriser sa mise en page (2/2) Marges et interlignes

La forme de votre publication

La commande \documentclass{}

Nous avons vu dans la première partie qu'un document commence forcément par la commande \documentclass[options]{type du document}. Les types de documents utilisés dans ce livre sont énoncés dans le tableau ci-dessous (déjà présent dans le chapitre 3).

Type de document

article

Article (sous-entendu scientifique)

book

Livre

letter

Lettre

report

Rapport (stage, thèse…)

Par le biais du type de document, nous avons défini la nature de la publication que nous composons : livre, lettre ou autre. Néanmoins, certaines informations manquent :

Un second tableau fait donc naturellement son apparition, listant les options applicables à la commande \documentclass{}.

Options applicables à la commande \documentclass{}

Description

Valeurs applicables

Valeur par défaut

Format du papier

a4paper, a5paper, letterpaper, b5paper

letterpaper

Taille de la police principale

10pt, 11pt, 12pt

10pt

Alignement des équations

fleqn (à gauche)

centrées par défaut

Colonnes

onecolumn, twocolumn

onecolumn

Première page des chapitres

openany, openright

openright

Recto verso

oneside, twoside

article et report : oneside,
book : twoside

Exemples pratiques

Le tableau que vous venez de lire est un outil précieux, mais encore faut-il savoir s'en servir. Dans un premier temps, copiez et collez le code source ci-dessous dans un fichier test.tex.

\documentclass{book}

\usepackage[latin1]{inputenc}    
\usepackage[T1]{fontenc}
\usepackage[francais]{babel}     
      
\begin{document}
\section{Un fort beau chapitre}
cinq ou six gros paragraphes de faux texte.
\end{document}

Tentez de remplacer \documentclass{book} par l'une des lignes ci-dessous (une seule à la fois : il ne faut pas deux commandes \documentclass{} dans une même publication).

\documentclass[twocolumn]{book}
\documentclass[twocolumn]{article}
\documentclass[12pt]{book}
\documentclass[11pt]{article}
\documentclass[twocolumn, 12pt]{book}

Essayez ces lignes (ajoutez un peu de texte pour mieux voir les différences, si vous préférez).

Retenez de cette sous-partie que la commande \documentclass{} peut être personnalisée grâce à des options contenues entre crochets et séparées par des virgules de la façon suivante : \documentclass[option1, option2, option3]{type}.

Fatigué(e) de lire sur un écran ? Découvrez ce cours en livre.

Maîtriser sa mise en page (2/2) Marges et interlignes

Marges et interlignes

La forme de votre publication Les listes

Marges et interlignes

Marges

Vous venez d'apprendre à créer des publications adaptées à la taille de votre papier et aux principales exigences d'un auteur (choisir la taille de la police principale est essentiel, par exemple).

Voyons maintenant comment modifier les marges d'un document.

Cette modification se fait en trois temps. Tout d'abord, nous allons créer un document dans lequel nous appelons le package layout, puis nous allons utiliser la commande \layout introduite par celui-ci afin d'obtenir un gabarit qui nous donnera une idée de la taille de chaque marge.

En parallèle, nous imprimerons un document saturé de texte afin de voir le rendu produit avec ces tailles de marges.

Le code à utiliser pour la création du layout est donné ci-dessous. Il est accompagné d'une capture d'écran d'un document saturé en texte, ainsi que d'une capture d'écran d'un layout (figure suivante).

\documentclass{article}

\usepackage[latin1]{inputenc}
\usepackage[T1]{fontenc}
\usepackage[francais]{babel}
\usepackage{layout}

\begin{document}

\layout

\end{document}
Le duo layout / page saturée en texte
Le duo layout / page saturée en texte

Ces deux éléments conjugués nous permettent de mieux visualiser les marges et leurs grandeurs respectives.

Afin de modifier celles-ci, nous utiliserons le package geometry dans lequel nous spécifierons les tailles des marges en haut, en bas, à gauche puis à droite.

Tout ceci s'écrit avec la syntaxe suivante :

\usepackage[top=2cm, bottom=2cm, left=2cm, right=2cm]{geometry}

Bien sûr, vous pouvez modifier à votre guise les différentes longueurs.

Résumons les étapes:

Interlignes

Dans certains types de documentation, un interlignage une fois et demie ou deux fois supérieur à la normale est requis. Nous allons voir ensemble comment utiliser ces derniers dans un document. Il est également possible de créer des interlignes d'une taille définie par l'auteur, mais ce n'est pas notre souhait ici. Afin d'obtenir des interlignes personnalisés, il faut utiliser le package setspace ainsi que les commandes \onehalfspacing et \doublespacing dans le préambule, qui permettent d'obtenir dans tout le document un interligne respectivement 1,5 et 2 fois plus grand que l'interligne habituel.

Pour ne changer les interlignes que dans des petits morceaux de votre composition, les environnements onehalfspace et doublespace sont adaptés. L'exemple ci-dessous illustre ce cas (figure suivante).

\documentclass[10pt]{article}
 
\usepackage[latin1]{inputenc}
\usepackage[T1]{fontenc}
\usepackage[francais]{babel} 
\usepackage{setspace}

\begin{document}

\section{interligne simple}

Un paragraphe.

\section{interligne intermédiaire}

\begin{onehalfspace}
Un autre paragraphe.
\end{onehalfspace}

\section{interligne double}

\begin{doublespace}
Encore un autre paragraphe.
\end{doublespace}

\end{document}
Interlignes
Interlignes
Fatigué(e) de lire sur un écran ? Découvrez ce cours en livre.

La forme de votre publication Les listes

Les listes

Marges et interlignes Les styles

Les listes

Nous allons maintenant apprendre à créer des listes.

Les listes sont très utiles dans un document et peuvent être selon vos souhaits :

Listes à puces

La création d'une liste à puces se fait en trois temps :

Rien de compliqué là-dedans, vous pouvez voir ci-dessous un exemple pratique présentant un code de liste à puces, ainsi que son rendu (figure suivante).

Petit bonus, le changement de la forme de la puce est introduit dans le code.

\begin{document}
 
\begin{itemize}

\item Un canard.
\item Un mammouth.
\item Un canard.
\item Un mammouth.
\item Un canard.
\item Un mammouth.
\item[@] Une pintade. % En plaçant un @ entre crochets après \item, j'ai transformé la puce en @
\item[0] Un lapin.

\end{itemize}
Liste à puces
Liste à puces
Listes numérotées

La création d'une liste numérotée se fait également en trois temps (seul le nom de l'environnement change) :

Si vous avez compris comment construire des listes à puces, vous n'aurez aucune difficulté à créer des listes numérotées.

Cependant, un exemple de code et un rendu en image (figure suivante) ne peuvent pas faire de tort.

\documentclass{article}
\begin{document}
\begin{enumerate}
\item un canard
\item un mammouth
\item un canard
\item un mammouth
\item un canard
\item un mammouth
\item[@] une pintade % En plaçant un @ entre crochets après \item, j’ai transformé la puce en @
\item[0] un lapin
\end{enumerate}
\end{document}
Liste numérotée
Liste numérotée
Listes de description

Si vous souhaitez écrire une série de définitions, l'environnement description est fait pour vous. Il vous permet de remplacer les puces par des expressions de votre choix qui seront mises en gras.

Ces mots en gras devront être placés entre crochets juste après la commande \item dans le code source.

Démonstration ci-dessous (figure suivante) :

\documentclass{article}
\begin{document}
\begin{description}
\item[Un canard :] bestiole qui fait coin.
\item[Un poulpe :] bestiole qui fait bloub.
\item[Un ornithorynque :] bestiole qui fait rire.
\item[Un ours :] bestiole qui fait mal.
\end{description}
\end{document}
Liste de description
Liste de description

Les listes n'ont rien de sorcier : en faire usage aérera vos documents en plus de vous permettre, par exemple, de présenter simplement des processus, des manipulations ou des protocoles opératoires (ce ne sont que des exemples, vous pouvez très bien vous en servir pour lister des ingrédients dans la recette des crêpes).

Fatigué(e) de lire sur un écran ? Découvrez ce cours en livre.

Marges et interlignes Les styles

Les styles

Les listes Les polices

Les styles

Nous venons d'apporter de nombreuses modifications à nos publications. Elles ont été mises en forme, structurées, listées.

Il nous reste un élément essentiel à personnaliser : les en-têtes et pieds de pages.

Ces éléments ont eux aussi été étudiés par les concepteurs de LaTeX. Il existe bien sûr des packages permettant d'en faire des choses originales. Néanmoins, les pères de LaTeX ont choisi trois couples en-têtes / pieds de page qui leur semblaient les plus adaptés à un usage professionnel (nous utiliserons d'autres packages et des mises en forme élaborées plus loin dans le cours).

Pour utiliser un couple en-têtes / pieds de page, il vous suffira de choisir ce que LaTeX appelle un style. Ces trois styles sont :

Dans les pages suivantes, vous trouverez des captures d'écran de documents composés respectivement avec les commandes plain (figure suivante), headings (figure suivante) et enfin empty (figure suivante).

Pour donner un style à une page en particulier, il suffit d'utiliser la commande \pagestyle{nom du style} que nous insérerons au début de la page à modifier.

Rien de bien compliqué, n'est-ce pas ?

Dans le premier TP, nous apprendrons à personnaliser de manière bien plus approfondie nos en-têtes et pieds de page.

Le style plain
Le style plain
Le style headings
Le style headings
Le style empty
Le style empty
En résumé
Fatigué(e) de lire sur un écran ? Découvrez ce cours en livre.

Les listes Les polices

Les polices

Les styles Graisse, style, taille

Ce troisième chapitre traitera des polices et de toutes les façons de modifier du texte. La bonne maîtrise de ces outils vous permettra de facilement mettre en avant des mots ou des phrases, rendant ainsi vos documents plus lisibles et structurés.

Quelques conseils seront distillés, en rapport avec les chapitres précédents (en particulier à propos de la commande \documentclass et de la taille de police par défaut).

À la fin de ce chapitre, vous pourrez sans problème :

Rien de sorcier dans les commandes, leur manipulation ne devrait pas poser de problème. Ce chapitre étant le plus facile du livre, profitez-en pour vous entraîner.

Graisse, style, taille

Les polices Couleur

Graisse, style, taille

Taille de texte

Nous allons dans ce paragraphe comprendre comment la taille du texte peut être modifiée, de façon à écrire certains mots en plus grand que les autres.

LaTeX propose dix commandes différentes permettant d'augmenter ou de diminuer la taille de votre texte selon votre envie. Ces commandes s'utilisent très simplement et possèdent deux syntaxes différentes :

\commande{mon bout de texte} % rien d'inhabituel
{\commande mon bout de texte} % nouvelle façon

Dans le cas des modifications de tailles de texte, ces deux méthodes fonctionnent. Néanmoins, je vous conseille d'utiliser la syntaxe \commande{mon bout de texte} car elle est similaire à la majorité des autres syntaxes utilisées dans LaTeX.

Les tailles de texte
Les tailles de texte

Revenons à nos commandes. Comme dit plus haut, le texte peut subir dix transformations différentes au niveau de la taille. Cela nous donne donc une échelle de taille de texte assez large (figure suivante).

Une fois n'est pas coutume, un beau tableau devrait nous aider à y voir plus clair dans ce tas de commandes. Testez ces dernières, vous serez surpris des changements qu'elles effectueront dans vos mises en page.

Commande

Taille de texte

iny

Minuscule

\scriptsize

Très très petite

\footnotesize

Très petite

\small

Petite

ormalsize

Normale (définie dans \documentclass)

\large

Légèrement plus grande que la normale

\Large

Grande

\LARGE

Très grande

\huge

Très très grande

\Huge

Énorme !

Graisse, soulignement…

Nous venons d’apprendre à rendre plus petite ou plus grosse une portion de texte. Nous allons à présent apprendre à mettre ledit texte en gras, à le souligner ainsi que moult commandes de modifications.

Il existe ici trois méthodes différentes pour appliquer des transformations de type graisse et soulignement à un texte :

A la différence des commandes de tailles de textes s’utilisant indifféremment à l’intérieur ou à l’extérieur des accolades, il existe ici des commandes différentes suivant que vous utilisiez l’une ou l’autre des deux méthodes.

Pour vous épargner de multiples paragraphes, les exemples et commandes sont synthétisés ci-dessous sous forme de tableau (à imprimer et à garder sous la main).

Mise en forme

Modification

Commande

Rendu

Normal

{ ormalfont un lapin}

Image utilisateurImage utilisateur

\begin{rm}un lapin \end{rm}

Image utilisateurImage utilisateur

Gras

extbf{un lapin}

Image utilisateurImage utilisateur

{\bfseries un lapin}

Image utilisateurImage utilisateur

\begin{bf}un lapin \end{bf}

Image utilisateurImage utilisateur

Italique

extit{un lapin}

Image utilisateurImage utilisateur

{\itshape un lapin}

Image utilisateurImage utilisateur

\begin{it}un lapin \end{it}

Image utilisateurImage utilisateur

Penché

extsl{un lapin}

Image utilisateurImage utilisateur

{\slshape un lapin}

Image utilisateurImage utilisateur

\begin{sl}un lapin \end{sl}

Image utilisateurImage utilisateur

Machine à écrire

exttt{un lapin}

Image utilisateurImage utilisateur

{ tfamily un lapin}

Image utilisateurImage utilisateur

\begin{tt}un lapin \end{tt}

Image utilisateurImage utilisateur

Petites majuscules

extsc{un lapin}

Image utilisateurImage utilisateur

{\scshape un lapin}

Image utilisateurImage utilisateur

\begin{sc}un lapin \end{sc}

Image utilisateurImage utilisateur

Exposant
(En mode texte)

Un canard extsuperscript{un lapin}

Image utilisateurImage utilisateur

Encadrer
(Paramétrable)

\fbox{un lapin}

Image utilisateurImage utilisateur

Soulignement
(Package soul)

\ul{un lapin}

Image utilisateurImage utilisateur

Soulignement
(Package ulem)

\uuline{un lapin}

Image utilisateurImage utilisateur

\uwave{un lapin}

Image utilisateurImage utilisateur

Barrer
(Package soul)

\st{un lapin}

Image utilisateurImage utilisateur
La commande \emph, un cas à part

Nous venons de voir une vingtaine de commandes ayant chacune un usage bien défini. Certaines grossissent le texte, d'autres le barrent ou le soulignent. En bref, chacune a une fonction simple et facile à comprendre.

La commande \emph{texte} est différente et permet tout simplement de dire à LaTeX « ce bout de texte est important, mets-le en valeur ». LaTeX se chargera alors tout seul de choisir la meilleure façon de le mettre en valeur.

Petit exemple, un mot mis en valeur dans un texte en italique, et un mot mis en valeur dans un texte normal (figure suivante).

\documentclass{book}
\begin{document}
\textit{Lorem ipsum dolor sit amet, \emph{consectetuer} adipiscing elit.}
Lorem ipsum dolor sit amet, \emph{consectetuer} adipiscing elit.
\end{document}
La commande \emph{}
La commande \emph{}

Vous constatez que \emph change de comportement suivant le contexte ; en cela réside sa force.

Conclusion : utiliser l'italique peut souvent être une erreur, mieux vaut lui préférer \emph. Dans le premier TP, nous apprendrons à faire en sorte que \emph mette en gras les mots importants.

Fatigué(e) de lire sur un écran ? Découvrez ce cours en livre.

Les polices Couleur

Couleur

Graisse, style, taille Les packs de polices

Couleur

Nous allons ici apprendre à colorer du texte et à le rendre tel un arc-en-ciel au cœur de vos publications. Soulignons tout de même la dangerosité avérée d'une portion de texte rose au sein d'une thèse et la probabilité élevée que cette portion cause pertes et fracas à l'heure du jury.

Les huit couleurs par défaut

Pour la colorisation du texte, nous utiliserons le package color.

Ce package propose par défaut huit couleurs (black, white, red, green, blue, yellow, magenta et cyan), que vous pourrez utiliser à votre guise pour colorer du texte via la commande suivante :

\textcolor{couleur}{texte en couleur}
Création de nouvelles couleurs

Avec huit couleurs, vous ne pouvez guère aller loin, raison pour laquelle de bonnes âmes ont conçu un système vous permettant d'en composer de nouvelles.

Pour ce faire, une commande est disponible : \definecolor.

Cette commande permet de créer des couleurs à partir de niveaux de gris ou d'un mélange de trois couleurs (rouge, vert et bleu).

Les couleurs créées recevront chacune un nom que vous choisirez et s'utiliseront de la même manière que précédemment, toujours grâce à la commande extcolor et selon la syntaxe vue plus haut :

\textcolor{le nom de couleur choisi}{texte en couleur}
Niveaux de gris

Définir une couleur en niveaux de gris revient à choisir une couleur entre le blanc et le noir. Ici, nous estimerons que le gris se trouve sur une échelle située entre 0 (le noir) et 1 (le blanc). Choisir un niveau de gris consistera à prendre un nombre à deux décimales (nous utiliserons un point entre le 0 et ses décimales) situé entre 0 et 1.

La syntaxe de \definecolor dans le cas des nuances de gris sera :

\definecolor{le nom choisi sans espace}{gray}{le nombre à deux décimales}
Mélange de rouge, vert et bleu

Afin de créer de nouvelles couleurs, nous mélangerons trois couleurs initiales dans des proportions choisies. De la même manière que pour les nuances de gris, nous choisirons tour à tour l'intensité de rouge, de vert et de bleu que contiendra la couleur que nous voulons créer.

La syntaxe de \definecolor dans le cas du mélange rouge, vert, bleu sera :

\definecolor{le nom de couleur choisi}{rgb}{taux de rouge entre 0 et 1,taux de vert,taux de bleu}
Fatigué(e) de lire sur un écran ? Découvrez ce cours en livre.

Graisse, style, taille Les packs de polices

Les packs de polices

Couleur Les notes

Les packs de polices

Nous avons appris à changer la taille d'un morceau de texte et à lui faire subir de multiples transformations, de l'italique au soulignement. C'est bien, mais il nous reste encore une chose à apprendre à changer : les polices de caractères.

Il y a fort à parier que depuis le début de cet ouvrage, au fur et à mesure de vos compilations, l'envie vous a titillé de changer la police de vos textes.

Pour ce qui est des polices, LaTeX a des avantages à double tranchant. Rappelons-nous que LaTeX a été développé suite à l'exaspération de chercheurs face à la mise en page plutôt passable de leurs textes. Ils ont souhaité lors de la création du langage que l'ensemble des éléments d'une publication, qu'ils soient en gras, en majuscules ou dans une formule, soient cohérents entre eux.

Cette réflexion profonde a entraîné une innovation : la création des packs de polices.

L'idée centrale des packs de polices est de donner une cohérence au niveau de la typographie à l'intégralité du texte présent dans un document. Résultat : un pack comprenant quatre polices cohérentes correspondant respectivement à :

Bien qu'il existe un pack par défaut fourni dans LaTeX (utilisant la police Computer Modern) vous pouvez changer de pack de polices via l'utilisation des packages cités ci-dessous.

Il vous suffira de les appeler via la commande \usepackage{nom_du_pack}.

Une fois n'est pas coutume, voici une longue liste de noms avec les captures d'écran correspondantes.

Par défaut
Par défaut
Pack bookman
Pack bookman
Pack charter
Pack charter
Pack newcent
Pack newcent
Pack lmodern (le classique)
Pack lmodern (le classique)
Pack mathpazo
Pack mathpazo
Pack mathptmx
Pack mathptmx

Des modifications ponctuelles de police peuvent aussi être introduites grâce à la commande suivante :

{\fontfamily{code_de_la_police}\selectfont mon bout de texte}

Différentes polices sont utilisables, j'en ai sélectionné pour vous et vous les livre dans un nouveau tableau (toujours avec des exemples de rendu).

Code de la police

Exemple

bch

bch
bch

cmr

bcr
bcr

lmr

lmr
lmr

lmss

lmss
lmss

lmssq

lmssq
lmssq

lmtt

Image utilisateurImage utilisateur

pag

Image utilisateurImage utilisateur

pcr

pcr
pcr

pbk

pbk
pbk

phv

phv
phv

pnc

pnc
pnc

ppl

ppl
ppl

ptm

ptm
ptm

pzc

pzc
pzc
En résumé
Fatigué(e) de lire sur un écran ? Découvrez ce cours en livre.

Couleur Les notes

Les notes

Les packs de polices Citation, code brut et URL

Dans ce chapitre, les différents types de notes et de références possibles avec LaTeX seront abordés. C'est un chapitre facile, mais important, car il vous permettra de citer proprement tout ou une partie d'un texte, et de créer des notes en bas de certaines de vos pages.

Vous apprendrez à :

Citation, code brut et URL

Les notes Minipage et texte encadré

Citation, code brut et URL

Cette première partie développe simplement les manières de créer des citations de texte, de code ainsi que la façon d'obtenir une URL cliquable.

Les citations simples

Fréquemment, vos rapports nécessiteront que vous citiez des propos. Pour vous permettre cela, deux environnements vous sont proposés : quote et quotation.

Ce code source vous montre la différence entre quote et quotation : le nombre de tabulations avant le premier mot (quotation est fait pour de gros volumes de texte, tandis que quote est plus adapté pour une ligne isolée).

Lorem ipsum dolor sit amet, consectetur adipiscing elit. 
Fusce condimentum tempor risus cursus aliquet.
\begin{quote}
Tout individu a droit à la vie, à la liberté et à la sûretéde sa personne. \end{quote}
consectetur adipiscing elit. 
Lorem ipsum dolor sit amet, consectetur adipiscing elit.
Nulla volutpat metus ut magna aliquam nec porttitor neque sodales. 
\begin{quotation}
Tout individu a droit à la vie, à la liberté et à la sûreté de sa personne.  \end{quotation}
Lorem ipsum dolor sit amet, consectetur adipiscing elit. 
Fusce condimentum tempor risus cursus aliquet.
Lorem ipsum dolor sit amet, consectetur adipiscing elit.
les citations simples
les citations simples
Les citations de code

Trois méthodes majeures permettent de citer des extraits de code.

La commande \verb

Pour insérer du code dans un paragraphe, le plus simple reste d'utiliser la commande \verb. Le texte que mettra en forme la commande extbackslash{verb} sera délimité par le caractère venant juste après son appel, généralement |.

\verb| Mon bout de code {} |

Il se peut que vous utilisiez le caractère | dans certaines zones de votre code, et vous allez être confronté au problème que montrent le code source et le paragraphe ci-dessous (lisez-les attentivement).

\verb[lapin & lapin {} [
\verb|lapin & lapin {} | 
\verb(lapin & lapin {} (
\verb&lapin & lapin {} &

Les trois premières lignes de code donnent le même résultat tandis que la quatrième ne fonctionne pas ; le & est le délimiteur dans la quatrième ligne et, étant donné qu'il y a déjà un & dans le code, LaTeX comprendra mal l'instruction et n'encadrera que le premier mot, « lapin ». Cette subtilité rend assez risquée l'utilisation de \verb et peut parfois déclencher des dizaines d'erreurs ou de mauvais rendus.

L'environnement verbatim(tab)

L'environnement verbatim, accompagné du package du même nom, permet d'encadrer de gros volumes de code. Petit souci : il remplace les tabulations par des espaces.

\documentclass{article}

\usepackage[latin1]{inputenc}
\usepackage[T1]{fontenc}
\usepackage[francais]{babel}
\usepackage{verbatim}
\begin{document}

\begin{verbatim}
votre code
\end{verbatim}
\end{document}

Afin d'éviter ce désagrément et de choisir librement le nombre d'espaces correspondant à une tabulation, vous pouvez utiliser l'environnement verbatimtab fourni par le package supplémentaire moreverb.

Sa syntaxe est la suivante :

\begin{verbatimtab}[nombre_d'espaces_par_tabulation]
votre code
\end{verbatimtab}

Dans l'exemple ci-dessous, chaque tabulation introduite dans le code se verra remplacée par 10 espaces une fois le document compilé.

\documentclass{article}

\usepackage[latin1]{inputenc}
\usepackage[T1]{fontenc}
\usepackage[francais]{babel}
\usepackage{verbatim}
\usepackage{moreverb}
\begin{document}

\begin{verbatimtab}[10]
votre code
\end{verbatimtab}
\end{document}
L'environnement lstlisting

L'environnement lstlisting permet de mettre en forme de façon colorée et d'utiliser de nombreuses options pour afficher du code.

Dans un premier temps, vous devez appeler le package listings dans l'en-tête du document, avant d'utiliser la commande \lstset et de la paramétrer pour qu'elle mette en forme votre code selon vos souhaits.

La commande \lstset se place avant \begin{document} et possède un grand nombre d'arguments paramétrables.

\lstset{ %
language=nom_du_langage,        % choix du langage
basicstyle=\footnotesize,       % taille de la police du code
numbers=left,                   % placer le numéro de chaque ligne à gauche (left) 
numbers=right,                  % placer le numéro de chaque ligne à droite (right)
numberstyle=\normalsize,        % taille de la police des numéros
numbersep=7pt,                  % distance entre le code et sa numérotation
backgroundcolor=\color{white},  % couleur du fond 
% Possibilité d'utilisation du package color
}

Les langages compatibles avec la commande sont constamment mis à jour sur la page de Wikibooks consacrée au package listings.

Jetez-y un coup d'œil à chaque fois que vous utiliserez ce package.

Le code à afficher s'insère dans votre document via l'environnement lstlisting.

Ci-dessous, un petit exemple du traitement d'un code C (extrait du tutoriel C du Site du Zéro) avec lstlisting (figure suivante).

\documentclass{article}

\usepackage[latin1]{inputenc}
\usepackage[T1]{fontenc}
\usepackage[francais]{babel}
\usepackage{listings}
\lstset{
language=C,
basicstyle=\footnotesize,
numbers=left,
numberstyle=\normalsize,
numbersep=7pt,
}

\begin{document}

\begin{lstlisting}
if (age == 2)
{
  printf("Salut bebe !");
}
else if (age == 6)
{
  printf("Salut gamin !");
}
else if (age == 12)
{
  printf("Salut jeune !");
}
\end{lstlisting}

\end{document}
Citation de code
Citation de code
Gestion des URL

LaTeX gère les URL de façon très efficace, vous permettant de rendre vos documents interactifs.

Pour insérer une URL, il vous suffit d'utiliser le package url ainsi que la commande \url{adresse}, rien de plus compliqué que cela.

Fatigué(e) de lire sur un écran ? Découvrez ce cours en livre.

Les notes Minipage et texte encadré

Minipage et texte encadré

Citation, code brut et URL Notes de bas de page, références internes

Minipage et texte encadré

Il peut parfois être utile de faire ressortir une portion de texte de façon singulière. L'environnement minipage et la commande \fbox vous permettent d'encadrer du texte et de le mettre en valeur.

Répétons-le une fois de plus, ce n'est pas parce que vous saurez faire des cadres après ce paragraphe qu'il faut en mettre partout.

Restez sobre, vos lecteurs vous en remercieront.

La commande \fbox

La commande \fbox, permettant d'encadrer des portions de texte, a déjà été vue dans le chapitre précédent.

Cependant, nous n'avons pas encore vu les paramètres qui peuvent lui être appliqués. \fbox est une commande puissante, pour laquelle il est possible de paramétrer des tas de choses. Néanmoins, dans ce cours, nous n'utiliserons \fbox que pour encadrer des textes.

Les deux paramètres qui nous intéressent ici sont l'écart entre le texte et la bordure ainsi que l'épaisseur de cette dernière. Ci-dessous une démonstration de \fbox et son résultat après compilation (figure suivante).

% Commande permettant de définir l'écart
\setlength{\fboxsep}{8mm}
% Commande permettant de définir l'épaisseur du trait
\setlength{\fboxrule}{2mm}
\fbox{Un lapin}
Texte encadré
Texte encadré
L'environnement minipage

Une minipage est un encart de texte de largeur choisie, en quelque sorte une nouvelle page dans votre page (Des utilisateurs avancés de LaTeX peuvent réussir à agencer les minipages de manière surprenante, tout comme les boîtes encadrées). À l'intérieur de cet encart de texte, vous pourrez disposer et utiliser des environnements comme si cette minipage était un document à part entière.

Une minipage est en quelque sorte un document dans un document. Il vous est même possible d'insérer une minipage dans une minipage (mais nous allons éviter de faire des choses qui ne servent à rien :p ).

L'environnement minipage est dépendant de deux paramètres : la largeur et l'alignement vertical de la minipage à créer.

Pour ce qui est de la largeur, je pense que vous avez deviné à quoi servait le paramètre correspondant (Il s'exprime généralement en centimètres). Le paramètre d'alignement est quant à lui plus difficile à comprendre. L'alignement est vertical et défini par rapport au niveau du texte. Trois alignements sont proposés, et un schéma vaut mieux qu'un long discours pour visualiser les trois alignements disponibles.

Alignements possibles des minipages
Alignements possibles des minipages

Ici, une démonstration d'une minipage (volontairement mise en plein milieu d'un long texte) de 5 centimètres de large centrée verticalement (figure suivante) obtenue via la commande :

\fbox{ %fbox est utilisé pour voir les bords de la minipage
\begin{minipage}[c]{5cm}
Un petit paragraphe.
\end{minipage}
}
Exemple de minipage
Exemple de minipage
Fatigué(e) de lire sur un écran ? Découvrez ce cours en livre.

Citation, code brut et URL Notes de bas de page, références internes

Notes de bas de page, références internes

Minipage et texte encadré TP 1 – Mise en page de la Déclaration universelle des droits de l'homme

Notes de bas de page, références internes

Cette partie traite des notes de bas de page ainsi que des références internes au sein des documents.

Ces deux éléments, souvent négligés, montrent à votre lectorat que votre texte est structuré et bien pensé.

Notes de bas de page

Il existe deux écoles pour l'insertion de notes de bas de page.

La commande \footnote

La première consiste à utiliser la commande \footnote{Texte de la note.} tout simplement à l'endroit où vous voulez insérer un renvoi vers une note de bas de page.

Cette commande est très intuitive, la seule chose à paramétrer ici est l'espacement entre l'exposant renvoyant à la note et le mot ou le groupe de mots concerné. Trois solutions sont possibles :

un canard\footnote{bestiole qui fait coin}
un ornithorynque\footnote{bestiole qui fait rire}
un ours\footnote{bestiole qui fait mal}
Notes de bas de page (méthode simple)
Notes de bas de page (méthode simple)
La commande \footnotemark

Ici, l'opération se déroule en deux temps. Dans un premier temps, vous marquerez tous les éléments concernés par des notes de bas de page personnalisées via la commande \footnotemark[n\degre_de_la_note], puis vous indiquerez les notes de bas de page correspondant aux numéros précédemment choisis grâce à la commande \footnotetext[n\degre_de_la_note]{Texte}.

Deux compilations sont nécessaires : une pour que LaTeX liste les marques, et une pour qu'il associe les notes de bas de page aux marques. Cette méthode est souvent salvatrice lorsque des erreurs apparaissent avec \footnote.
Ci-dessous, un code source de démonstration ainsi qu'une capture d'écran prise après deux compilations.

un canard\footnotemark[1] \\

un ornithorynque\footnotemark[18] \\

un ours\footnotemark[32]

\footnotetext[1]{bestiole qui fait coin} 
\footnotetext[18]{bestiole qui fait rire} 
\footnotetext[32]{bestiole qui fait mal}
Notes de bas de page (méthode avancée)
Notes de bas de page (méthode avancée)
Les références internes

LaTeX vous permet d'écrire des références internes de façon simple. Pour ce faire, trois commandes sont à connaître. La commande \label{nom_choisi} sert à marquer un endroit, et les commandes ef{nom_choisi} et {\pageref{nom_choisi}} vous permettent d'appeler le numéro de page ou la référence de l'élément marqué dans une autre zone de votre document (figure suivante).

Démonstration :

\documentclass{report}
\usepackage[latin1]{inputenc}
\usepackage[T1]{fontenc}
\usepackage[francais]{babel}

\begin{document}

\part{Partie}
\chapter{Chapitre}
\section{Section}
\subsection{Une sous-section}
\label{patate} 
Lorem ipsum dolor sit amet, consectetur adipiscing elit.
 Donec nec condimentum libero. Phasellus condimentum porttitor congue.
 Morbi eget quam sed justo egestas lobortis. Aenean et erat metus.
\chapter{Chapitre}
\section{Section}
\subsection{Une sous-section}
Ici nous parlerons de la sous-section \ref{patate} vue à la page \pageref{patate}.
\end{document}
Référence interne
Référence interne
En résumé
Fatigué(e) de lire sur un écran ? Découvrez ce cours en livre.

Minipage et texte encadré TP 1 – Mise en page de la Déclaration universelle des droits de l'homme

TP 1 – Mise en page de la Déclaration universelle des droits de l'homme

Notes de bas de page, références internes Les consignes

Il y a de ça huit chapitres, LaTeX envahissait votre vie. Vous avez appréhendé tous les concepts de base du langage, de la mise en page jusqu'à la hiérarchisation du contenu en passant par la personnalisation du texte et la production de citations élégantes. Toutes ces notions vous ont été enseignées de façon indépendante, mais il ne faut pas oublier la finalité de l'apprentissage de LaTeX : la création de documents réels.

Ce premier TP est l'occasion pour vous de tester votre savoir-faire et de vous entraîner. L'intégralité du contenu des chapitres vus jusqu'ici sera mise à profit et il y a fort à parier que vous aurez besoin d'aller les consulter pour répondre aux problématiques de l'exercice.
Comme vous avez dû vous en douter, le titre du chapitre ne laissant aucun suspense, je vous annonce que nous allons mettre en page une publication sur la Déclaration universelle des droits de l'homme et du citoyen. Texte fondateur de notre civilisation moderne, il vous permettra de conjuguer apprentissage et culture.

Les consignes

TP 1 – Mise en page de la Déclaration universelle des droits de l'homme La correction

Les consignes

Dans ce TP, vous allez travailler avec trois textes différents, en utiliser certains morceaux choisis et les mettre en page de façon à en faire un petit livre de 17 pages. Le nombre peut faire peur, mais ne vous inquiétez pas, ce travail devrait vous prendre moins d'une heure et demie si vous avez suivi les précédents chapitres avec attention.

Le document produit à l'issue de ce TP est téléchargeable ici. Il est sobre, mais élégant, de quoi donner le sourire à vos lecteurs.

Le but ici est de vous faire utiliser des packages ainsi que de vous faire revoir les chapitres de la deuxième partie. Suite à l'exercice pratique, de multiples pistes vous seront données pour vous permettre d'aller plus loin dans votre apprentissage de LaTeX.

Autre chose à noter : ce TP clôt la deuxième partie du cours (et vous avez survécu jusqu'ici).

La partie III, qui suit ce TP, développe les commandes avancées de LaTeX telles que celles qui permettent de manipuler les images, les tableaux, les notations mathématiques et les tables. Bien qu'accessibles, ces notions nécessitent d'être à l'aise avec les notions de commandes, d'environnements et de packages. L'importance de travailler ce TP ne s'en trouve que renforcée.

Faites chauffer votre clavier : les consignes vous attendent dans le paragraphe ci-dessous. Elles sont longues, mais comportent une grande quantité de texte à prendre depuis les articles originaux de Wikipédia.

Les contraintes de l'exercice
Contenu hiérarchisé de notre document

Votre travail consistera ici à créer un livre en français intitulé « Les droits de l'homme ».

Ce livre utilisera des extraits de textes issus de quatre sources différentes :

Sur la page de garde seront écrits :

Un chapitre nommé « Introduction » sera composé en préambule gros et en italique.

Il contiendra le texte suivant :

Citation

Les droits de l'homme sont un concept selon lequel tout être humain possède des droits universels, inaliénables, quel que soit le droit positif en vigueur ou les autres facteurs locaux tels que l'ethnie, la nationalité, l'orientation sexuelle ou la religion.

Selon cette philosophie, combattue ou éclipsée aux 19ème siècle, 20ème siècle et 21ème siècle par d'autres doctrines, l'homme, en tant que tel, et indépendamment de sa condition sociale, a des droits « inhérents à sa personne, inaliénables et sacrés », et donc opposables en toutes circonstances à la société et au pouvoir. Ainsi le concept de droits de l'homme est-il par définition universaliste et égalitaire, incompatible avec les systèmes et les régimes fondés sur la supériorité ou la « vocation historique » d'une caste, d'une race, d'un peuple, d'une classe ou d'un quelconque groupe social ; incompatible tout autant avec l'idée que la construction d'une société meilleure justifie l'élimination ou l'oppression de ceux qui sont censés faire obstacle à cette édification.
Les droits de l'homme, types de prérogatives dont sont titulaires les individus, sont généralement reconnus dans les pays occidentaux par la loi, par des normes de valeur constitutionnelle ou par des conventions internationales, afin que leur respect soit assuré, si besoin est même contre l'État. L'existence, la validité et le contenu des droits de l'homme sont un sujet permanent de débat en philosophie et en sciences politiques.

Le corps du livre sera composé d'une partie intitulée « Déclaration des droits de l'homme et du citoyen de 1789 » contenant trois chapitres. Le premier chapitre, intitulé « Histoire », contiendra le texte ci-dessous :

Citation

La Déclaration des Droits de l'Homme a été écrite dans un temple protestant. L'assemblée réunie à Versailles par la convocation des États généraux pour trouver une solution fiscale au déficit de l'État, se déclare Assemblée nationale en réunissant les trois ordres, dont elle décide l'abolition, puis s'institue Assemblée nationale constituante, et décide de rédiger une déclaration des principes fondamentaux à partir desquels sera établie une nouvelle Constitution. Elle se réunit pour cela, après avoir pris les décrets des 4 et 11 août 1789 sur la suppression des droits féodaux, qu'elle reprendra dans l'article premier de la Déclaration.

La Déclaration des Droits de l'Homme et du Citoyen a été débattue par l'Assemblée nationale française sous la présidence du marquis de Mirabeau à partir d'un des trois projets proposés : celui de 24 articles, rédigé par le VIe bureau dirigé par Jérôme Champion de Cicé. L'attribution du texte primitif à La Fayette inspiré par la Déclaration d'indépendance des États-Unis est donc erronée. L'abbé Grégoire propose que la Déclaration des Droits de l'Homme et du Citoyen soit accompagnée de celle des devoirs.

La discussion débute le 9 juillet et débouche sur un vote le 26 août 1789, sous l'influence des leaders du tiers-état et de la noblesse. Le texte est peu modifié, mais est enrichi d'un préambule. Il est ratifié en partie le soir du 5 octobre 1789 par Louis XVI à Versailles, sur l'exigence de l'Assemblée, qui utilisa la pression d'une foule vindicative venue de Paris, initialement pour d'autres revendications.
Entièrement promulguée par le Roi à Paris, le 3 novembre 1789, la Déclaration des Droits est la dernière ordonnance royale. Elle servira de Préambule à la première Constitution de la Révolution française.

Le deuxième chapitre, nommé « Le texte », est plus complexe et hiérarchisé. Sa première section, intitulée « Introduction », contient l'extrait ci-dessous :

Citation

Les représentants du peuple français, constitués en Assemblée nationale, considérant que l'ignorance, l'oubli ou le mépris des droits de l'homme sont les seules causes des malheurs publics et de la corruption des gouvernements, ont résolu d'exposer, dans une déclaration solennelle, les droits naturels, inaliénables et sacrés de l'homme, afin que cette déclaration, constamment présente à tous les membres du corps social, leur rappelle sans cesse leurs droits et leurs devoirs ; afin que les actes du pouvoir législatif et ceux du pouvoir exécutif, pouvant être à chaque instant comparés avec le but de toute institution politique, en soient plus respectés ; afin que les réclamations des citoyens, fondées désormais sur des principes simples et incontestables, tournent toujours au maintien de la Constitution et au bonheur de tous.

Sa seconde section, intitulée « Les articles », contient 17 paragraphes. Le premier paragraphe a pour titre « Article premier », les suivants s'appellent « Article 2 », « Article 3 »… « Article 17 ». Ci-dessous le texte respectif de chaque article. Prenez le temps de le lire, ne serait-ce que par intérêt culturel.

Citation

Article premier - Les hommes naissent et demeurent libres et égaux en droits. Les distinctions sociales ne peuvent être fondées que sur l'utilité commune.

Article 2 - Le but de toute association politique est la conservation des droits naturels et imprescriptibles de l'homme. Ces droits sont la liberté, la propriété, la sûreté et la résistance à l'oppression.

Article 3 - Le principe de toute souveraineté réside essentiellement dans la Nation. Nul corps, nul individu ne peut exercer d'autorité qui n'en émane expressément.

Article 4 - La liberté consiste à pouvoir faire tout ce qui ne nuit pas à autrui : ainsi, l'exercice des droits naturels de chaque homme n'a de bornes que celles qui assurent aux autres membres de la société la jouissance de ces mêmes droits. Ces bornes ne peuvent être déterminées que par la loi.

Article 5 - La loi n'a le droit de défendre que les actions nuisibles à la société. Tout ce qui n'est pas défendu par la loi ne peut être empêché, et nul ne peut être contraint à faire ce qu'elle n'ordonne pas.

Article 6 - La loi est l'expression de la volonté générale. Tous les citoyens ont droit de concourir personnellement ou par leurs représentants à sa formation. Elle doit être la même pour tous, soit qu'elle protège, soit qu'elle punisse. Tous les citoyens, étant égaux à ses yeux, sont également admissibles à toutes dignités, places et emplois publics, selon leur capacité et sans autre distinction que celle de leurs vertus et de leurs talents.

Article 7 - Nul homme ne peut être accusé, arrêté ou détenu que dans les cas déterminés par la loi et selon les formes qu'elle a prescrites. Ceux qui sollicitent, expédient, exécutent ou font exécuter des ordres arbitraires doivent être punis ; mais tout citoyen appelé ou saisi en vertu de la loi doit obéir à l'instant ; il se rend coupable par la résistance.

Article 8 - La loi ne doit établir que des peines strictement et évidemment nécessaires, et nul ne peut être puni qu'en vertu d'une loi établie et promulguée antérieurement au délit, et légalement appliquée.

Article 9 - Tout homme étant présumé innocent jusqu'à ce qu'il ait été déclaré coupable, s'il est jugé indispensable de l'arrêter, toute rigueur qui ne serait pas nécessaire pour s'assurer de sa personne doit être sévèrement réprimée par la loi.

Article 10 - Nul ne doit être inquiété pour ses opinions, mêmes religieuses, pourvu que leur manifestation ne trouble pas l'ordre public établi par la loi.

Article 11 - La libre communication des pensées et des opinions est un des droits les plus précieux de l'homme ; tout citoyen peut donc parler, écrire, imprimer librement, sauf à répondre de l'abus de cette liberté dans les cas déterminés par la loi.

Article 12 - La garantie des droits de l'homme et du citoyen nécessite une force publique ; cette force est donc instituée pour l'avantage de tous, et non pour l'utilité particulière de ceux à qui elle est confiée.

Article 13 - Pour l'entretien de la force publique, et pour les dépenses d'administration, une contribution commune est indispensable ; elle doit être également répartie entre les citoyens, en raison de leurs facultés.

Article 14 - Les citoyens ont le droit de constater, par eux-mêmes ou par leurs représentants, la nécessité de la contribution publique, de la consentir librement, d'en suivre l'emploi, et d'en déterminer la quotité, l'assiette, le recouvrement et la durée.

Article 15 - La société a le droit de demander compte à tout agent public de son administration.

Article 16 - Toute société dans laquelle la garantie des droits n'est pas assurée ni la séparation des pouvoirs déterminée, n'a point de Constitution.

Article 17 - La propriété étant un droit inviolable et sacré, nul ne peut en être privé, si ce n'est lorsque la nécessité publique, légalement constatée, l'exige évidemment, et sous la condition d'une juste et préalable indemnité.

Le troisième chapitre, intitulé « Sources », contient le texte suivant.

Citation

La question des sources de la Déclaration française a suscité une controverse empreinte de nationalisme au sein de l'historiographie. Dans une brochure de 1895, l'historien allemand Georg Jellinek présentait l'œuvre française comme une simple héritière des Déclarations anglo-saxonnes (Pétition des droits, Déclaration des droits), elles-mêmes inspirées du Protestantisme luthérien. Traduite en français en 1902, dans un contexte de montée des tensions entre la France et l'Allemagne, elle donnera lieu à une réplique aussi peu nuancée, portée par Emile Boutmy : la Déclaration des Droits de l'Homme et du Citoyen n'aurait de source que dans la tradition philosophique et humaniste des Lumières.

Le Préambule, ajouté au projet, a été rédigé sous l'influence de Mirabeau et de Jean-Joseph Mounier, député du Tiers qui avait fait adopter le serment du Jeu de Paume, tous deux monarchiens, c'est-à-dire partisans d'une Monarchie constitutionnelle à l'anglaise.
L'invocation à « l'Être suprême » a été rajoutée au cours des séances pour tenir compte des convictions chrétiennes de presque tous les citoyens.

Le texte de l'Article premier, « Tous les Hommes naissent et demeurent libres et égaux en droits », synthétise la Loi du 4 août 1789 abolissant la société d'ordres hiérarchisés.

L'article 16, associant constitution et organisation de la séparation des pouvoirs, est un principe antérieurement admis avec la séparation des ordres spirituel, politique et économique. Mais les trois pouvoirs politiques auxquels renvoie implicitement cet article, à savoir le législatif, l'exécutif et le judiciaire, est la conception proposée par Montesquieu depuis 1748 dans De l'Esprit des Lois.

L'article 3, qui attribue la souveraineté à la Nation, s'inspire des thèmes des remontrances des Parlements, portées par les nombreux membres du club des Amis de la Constitution, plus connu sous le nom de Club des Jacobins, mais aussi du célèbre pamphlet de l'abbé Sieyès, qui pose l'équation : peuple = Tiers-État, c'est-à-dire que les députés du Tiers-État sont les représentants légitimes de l'ensemble du peuple.

L'article 6, directement inspiré du philosophe Rousseau, a été proposé par Talleyrand. Lu à la tribune du comité de constitution le 12 septembre 1789, ce qui deviendra l'article 6 de la Déclaration des droits prenait la forme suivante : « La loi étant l'expression de la volonté générale, tous les citoyens ont droit de concourir personnellement ou par représentation à sa formation ; elle doit être la même pour tous ».

Les autres articles reprennent des principes généraux du droit ou de la procédure qui sont déjà établis, comme la positivité du droit, le caractère contradictoire des procédures, la non-rétroactivité des lois, etc.

Son idéal est l'individualisme libéral. C'est une œuvre de circonstance, une proclamation générale, un texte tourné vers le passé avec pour objectif d'en finir avec l'Ancien Régime ; mais également un texte tourné vers l'avenir en promouvant la philosophie des Lumières et son idéal rationaliste.

L'annexe A, « La révolution française » nous raconte une belle histoire via ce texte :

Citation

La Révolution française est la période de l'histoire de France comprise entre la convocation des États généraux en 1789 et le coup d'État du 18 brumaire (9-10 novembre 1799) de Napoléon Bonaparte. C'est un moment fondamental de l'histoire de France, marquant la fin de l'Ancien Régime, et le passage à une monarchie constitutionnelle puis à la Première République. Elle a mis fin à la royauté, à la société d'ordres et aux privilèges. Justifiée par la Déclaration des Droits de l'Homme et du Citoyen, qui proclamait l'égalité théorique des citoyens devant la loi, les libertés fondamentales et la souveraineté de la Nation, apte à se gouverner au travers des représentants élus, cette période causa la mort de plusieurs milliers de personnes et la terreur pour la majorité.

Le chapitre épilogue sera nommé « Sources et licences », il contiendra deux sections non numérotées. La première section (« Sources ») contiendra une liste de description. La seconde (« Licence Creative Commons 3.0 ») comportera deux paragraphes. Les mentions « Paternité » et « Partage des conditions initiales à l'identique » devront être signalées comme importantes.

La mise en forme finale de la page devra être similaire à celle de la figure suivante, avec bien sûr les adresses internet réelles et cliquables.

Mise en forme attendue
Mise en forme attendue
Consignes additionnelles et pistes

Les consignes s'arrêtent (enfin) ici !

Afin de travailler dans de meilleures conditions, je vous conseille de compiler votre code très fréquemment pour régler les problèmes un par un. Quelques petits pièges se trouvent enfouis dans les textes de ce TP, à vous de les déjouer.

Tout est faisable avec vos connaissances actuelles, il suffit que vous preniez votre temps.

Au fait ! Ce tableau de caractères spéciaux devrait vous être utile…

Accents et signes

Image utilisateurImage utilisateur

\'{o}

Image utilisateurImage utilisateur

\.{o}

Image utilisateurImage utilisateur

\b{o}

Image utilisateurImage utilisateur

\ ‘{o}

Image utilisateurImage utilisateur

\o

Image utilisateurImage utilisateur

\"{o}

Image utilisateurImage utilisateur

\u{o}

Image utilisateurImage utilisateur

\={o}

Image utilisateurImage utilisateur

\d{o}

Image utilisateurImage utilisateur

\~{o}

Image utilisateurImage utilisateur

\^{o}

Image utilisateurImage utilisateur

\H{o}

Image utilisateurImage utilisateur

\aa

Image utilisateurImage utilisateur

\v s

Image utilisateurImage utilisateur

\ddag

Image utilisateurImage utilisateur

\dag

Image utilisateurImage utilisateur

{oo}

Image utilisateurImage utilisateur

\ss

Image utilisateurImage utilisateur

\O

Image utilisateurImage utilisateur

\ae

Image utilisateurImage utilisateur

\AE

Image utilisateurImage utilisateur

\c{o}

Image utilisateurImage utilisateur

\i

Image utilisateurImage utilisateur

\P

Image utilisateurImage utilisateur

\copyright

Image utilisateurImage utilisateur

\oe

Image utilisateurImage utilisateur

\OE

Image utilisateurImage utilisateur

\d s

Image utilisateurImage utilisateur

s

Image utilisateurImage utilisateur

\H s

Image utilisateurImage utilisateur

\j

Image utilisateurImage utilisateur

\AA

Image utilisateurImage utilisateur

s

Image utilisateurImage utilisateur

\S

Image utilisateurImage utilisateur

\pounds

Que la force soit avec vous !

Fatigué(e) de lire sur un écran ? Découvrez ce cours en livre.

TP 1 – Mise en page de la Déclaration universelle des droits de l'homme La correction

La correction

Les consignes Aller plus loin

La correction

L'heure est venue de corriger tout votre travail, de regarder les points qui ont pu poser des problèmes. Notez que chaque étape fait l'objet d'au moins une compilation dans le but de pouvoir corriger les erreurs pas à pas.

Étape 1 : le type de document

Le type de document a une importance prépondérante pour nous, il définit un squelette de code source. La classe book n'a pas été choisie par hasard ; souvenez-vous, nous avions traité ensemble les problématiques de la création d'annexes et de préambules.

La première étape du travail était de mettre en forme ce squelette, qui devait ressembler à peu de choses près à celui-ci :

\documentclass{book}
 
\begin{document}
 
   \frontmatter
   \mainmatter
   \appendix
   \backmatter
 
\end{document}
Étape 2 : la langue

La consigne disait d'écrire le texte en français et il était visible que nombre d'accents allaient apparaître. Les trois packages habituels de gestion de caractères étaient donc indispensables. Il fallait les insérer dans le préambule du document, comme vous l'avez appris dans le chapitre traitant des packages.

\usepackage[latin1]{inputenc}
\usepackage[T1]{fontenc}
\usepackage[francais]{babel}
Étape 3 : les autres packages

Nous venons d'appeler les packages nous permettant d'écrire en français, il est de bon ton de survoler les consignes pour comprendre quels packages nous seront utiles pour continuer l'exercice. Ici, trois autres packages étaient nécessaires : url, geometry et lmodern.

\usepackage{url} % Pour écrire des adresses cliquables.
\usepackage{lmodern} % Pour changer le pack de police.
\usepackage[top=5cm, bottom=5cm, left=6cm, right=3cm]{geometry} % Les marges.
Étape 4 : la page de garde

La création de page de garde a été abordée dans les chapitres de mise en page. Celle demandée dans l'exercice est simple, elle comporte les trois mentions classiques : titre, nom des auteurs (les noms sont en petites capitales) et date du jour. Les trois paramètres sont définis dans le préambule et la commande \maketitle est insérée après \begindocument afin de créer la page de garde (figure suivante).

\title{Les droits de l'homme}
\author{\textsc{Laleloulilo} - \textsc{Zozor}}
\date{\today} % Pour mettre la date du jour, tapez \today.
 

\begin{document}
 
\maketitle % Page de garde.
Page de garde
Page de garde
Étape 5 : le squelette complet

Les packages sont listés, le travail préparatoire est presque terminé. Il nous reste les éléments de structure secondaires à lister (chapitres, sections…). Certains n'étant pas numérotés, nous n'oublions pas le symbole *.

\documentclass{book}
 
\usepackage[latin1]{inputenc}
\usepackage[T1]{fontenc}
\usepackage[francais]{babel} 
\usepackage{url} % Pour écrire des adresses cliquables.
\usepackage{lmodern} % Pour changer le pack de police.
\usepackage[top=5cm, bottom=5cm, left=6cm, right=3cm]{geometry} % Les marges.

\title{Les droits de l'homme}
\author{\textsc{Laleloulilo} - \textsc{Zozor}}
\date{\today} % Pour mettre la date du jour, tapez \today.
 
\begin{document}
 
\maketitle % Page de garde.
 
\frontmatter
 
\chapter{Introduction}
    
\mainmatter
 
\part{Déclaration des Droits de l'Homme et du Citoyen de 1789}
    
\chapter{Histoire}
\chapter{Le texte}

\section{Introduction}    
\section{Les articles}
    
\paragraph{Article premier}
\paragraph{Article 2}
\paragraph{Article 3}
\paragraph{Article 4}
\paragraph{Article 5}
\paragraph{Article 6}
\paragraph{Article 7}
\paragraph{Article 8}
\paragraph{Article 9}
\paragraph{Article 10}
\paragraph{Article 11}
\paragraph{Article 12}
\paragraph{Article 13}
\paragraph{Article 14}
\paragraph{Article 15}
\paragraph{Article 16}
\paragraph{Article 17}

\chapter{Sources}

\appendix
 
\chapter{La révolution française}
   
\backmatter
 
\chapter{Sources et licences}
    
\section*{Sources}
    
\begin{description}
\item
\item
\item
\item
\item
\end{description}
          
\section*{Licence Creative Commons 3.0}
    
\paragraph{Vous êtes libres :}
    	
\begin{itemize}    	
\item
\item
\end{itemize}    
    	
\paragraph{Selon les conditions suivantes :}
    	
\begin{itemize}    	
\item \emph{Paternité} : 
\item \emph{Partage des conditions initiales à l'identique} :     	
\end{itemize} 

\end{document}

Si vous avez réussi à aller jusqu'ici, c'est déjà très bien. Félicitations, vous commencez à vous sentir à l'aise avec LaTeX et ses concepts fondamentaux !

Étape 6 : le contenu

Les choses sérieuses commencent. Ici se trouvent les plus grosses sources d'erreurs d'étourderie. Chaque chapitre en est rempli l'un après l'autre. Ne pas oublier d'insérer les commandes de mise en exposant, de création de noms en petites capitales, d'introduction de guillemets français ainsi que de remplacer par la commande \oe le caractère spécial œ présent un peu partout dans les paragraphes.

Autre piège, certaines apostrophes sont penchées et font planter LaTeX (mais seulement si vous aviez tapé votre code en latin1). Il fallait que vous vous en rendiez compte et que vous les remplaciez par des apostrophes droites (Ce genre de problème arrive de façon extrêmement fréquente au quotidien).

Le chapitre d'introduction

Ce chapitre contenait des apostrophes penchées, des exposants ainsi que des guillemets français. De plus, il était souhaité qu'il soit gros et en italique (figures suivante et suivante).

\begin{it}
    \Large{
        Les droits de l'homme sont un concept selon lequel tout être humain possède des droits universels, inaliénables, quel que soit le droit positif en vigueur ou les autres facteurs locaux tels que l'ethnie, la nationalité, l'orientation sexuelle ou la religion.

Selon cette philosophie, combattue ou éclipsée aux 19\textsuperscript{ième} siècle, 20\textsuperscript{ième} siècle et 21\textsuperscript{ième} siècle par d'autres doctrines, l'homme, en tant que tel, et indépendamment de sa condition sociale, a des droits \og inhérents à sa personne, inaliénables et sacrés \fg, et donc opposables en toutes circonstances à la société et au pouvoir. Ainsi le concept de droits de l'homme est-il par définition universaliste et égalitaire, incompatible avec les systèmes et les régimes fondés sur la supériorité ou la \og vocation historique \fg d'une caste, d'une race, d'un peuple, d'une classe ou d'un quelconque groupe social ; incompatible tout autant avec l'idée que la construction d'une société meilleure justifie l'élimination ou l'oppression de ceux qui sont censés faire obstacle à cette édification.

Les droits de l'homme, types de prérogatives dont sont titulaires les individus, sont généralement reconnus dans les pays occidentaux par la loi, par des normes de valeur constitutionnelle ou par des conventions internationales, afin que leur respect soit assuré, si besoin est même contre l'état. L'existence, la validité et le contenu des droits de l'homme sont un sujet permanent de débat en philosophie et en sciences politiques. 
}
\end{it}
Chapitre d'introduction
Chapitre d'introduction
Chapitre d'introduction (la suite)
Chapitre d'introduction (la suite)
Les chapitres « Histoire », « Le texte » , « Sources » et l'annexe « La Révolution française »

Rien de transcendant, les commandes utilisées ici l'ont déjà été dans le paragraphe précédent. La clé du succès était juste de prendre votre temps et de compiler souvent afin de mieux voir vos erreurs (figures suivante à suivante).

\part{Déclaration des droits de l'homme et du citoyen de 1789}
    \chapter{Histoire}
    
   La Déclaration des Droits de l'Homme a été écrite dans un temple protestant. L'assemblée réunie à Versailles  par la convocation des États généraux pour trouver une solution fiscale au déficit de l'État, se déclare Assemblée nationale en réunissant les trois ordres, dont elle décide l'abolition, puis s'institue Assemblée nationale constituante, et décide de rédiger une déclaration des principes fondamentaux à partir desquels sera établie une nouvelle Constitution. Elle se réunit pour cela, après avoir pris les décrets des 4  et 11 août 1789 sur la suppression des droits féodaux, qu'elle reprendra dans l'article premier de la Déclaration.

La Déclaration des droits de l'Homme et du Citoyen a été débattue par l'Assemblée nationale française sous la présidence du marquis de \textsc{Mirabeau} à partir d'un des trois projets proposés, celui de 24 articles rédigé par le VI\textsuperscript{e} bureau, dirigé par Jérôme \textsc{Champion de Cicé}. L'attribution du texte primitif à \textsc{La Fayette} inspiré par la Déclaration d'indépendance des États-Unis est donc erronée. L'abbé Grégoire propose que la Déclaration des droits de l'Homme et du Citoyen soit accompagnée de celle des devoirs.

La discussion débute le 9 juillet et débouche sur un vote le 26 août 1789, sous l'influence des leaders du tiers-état et de la noblesse. Le texte est peu modifié, mais est enrichi d'un préambule. Il est ratifié en partie le soir du 5 octobre 1789 par Louis XVI à Versailles, sur l'exigence de l'Assemblée, qui utilisa la pression d'une foule vindicative venue de Paris, initialement pour d'autres revendications.

Entièrement promulguée par le Roi à Paris, le 3 novembre 1789, la Déclaration des Droits est la dernière ordonnance royale. Elle servira de Préambule à la première Constitution de la Révolution française.
    
        \chapter{Le texte}
    \section{Introduction}
    
    Les représentants du peuple français, constitués en Assemblée nationale, considérant que l'ignorance, l'oubli ou le mépris des droits de l'homme sont les seules causes des malheurs publics et de la corruption des gouvernements, ont résolu d'exposer, dans une déclaration solennelle, les droits naturels, inaliénables et sacrés de l'homme, afin que cette déclaration, constamment présente à tous les membres du corps social, leur rappelle sans cesse leurs droits et leurs devoirs ; afin que les actes du pouvoir législatif et ceux du pouvoir exécutif, pouvant être à chaque instant comparés avec le but de toute institution politique, en soient plus respectés ; afin que les réclamations des citoyens, fondées désormais sur des principes simples et incontestables, tournent toujours au maintien de la Constitution et au bonheur de tous.
    
    \section{Les articles}
    
\paragraph{Article premier}

Les hommes naissent et demeurent libres et égaux en droits. Les distinctions sociales ne peuvent être fondées que sur l'utilité commune.

\paragraph{Article 2}

Les hommes naissent et demeurent libres et égaux en droits. Les distinctions sociales ne peuvent être fondées que sur l'utilité commune.
    
\paragraph{Article 3}

Le principe de toute souveraineté réside essentiellement dans la Nation. Nul corps, nul individu ne peut exercer d'autorité qui n'en émane expressément.

\paragraph{Article 4}

La liberté consiste à pouvoir faire tout ce qui ne nuit pas à autrui : ainsi, l'exercice des droits naturels de chaque homme n'a de bornes que celles qui assurent aux autres membres de la société la jouissance de ces mêmes droits. Ces bornes ne peuvent être déterminées que par la loi.


\paragraph{Article 5}

La loi n'a le droit de défendre que les actions nuisibles à la société. Tout ce qui n'est pas défendu par la loi ne peut être empêché, et nul ne peut être contraint à faire ce qu'elle n'ordonne pas.

\paragraph{Article 6}

La loi est l'expression de la volonté générale. Tous les citoyens ont droit de concourir personnellement ou par leurs représentants à sa formation. Elle doit être la même pour tous, soit qu'elle protège, soit qu'elle punisse. Tous les citoyens, étant égaux à ces yeux, sont également admissibles à toutes dignités, places et emplois publics, selon leur capacité et sans autre distinction que celle de leurs vertus et de leurs talents.

\paragraph{Article 7}

La loi est l'expression de la volonté générale. Tous les citoyens ont droit de concourir personnellement ou par leurs représentants à sa formation. Elle doit être la même pour tous, soit qu'elle protège, soit qu'elle punisse. Tous les citoyens, étant égaux à ces yeux, sont également admissibles à toutes dignités, places et emplois publics, selon leur capacité et sans autre distinction que celle de leurs vertus et de leurs talents.

\paragraph{Article 8}

La loi ne doit établir que des peines strictement et évidemment nécessaires, et nul ne peut être puni qu'en vertu d'une loi établie et promulguée antérieurement au délit, et légalement appliquée.

\paragraph{Article 9}

Tout homme étant présumé innocent jusqu'à ce qu'il ait été déclaré coupable, s'il est jugé indispensable de l'arrêter, toute rigueur qui ne serait pas nécessaire pour s'assurer de sa personne doit être sévèrement réprimée par la loi.

\paragraph{Article 10}

Nul ne doit être inquiété pour ses opinions, mêmes religieuses, pourvu que leur manifestation ne trouble pas l'ordre public établi par la loi.

\paragraph{Article 11}

La libre communication des pensées et des opinions est un des droits les plus précieux de l'homme ; tout citoyen peut donc parler, écrire, imprimer librement, sauf à répondre de l'abus de cette liberté dans les cas déterminés par la loi.

\paragraph{Article 12}

La garantie des droits de l'homme et du citoyen nécessite une force publique ; cette force est donc instituée pour l'avantage de tous, et non pour l'utilité particulière de ceux à qui elle est confiée.

\paragraph{Article 13}

Pour l'entretien de la force publique, et pour les dépenses d'administration, une contribution commune est indispensable ; elle doit être également répartie entre les citoyens, en raison de leurs facultés.

\paragraph{Article 14}

Les citoyens ont le droit de constater, par eux-mêmes ou par leurs représentants, la nécessité de la contribution publique, de la consentir librement, d'en suivre l'emploi, et d'en déterminer la quotité, l'assiette, le recouvrement et la durée.

\paragraph{Article 15}

La société a le droit de demander compte à tout agent public de son administration.

\paragraph{Article 16}

Toute société dans laquelle la garantie des droits n'est pas assurée ni la séparation des pouvoirs déterminée, n'a point de Constitution.

\paragraph{Article 17}

La propriété étant un droit inviolable et sacré, nul ne peut en être privé, si ce n'est lorsque la nécessité publique, légalement constatée, l'exige évidemment, et sous la condition d'une juste et préalable indemnité.


    \chapter{Sources}

 La question des sources de la Déclaration française a suscité une controverse empreinte de nationalisme au sein de l'historiographie. Dans une brochure de 1895, l'historien allemand Georg \textsc{Jellinek} présentait l'\oe uvre française comme une simple héritière des Déclarations anglo-saxonnes (Pétition des droits, Déclaration des droits), elles-mêmes inspirées du Protestantisme luthérien. Traduite en français en 1902, dans un contexte de montée des tensions entre France et Allemagne, elle donnera lieu à une réplique aussi peu nuancée, portée par Emile \textsc{Boutmy} : la Déclaration des droits de l'homme et du citoyen n'aurait de source que dans la tradition philosophique et humaniste des Lumières.

Le Préambule, ajouté au projet, a été rédigé sous l'influence de \textsc{Mirabeau}, et de Jean-Joseph \textsc{Mounier}, député du Tiers qui avait fait adopter le serment du Jeu de Paume, tous deux monarchiens, c'est-à-dire partisans d'une Monarchie constitutionnelle à l'anglaise.

L'invocation à l' \og Être suprême \fg a été rajoutée au cours des séances pour tenir compte des convictions chrétiennes de presque tous les citoyens.

Le texte de l'article Un, \og Tous les Hommes naissent et demeurent libres et égaux en droit \fg, synthétise la Loi du 4 août 1789 abolissant la société d'ordres hiérarchisés.

L'article 16, associant constitution et organisation de la séparation des pouvoirs, est un principe antérieurement admis avec la séparation des ordres spirituel, politique et économique. Mais les trois pouvoirs politiques auxquels renvoie implicitement cet article, à savoir le législatif, l'exécutif et le judiciaire, est la conception proposée par Montesquieu depuis 1748 dans \emph{De l'Esprit des Lois}.

L'article 3, qui attribue la souveraineté à la Nation, s'inspire des thèmes des remontrances des Parlements, portées par les nombreux membres du club des Amis de la Constitution, plus connu sous le nom de Club des Jacobins, mais aussi du célèbre pamphlet de l'abbé \textsc{Sieyès}, qui pose l'équation : peuple = Tiers-État, c'est-à-dire que les députés du Tiers-État sont les représentants légitimes de l'ensemble du peuple.

L'article 6, directement inspiré du philosophe \textsc{Rousseau}, a été proposé par \textsc{Talleyrand}. Lu à la tribune du comité de constitution le 12 septembre 1789, ce qui deviendra l'article 6 de la déclaration des droits prenait la forme suivante : \og La loi étant l'expression de la volonté générale, tous les citoyens ont droit de concourir personnellement ou par représentation à sa formation ; elle doit être la même pour tous\fg.

Les autres articles reprennent des principes généraux du droit ou de la procédure qui sont déjà établis, comme la positivité du droit, le caractère contradictoire des procédures, la non rétroactivité des lois, etc.

Son idéal est l'individualisme libéral. C'est une \oe uvre de circonstance, une proclamation générale, un texte tourné vers le passé avec pour objectif d'en finir avec l'Ancien Régime ; mais également un texte tourné vers l'avenir en promouvant la philosophie des lumières et son idéal rationaliste.

\appendix
 
    \chapter{La révolution française}

La Révolution française est la période de l'histoire de France comprise entre la convocation des États généraux en 1789 et le coup d'État du 18 brumaire (9-10 novembre 1799) de Napoléon \textsc{Bonaparte}. C'est un moment fondamental de l'histoire de France, marquant la fin de l'Ancien Régime, et le passage à une monarchie constitutionnelle puis à la Première République. Elle a mis fin à la royauté, à la société d'ordres et aux privilèges. Justifié par la Déclaration des droits de l'homme et du citoyen, qui proclamait l'égalité théorique des citoyens devant la loi, les libertés fondamentales et la souveraineté de la Nation, apte à se gouverner au travers des représentants élus, cette période causa la mort de plusieurs milliers de personnes et la terreur pour la majorité.
Chapitre Histoire
Chapitre Histoire
Chapitre Texte
Chapitre Texte

Chapitre Texte (bis)Chapitre Texte (bis)

Chapitre Sources
Chapitre Sources
Annexe A
Annexe A
Le chapitre épilogue « Sources et Licences »

Pour ce chapitre, il fallait dans un premier temps utiliser une liste de description ainsi que la commande \url accompagnée d'URL réduites via bit.ly (C'est un célèbre réducteur d'URL). Dans un second temps, deux listes à puces toutes simples faisaient leur apparition. Dans l'une d'elles, la commande \emph sera manipulée pour signifier l'importance des termes « Paternité » et « Partage des conditions initiales à l'identique » (figure suivante).

\chapter{Sources et licences}
    
\section*{Sources}
    
    \begin{description}
    
   \item[Droits de l'homme (Wikipedia):] \url{http://bit.ly/9nYoSU}
   \item[Déclaration de 1789 (Wikipedia):] \url{http://bit.ly/1DJqQg}
   \item[Déclaration de 1793 (Wikipedia):] \url{http://bit.ly/SeRyG}
   \item[Déclaration de 1795 (Wikipedia):] \url{http://bit.ly/b6sdRI}
   \item[La révolution française (Wikipedia):] \url{http://bit.ly/cUd3SF}  
  
 
    \end{description}
    
    
    
    \section*{Licence Creative Commons 3.0}
    
    	\paragraph{Vous êtes libres :}
    	
    	\begin{itemize}
    	
    	\item de reproduire, distribuer et communiquer cette création au public
    	\item de modifier cette création
    	
    	\end{itemize}
    	
    
    	
    	\paragraph{Selon les conditions suivantes :}
    	
    	\begin{itemize}
    	
    	\item \emph{Paternité} : vous devez citer le nom de l'auteur original de la manière indiquée par l'auteur de l'\oe uvre ou le titulaire des droits qui vous confère cette autorisation (mais pas d'une manière qui suggérerait qu'ils vous soutiennent ou approuvent votre utilisation de l'\oe uvre).
    	\item \emph{Partage des conditions initiales à l'identique} : si vous transformez ou modifiez cette oeuvre pour en créér une nouvelle, vous devez la distribuer selon les termes du même contrat ou avec une licence similaire ou compatible.
    	
    	\end{itemize}
Sources
Sources
Étape 7 : rassembler les morceaux

L'étape 7 est tout simplement celle au cours de laquelle nous allons regrouper tous les éléments du fichier (je l'ai appelé tp.tex, libre à vous de le nommer autrement).
Une fois tous les morceaux rassemblés, le code source est complet. J'ai là aussi choisi de vous donner un code web plutôt que 20 pages de code illisibles.

\documentclass{book}
\usepackage[latin1]{inputenc}
\usepackage[T1]{fontenc}
\usepackage[francais]{babel}
\usepackage{url} % Pour écrire des adresses cliquables.
\usepackage{lmodern} % Pour changer le pack de police.
\usepackage[top=5cm, bottom=5cm, left=6cm, right=3cm]{geometry} % Les marges.
\title{Les droits de l'homme}
\author{\textsc{Laleloulilo} - \textsc{Zozor}}
\date{\today} % Pour mettre la date du jour, tapez \today.
\begin{document}
 
\maketitle % Page de garde.

    
\frontmatter
 
\chapter{Introduction}
\begin{it}
\Large{
        Les droits de l'homme sont un concept selon lequel tout être humain possède des droits universels, inaliénables, quel que soit le droit positif en vigueur ou les autres facteurs locaux tels que l'ethnie, la nationalité, l'orientation sexuelle ou la religion.

Selon cette philosophie, combattue ou éclipsée aux 19\ieme{} siècle, 20\ieme{} siècle et 21\ieme{} siècle par d'autres doctrines, l'homme, en tant que tel, et indépendamment de sa condition sociale, a des droits \og inhérents à sa personne, inaliénables et sacrés \fg, et donc opposables en toutes circonstances à la société et au pouvoir. Ainsi le concept de droits de l'homme est-il par définition universaliste et égalitaire, incompatible avec les systèmes et les régimes fondés sur la supériorité ou la \og vocation historique \fg d'une caste, d'une race, d'un peuple, d'une classe ou d'un quelconque groupe social ; incompatible tout autant avec l'idée que la construction d'une société meilleure justifie l'élimination ou l'oppression de ceux qui sont censés faire obstacle à cette édification.

Les droits de l'homme, types de prérogatives dont sont titulaires les individus, sont généralement reconnus dans les pays occidentaux par la loi, par des normes de valeur constitutionnelle ou par des conventions internationales, afin que leur respect soit assuré, si besoin est même contre l'état. L'existence, la validité et le contenu des droits de l'homme sont un sujet permanent de débat en philosophie et en sciences politiques. 

}
\end{it}

    \mainmatter
 
    \part{Déclaration des droits de l'homme et du citoyen de 1789}
    \chapter{Histoire}
    
   La Déclaration des Droits de l'Homme a été écrite dans un temple protestant. L'assemblée réunie à Versailles  par la convocation des États généraux pour trouver une solution fiscale au déficit de l'État, se déclare Assemblée nationale en réunissant les trois ordres, dont elle décide l'abolition, puis s'institue Assemblée nationale constituante, et décide de rédiger une déclaration des principes fondamentaux à partir desquels sera établie une nouvelle Constitution. Elle se réunit pour cela, après avoir pris les décrets des 4  et 11 août 1789 sur la suppression des droits féodaux, qu'elle reprendra dans l'article premier de la Déclaration.
La Déclaration des Droits de l'Homme et du Citoyen a été débattue par l'Assemblée nationale française sous la présidence du marquis de Mirabeau à partir d'un des trois projets proposés : celui de 24 articles, rédigé par le VI\textsuperscript{e} bureau dirigé par Jérôme \textsc{Champion de Cicé}. L'attribution du texte primitif à \textsc{La Fayette} inspiré par la Déclaration d'indépendance des États-Unis est donc erronée. L'abbé Grégoire propose que la Déclaration des droits de l'Homme et du Citoyen soit accompagnée de celle des devoirs.

La discussion débute le 9 juillet et débouche sur un vote le 26 août 1789, sous l'influence des leaders du tiers-état et de la noblesse. Le texte est peu modifié, mais est enrichi d'un préambule. Il est ratifié en partie le soir du 5 octobre 1789 par Louis XVI à Versailles, sur l'exigence de l'Assemblée, qui utilisa la pression d'une foule vindicative venue de Paris, initialement pour d'autres revendications.

Entièrement promulguée par le Roi à Paris, le 3 novembre 1789, la Déclaration des Droits est la dernière ordonnance royale. Elle servira de Préambule à la première Constitution de la Révolution française.
    
        \chapter{Le texte}
    \section{Introduction}
    
    Les représentants du peuple français, constitués en Assemblée nationale, considérant que l'ignorance, l'oubli ou le mépris des droits de l'homme sont les seules causes des malheurs publics et de la corruption des gouvernements, ont résolu d'exposer, dans une déclaration solennelle, les droits naturels, inaliénables et sacrés de l'homme, afin que cette déclaration, constamment présente à tous les membres du corps social, leur rappelle sans cesse leurs droits et leurs devoirs ; afin que les actes du pouvoir législatif et ceux du pouvoir exécutif, pouvant être à chaque instant comparés avec le but de toute institution politique, en soient plus respectés ; afin que les réclamations des citoyens, fondées désormais sur des principes simples et incontestables, tournent toujours au maintien de la Constitution et au bonheur de tous.
    
    \section{Les articles}
    
\paragraph{Article premier}

Les hommes naissent et demeurent libres et égaux en droits. Les distinctions sociales ne peuvent être fondées que sur l'utilité commune.

\paragraph{Article 2}

Les hommes naissent et demeurent libres et égaux en droits. Les distinctions sociales ne peuvent être fondées que sur l'utilité commune.
    
\paragraph{Article 3}

Le principe de toute souveraineté réside essentiellement dans la Nation. Nul corps, nul individu ne peut exercer d'autorité qui n'en émane expressément.

\paragraph{Article 4}

La liberté consiste à pouvoir faire tout ce qui ne nuit pas à autrui : ainsi, l'exercice des droits naturels de chaque homme n'a de bornes que celles qui assurent aux autres membres de la société la jouissance de ces mêmes droits. Ces bornes ne peuvent être déterminées que par la loi.


\paragraph{Article 5}

La loi n'a le droit de défendre que les actions nuisibles à la société. Tout ce qui n'est pas défendu par la loi ne peut être empêché, et nul ne peut être contraint à faire ce qu'elle n'ordonne pas.

\paragraph{Article 6}

La loi est l'expression de la volonté générale. Tous les citoyens ont droit de concourir personnellement ou par leurs représentants à sa formation. Elle doit être la même pour tous, soit qu'elle protège, soit qu'elle punisse. Tous les citoyens, étant égaux à ces yeux, sont également admissibles à toutes dignités, places et emplois publics, selon leur capacité et sans autre distinction que celle de leurs vertus et de leurs talents.

\paragraph{Article 7}

La loi est l'expression de la volonté générale. Tous les citoyens ont droit de concourir personnellement ou par leurs représentants à sa formation. Elle doit être la même pour tous, soit qu'elle protège, soit qu'elle punisse. Tous les citoyens, étant égaux à ces yeux, sont également admissibles à toutes dignités, places et emplois publics, selon leur capacité et sans autre distinction que celle de leurs vertus et de leurs talents.

\paragraph{Article 8}

La loi ne doit établir que des peines strictement et évidemment nécessaires, et nul ne peut être puni qu'en vertu d'une loi établie et promulguée antérieurement au délit, et légalement appliquée.

\paragraph{Article 9}

Tout homme étant présumé innocent jusqu'à ce qu'il ait été déclaré coupable, s'il est jugé indispensable de l'arrêter, toute rigueur qui ne serait pas nécessaire pour s'assurer de sa personne doit être sévèrement réprimée par la loi.

\paragraph{Article 10}

Nul ne doit être inquiété pour ses opinions, mêmes religieuses, pourvu que leur manifestation ne trouble pas l'ordre public établi par la loi.

\paragraph{Article 11}

La libre communication des pensées et des opinions est un des droits les plus précieux de l'homme ; tout citoyen peut donc parler, écrire, imprimer librement, sauf à répondre de l'abus de cette liberté dans les cas déterminés par la loi.

\paragraph{Article 12}

La garantie des droits de l'homme et du citoyen nécessite une force publique ; cette force est donc instituée pour l'avantage de tous, et non pour l'utilité particulière de ceux à qui elle est confiée.

\paragraph{Article 13}

Pour l'entretien de la force publique, et pour les dépenses d'administration, une contribution commune est indispensable ; elle doit être également répartie entre les citoyens, en raison de leurs facultés.

\paragraph{Article 14}

Les citoyens ont le droit de constater, par eux-mêmes ou par leurs représentants, la nécessité de la contribution publique, de la consentir librement, d'en suivre l'emploi, et d'en déterminer la quotité, l'assiette, le recouvrement et la durée.

\paragraph{Article 15}

La société a le droit de demander compte à tout agent public de son administration.

\paragraph{Article 16}

Toute société dans laquelle la garantie des droits n'est pas assurée ni la séparation des pouvoirs déterminée, n'a point de Constitution.

\paragraph{Article 17}

La propriété étant un droit inviolable et sacré, nul ne peut en être privé, si ce n'est lorsque la nécessité publique, légalement constatée, l'exige évidemment, et sous la condition d'une juste et préalable indemnité.


    \chapter{Sources}

 La question des sources de la Déclaration française a suscité une controverse empreinte de nationalisme au sein de l'historiographie. Dans une brochure de 1895, l'historien allemand Georg \textsc{Jellinek} présentait l'\oe uvre française comme une simple héritière des Déclarations anglo-saxonnes (Pétition des droits, Déclaration des droits), elles-mêmes inspirées du Protestantisme luthérien. Traduite en français en 1902, dans un contexte de montée des tensions entre France et Allemagne, elle donnera lieu à une réplique aussi peu nuancée, portée par Emile \textsc{Boutmy} : la Déclaration des droits de l'homme et du citoyen n'aurait de source que dans la tradition philosophique et humaniste des Lumières.

Le Préambule, ajouté au projet, a été rédigé sous l'influence de \textsc{Mirabeau}, et de Jean-Joseph \textsc{Mounier}, député du Tiers qui avait fait adopter le serment du Jeu de Paume, tous deux monarchiens, c'est-à-dire partisans d'une Monarchie constitutionnelle à l'anglaise.

L'invocation à l' \og Être suprême \fg a été rajoutée au cours des séances pour tenir compte des convictions chrétiennes de presque tous les citoyens.

Le texte de l'article Un, \og Tous les Hommes naissent et demeurent libres et égaux en droit \fg, synthétise la Loi du 4 août 1789 abolissant la société d'ordres hiérarchisés.

L'article 16, associant constitution et organisation de la séparation des pouvoirs, est un principe antérieurement admis avec la séparation des ordres spirituel, politique et économique. Mais les trois pouvoirs politiques auxquels renvoie implicitement cet article, à savoir le législatif, l'exécutif et le judiciaire, est la conception proposée par Montesquieu depuis 1748 dans \emph{De l'Esprit des Lois}.

L'article 3, qui attribue la souveraineté à la Nation, s'inspire des thèmes des remontrances des Parlements, portées par les nombreux membres du club des Amis de la Constitution, plus connu sous le nom de Club des Jacobins, mais aussi du célèbre pamphlet de l'abbé \textsc{Sieyès}, qui pose l'équation : peuple = Tiers-État, c'est-à-dire que les députés du Tiers-État sont les représentants légitimes de l'ensemble du peuple.

L'article 6, directement inspiré du philosophe \textsc{Rousseau}, a été proposé par \textsc{Talleyrand}. Lu à la tribune du comité de constitution le 12 septembre 1789, ce qui deviendra l'article 6 de la déclaration des droits prenait la forme suivante : \og La loi étant l'expression de la volonté générale, tous les citoyens ont droit de concourir personnellement ou par représentation à sa formation ; elle doit être la même pour tous\fg.

Les autres articles reprennent des principes généraux du droit ou de la procédure qui sont déjà établis, comme la positivité du droit, le caractère contradictoire des procédures, la non rétroactivité des lois, etc.

Son idéal est l'individualisme libéral. C'est une \oe uvre de circonstance, une proclamation générale, un texte tourné vers le passé avec pour objectif d'en finir avec l'Ancien Régime ; mais également un texte tourné vers l'avenir en promouvant la philosophie des lumières et son idéal rationaliste.


 

    \appendix
 
    \chapter{La révolution française}

La Révolution française est la période de l'histoire de France comprise entre la convocation des États généraux en 1789 et le coup d'État du 18 brumaire (9-10 novembre 1799) de Napoléon \textsc{Bonaparte}. C'est un moment fondamental de l'histoire de France, marquant la fin de l'Ancien Régime, et le passage à une monarchie constitutionnelle puis à la Première République. Elle a mis fin à la royauté, à la société d'ordres et aux privilèges. Justifié par la Déclaration des droits de l'homme et du citoyen, qui proclamait l'égalité théorique des citoyens devant la loi, les libertés fondamentales et la souveraineté de la Nation, apte à se gouverner au travers des représentants élus, cette période causa la mort de plusieurs milliers de personnes et la terreur pour la majorité.
   
    \backmatter
 
    \chapter{Sources et licences}
    
    \section*{Sources}
    
    \begin{description}
    
   \item[Droits de l'homme (Wikipédia):] \url{http://bit.ly/9nYoSU}
   \item[Déclaration de 1789 (Wikipédia):] \url{http://bit.ly/1DJqQg}
   \item[Déclaration de 1793 (Wikipédia):] \url{http://bit.ly/SeRyG}
   \item[Déclaration de 1795 (Wikipédia):] \url{http://bit.ly/b6sdRI}
   \item[La révolution française (Wikipédia):] \url{http://bit.ly/cUd3SF}  
  
 
    \end{description}
    
    
    
    \section*{Licence Creative Commons 3.0}
    
    	\paragraph{Vous êtes libres :}
    	
    	\begin{itemize}
    	
    	\item de reproduire, distribuer et communiquer cette création au public ;
    	\item de modifier cette création.
    	
    	\end{itemize}
    	
    
    	
    	\paragraph{Selon les conditions suivantes :}
    	
    	\begin{itemize}
    	
    	\item \emph{Paternité} : vous devez citer le nom de l'auteur original de la manière indiquée par l'auteur de l'\oe uvre ou le titulaire des droits qui vous confère cette autorisation (mais pas d'une manière qui suggérerait qu'ils vous soutiennent ou approuvent votre utilisation de l'\oe uvre).
    	\item \emph{Partage des conditions initiales à l'identique} : si vous transformez ou modifiez cette oeuvre pour en créér une nouvelle, vous devez la distribuer selon les termes du même contrat ou avec une licence similaire ou compatible.
    	
    	\end{itemize}
 

\end{document}
Conclusion

Vous voici arrivé à la fin de cette correction. Vous avez pu constater qu'une bonne organisation permettait d'avancer vite dans la création de documents avec LaTeX. Seules 7 étapes plutôt simples ont été nécessaires pour venir à bout de ce TP.

Gardez ces étapes en tête, elles vous aideront à créer de longs rapports sans vous embrouiller (Cela peut très vite arriver : lors de la rédaction du TP, je me suis aussi emmêlé les pinceaux). Il est maintenant temps de vous présenter de nouveaux outils. Ces outils sont un peu plus complexes que ceux utilisés jusqu'à maintenant, mais vous seront utiles pour concevoir des documents à la mise en page plus fine.

Fatigué(e) de lire sur un écran ? Découvrez ce cours en livre.

Les consignes Aller plus loin

Aller plus loin

La correction Les figures

Aller plus loin

Ce TP a été l'occasion de vous entraîner à manipuler des concepts simples. Dans cette sous-partie, nous allons voir quelques subtilités de LaTeX qui pourront vous servir lors de la conception de vos publications.

Commandes et espaces

Nous allons ici apprendre à mettre une espace après une commande LaTeX.
Petit test, compilez le code suivant (donnant la figure suivante). La commande \LaTeX sert à écrire le mot LaTeX.

\emph{canard} lapin\\
\LaTeX lapin\\
\LaTeX{} lapin\\
Les espaces
Les espaces

Constatez que dans la deuxième ligne, il n'y a pas d'espace entre les deux mots alors que vous en aviez inséré une dans le code. À la troisième ligne, vous remarquez que l'insertion de {} vient pallier ce problème. Nous allons donc formuler ici une règle simple qui vous permettra d'insérer des espaces après les commandes se terminant par des lettres.

Les commandes se terminant par des lettres doivent être suivies de {} afin de pouvoir insérer une espace à leur suite.

Règle toute simple, elle vous sauvera dans de nombreuses situations. Je n'ai pas utilisé cette règle dans le TP, étant donné que nous ne l'avions pas encore vue. Nous apprendrons à gérer les espaces de manière beaucoup plus fine dans le second TP.

Marges et layout

Lors du TP, nous avons paramétré les marges de notre document de sorte qu'il ait des marges définies en haut, en bas, à gauche et à droite.
Il est temps d'apprendre à faire les choses de manière plus fine. Lors de la création d'un layout (Créé via la commande \layout que nous avons déjà vue dans le chapitre concernant les marges), LaTeX vous montre toute une liste de paramètres. Chaque paramètre d'un layout peut être modifié et nous allons apprendre ici à le faire.

Avant toute manipulation, remémorons-nous l'apparence d'un layout ainsi que le code source nécessaire à sa création (figure suivante) :

\documentclass{article}

\usepackage[latin1]{inputenc}
\usepackage[T1]{fontenc}
\usepackage[francais]{babel}
\usepackage{layout}

\begin{document}

\layout

\end{document}
Layout par défaut
Layout par défaut

Chaque longueur est associée à une commande et à un repère sur le layout, de sorte que vous puissiez facilement identifier les différentes longueurs et les associer à leur nom.

Je vous montre ici comment modifier une longueur du layout. Prenons la longueur \marginparwidth repérée par le nombre 10 dans le layout (figure suivante). Pour la modifier (figure suivante), il suffit d'utiliser la commande suivante dans le préambule du document :

\setlength{nom de la longueur}{longueur dans l'unité qui vous plaît}
\setlength{\marginparwidth}{2cm} % Les centimètres seront automatiquement convertis.
Layout modifié
Layout modifié

Ce mécanisme est applicable à toutes les longueurs figurant dans le layout.

Personnalisation de la commande \emph

Nous avons vu dans le chapitre traitant du texte et des polices que la commande \emph ne servait non pas à mettre du texte en italique, mais à mettre des termes en emphase (c'est-à-dire à signaler leur importance).

Ce TP est l'occasion pour vous d'apprendre à modifier la manière dont \emph met en valeur du texte.
Nous souhaitons ici que la commande transforme le texte en texte type machine à écrire plutôt qu'en italique. Le résultat serait le suivant (capture d'écran du dernier paragraphe du TP sur la figure suivante) :

\begin{itemize}
    	
    \item \emph{Paternité} : vous devez citer le nom de l'auteur originalde la manière indiquée par l'auteur de l'\oe uvre ou le titulaire desdroits qui vous confère cette autorisation (mais pas d'une manière qui suggérerait qu'ils vous soutiennent ou approuvent votre utilisation del'\oe uvre).
    \item \emph{Partage des conditions initiales à l'identique} : sivous transformez ou modifiez cette œuvre pour en créer une nouvelle, vousdevez la distribuer selon les termes du même contrat ou avec une licencesimilaire ou compatible.

\end{itemize}
Mise en valeur du texte
Mise en valeur du texte

Comment en sommes-nous arrivés là ? Tout simplement en redéfinissant la commande \emph grâce à la commande suivante insérée dans le préambule du document :

\renewcommand{nom de la commande}{fonctions liées à cette commande}
\renewcommand{\emph}{\texttt}

Ici la commande est \emph, elle est associée à la transformation « machine à écrire » ( exttt). N'ayant pas spécifié que le texte devait être en italique, il ne le sera pas. En revanche, des problèmes pourront se poser si elle est insérée dans un texte en italique (elle ne jouera plus son rôle).
La commande enewcommand a de nombreuses applications, nous en verrons d'autres par la suite.

En-têtes et pieds de pages personnalisés

Il y a de ça quelques chapitres, vous étiez jeune et innocent et utilisiez la commande \pagestyle avec l'une des trois options prédéfinies : plain, empty ou headings.
Vous voici prêt à apprendre à créer des en-têtes et pieds de pages personnalisés. La commande \pagestyle{fancy} permet de faire cela (elle est fournie par le package fancyhdr).
\pagestyle{fancy} découpe chaque en-tête et pied de page en trois morceaux, de sorte que nous devons personnaliser six commandes différentes pour arriver à créer une mise en page cohérente des en-têtes et pieds de pages.

Diverses autres commandes sont utilisables :

Faites le test sur le document que nous venons de créer dans le TP en remplaçant les premières lignes par les suivantes.

\documentclass{book}
 
\usepackage[latin1]{inputenc}
\usepackage[T1]{fontenc}
\usepackage[francais]{babel} 
\usepackage{url}
\usepackage{lmodern}
\usepackage{fancyhdr}
\usepackage[top=5cm, bottom=5cm, left=6cm, right=3cm]{geometry}

\title{Les droits de l'homme}
\author{\textsc{Laleloulilo} - \textsc{Zozor}}
\date{\today} % Pour mettre la date du jour, tapez \today.
\begin{document}

\pagestyle{fancy}

\renewcommand{\headheight}{13pt}  
\renewcommand{\headrulewidth}{2pt} 
\renewcommand{\footrulewidth}{2pt} 
\renewcommand{\headsep}{15pt}
\lhead{\rightmark }
\chead{}
\rhead{\leftmark }
\lfoot{Section \thesection}
\cfoot{Chapitre \thechapter }
\rfoot{\thepage}
 
\maketitle % Page de garde.

Toutes les commandes ont été utilisées ici. Avouons-le, certaines pages ne sont pas des modèles de grâce. Qu'à cela ne tienne, vous pouvez changer le style des en-têtes et pieds de pages à la carte via la commande hispagestyle{} qui peut se voir attribuer elle aussi les options plain, empty ou headings. Cette commande se place n'importe où dans le document, elle prendra effet sur la page où le texte qui l'entoure est mis en page.

En résumé
Fatigué(e) de lire sur un écran ? Découvrez ce cours en livre.

La correction Les figures

Les figures

Aller plus loin Les différents formats d'images

Ce premier chapitre de la troisième partie de cet ouvrage introduit les manipulations de figures. Les concepts et packages présentés ici, bien qu'assez faciles à prendre en main dans des cas simples, peuvent se révéler extrêmement agaçants dans des situations plus exotiques. Les plus expérimentés connaissent la difficulté rencontrée lors de l'insertion de certaines figures dans des documents à la mise en page complexe.

Ne vous inquiétez pas, nous allons découvrir ensemble et sans empressement les notions liées aux figures. Un nouveau concept fera également son apparition dans ce livre : le flottant. Nous prendrons le temps de l'étudier.

Les différents formats d'images

Les figures Insertion d'images et de figures

Les différents formats d'images

LaTeX, avec ses packages, vous permet d'insérer des figures et des images de divers formats dans votre document et de les arranger selon vos souhaits. Une chose importante est à noter : tous les formats d'images ne sont pas compatibles entre eux.

Pourquoi ? À cause de la compilation. Nous avons appris dans le troisième chapitre qu'un fichier .tex pouvait, selon vos besoins, être compilé en fichiers de différents formats (nous avions parlé des formats PS et PDF). Selon la méthode de compilation, il vous sera permis d'utiliser certains formats d'images.

Avant de donner des explications techniques, jetons un œil au schéma de la figure suivante.

La gestion des formats d'imagesLa gestion des formats d'images

Nous nous intéresserons ici à l'insertion de plusieurs formats courants d'images et de figures (EPS, PNG, GIF, JPEG, BMP). Nous constatons sur ce schéma qu'un fichier PDF s'obtient de deux manières bien distinctes : soit il est le produit d'une compilation directe du fichier .tex, soit il est le résultat de la conversion d'un fichier PostScript (ces possibilités de conversion et de compilation ont été abordées dans le chapitre 3 en détail, revenez-y si elles ne sont pas claires dans votre esprit).

Cette différence nous intéresse, parce que le schéma montre qu'une compilation directe en PDF ne permet pas l'insertion de figures d'extension .eps, alors qu'une compilation d'un fichier .tex en un fichier PostScript l'autorise.

Nous sommes ici face à une originalité technique embêtante : tous les formats d'images ne peuvent pas être utilisés simultanément dans un document. Conséquence logique, un choix entre l'utilisation de figures (EPS et PS) ou d'images (BMP, GIF, PNG, JPEG) s'impose dès la conception d'un document.

Votre choix doit se faire selon le type de fichier que vous manipulez. Des chercheurs auront plutôt tendance à travailler avec le format PostScript, alors que les autres préféreront probablement utiliser des images au format PNG. Quel que soit votre choix (En cas d'hésitation, je vous conseille plutôt les PNG.), les packages et les commandes utilisés par la suite restent les mêmes.

Résumons tout ceci !

Fatigué(e) de lire sur un écran ? Découvrez ce cours en livre.

Les figures Insertion d'images et de figures

Insertion d'images et de figures

Les différents formats d'images Les flottants

Insertion d'images et de figures

L'épineux problème de la cohabitation entre les fichiers .eps et les autres formats d'images ayant été traité, nous pouvons aborder la pratique.

Nous allons apprendre à insérer une ou plusieurs images dans un document. Les opérations effectuées dans cette partie nécessiteront toutes l'utilisation du package graphicx. Chargez-le via la commande \usepackage{graphicx} à chaque fois que vous aurez à manipuler des images.

Pour travailler une image, il nous faut tout d'abord… une image. Voici donc la Wonder Poulpy (Mascotte officielle de tous les jours et unique modèle de poulpe de compagnie.), qui a accepté de se faire photographier en exclusivité afin que nous puissions manipuler sa photo et l'inclure dans nos documents.

Poulpy
Poulpy
Insertion simple

Une image est insérée dans un document via la commande suivante :

\includegraphics{chemin de l'image}

Comme nous avons enregistré l'image de Poulpy dans le dossier où se trouve notre fichier .tex, son chemin relatif se résume à poulpy.png. C'est celui-ci que nous utiliserons dans l'exemple qui suit :

\documentclass[12pt]{report}

\usepackage[latin1]{inputenc}
\usepackage[T1]{fontenc}
\usepackage[francais]{babel}
\usepackage{graphicx}

\begin{document}
\includegraphics{poulpy.png}
\end{document}

Le résultat attendu s'affiche : l'image est à sa taille d'origine et positionnée en haut à gauche du document (figure suivante).

insertion de poulpyinsertion de poulpy

Taille d'une image

Vous avez plusieurs possibilités pour indiquer à LaTeX la taille de l'image que vous souhaitez insérer. Vous pouvez indifféremment lui demander de :

La largeur et la hauteur sont fixées respectivement par les variables width et height. L'échelle, quant à elle, se fixe grâce à la variable scale et un coefficient. Ce dernier vaut 1 pour la taille par défaut de l'image, à vous de le diminuer ou de l'augmenter selon vos désirs. Voici plusieurs exemples de codes insérant une image redimensionnée.

\includegraphics[width=200]{poulpy.png}
\includegraphics[height=200]{poulpy.png}
\includegraphics[height=200, width=600]{poulpy.png}  
% Ici, Poulpy est un peu plate
\includegraphics[scale=1.5]{poulpy.png}  
% Ici, Poulpy est plutôt grande
Rotation d'une image

La variable angle nous permet de faire tourner une image dans un document. Le rendu sur des images rectangulaires n'est pas très esthétique, mais cela peut être utile avec des images ayant une autre forme. La figure suivante vous montre l'utilisation de cette option.

\includegraphics[angle=45]{poulpy.png} % Poulpy en biais
Poulpy en biais
Poulpy en biais
Insertion d'une portion d'image

Il est souvent agréable de pouvoir ajouter uniquement une portion de l'image originale dans un document sans avoir à passer par un logiciel d'édition. Nous allons ici apprendre à isoler une portion rectangulaire d'une image de grande taille.

Pour notre exemple, nous allons nous exercer sur une photo de Wonder Poulpy et Monsieur Poule que vous voyez en figure suivante. Vous pouvez la télécharger au format EPS en cliquant ici.

Wonder Poulpy et Monsieur PouleWonder Poulpy et Monsieur Poule

Ici, notre objectif va être d'isoler Poulpy, afin de pouvoir insérer sa photo dans un nouveau document sans son compagnon à plumes. Chaque pixel de l'image représente un point. À chaque point sont associées une abscisse et une ordonnée, l'origine se trouvant sur le coin inférieur gauche de l'image. Si nous souhaitons isoler Poulpy, notre photo de départ devient similaire à celle visible en figure suivante.

Plan de découpage
Plan de découpage

La commande à utiliser afin de découper convenablement un rectangle dans une image est la suivante :

\includegraphics*[abscisse du coin inférieur gauche,ordonnée du coin inférieur gauche][abscisse du coin supérieur droit,ordonnée du coin supérieur droit du rectangle]{chemin de l'image}

Tentez d'isoler Poulpy !
Je vais tout de même donner la solution à ceux qui n'auraient pas le courage de faire l'exercice (il est un peu difficile pour les moins expérimentés).

\includegraphics*[120,20][400,251]{poulpy_et_mr_poule.eps}
Intégration d'une image dans un paragraphe

Nous allons maintenant nous pencher sur l'intégration d'une image dans du texte de façon à ce que le texte contourne la figure.

Le package utilisé ici est wrapfig. Il est nécessaire de l'appeler lorsque vous souhaitez inclure l'environnement wrapfigure servant à encadrer des images ou des figures par le texte d'un paragraphe. Plusieurs variables font leur apparition avec l'utilisation de l'environnement wrapfigure :

La syntaxe à observer est la suivante :

\begin{wrapfigure}[nombre de lignes]{placement}{largeur de l'image en cm}
\includegraphics[width=largeur en cm]{votre image}
\end{wrapfigure}
Votre paragraphe, sans saut de ligne entre \end et le paragraphe

Le placement se définit à partir des lettres :

Petit exercice : reprenez l'image de Poulpy donnée en début de chapitre et tentez de l'insérer dans un paragraphe de faux texte. L'image devra faire 4 cm de large, occuper 8 lignes et se trouver à droite de votre paragraphe.

La solution de l'exercice se trouve ci-dessous, illustrée avec la figure suivante.

\documentclass[12pt]{report}

\usepackage[latin1]{inputenc}
\usepackage[T1]{fontenc}
\usepackage[francais]{babel}

\usepackage{wrapfig}
\usepackage{graphicx}
\begin{document}

\begin{wrapfigure}[8]{r}{4cm}
\includegraphics[width=4cm]{poulpy.png}
\end{wrapfigure}
Gros paragraphe.
\end{document}
Rendu de l'insertion
Rendu de l'insertion
Fatigué(e) de lire sur un écran ? Découvrez ce cours en livre.

Les différents formats d'images Les flottants

Les flottants

Insertion d'images et de figures Les tableaux

Les flottants

Les techniques pour insérer des images développées dans les paragraphes précédents sont des solutions simples, mais malheureusement peu utilisées. LaTeX propose aux auteurs d'optimiser le placement des images et des figures à leur place (C'est l'une de ses fonctions phares.).

Afin de laisser à LaTeX la possibilité de positionner des images à sa guise, nous allons placer ces images dans des environnements dits « flottants ». Le contenu de ces environnements sera placé de la manière que LaTeX estimera la plus judicieuse dans votre mise en page.

Bien entendu, vous pourrez indiquer à LaTeX votre préférence pour un type de placement en particulier.

Après avoir vu comment placer des flottants insérant des images, nous apprendrons à les légender. Ces légendes seront également traitées ultérieurement.

L'environnement figure
La création d'un flottant

Pour mettre une image en flottant, nous allons tout simplement insérer la commande habituelle \includegraphics dans l'environnement figure. Afin de rendre le tout plus élégant dans le document final, nous centrerons l'image.

\begin{figure}

\begin{center}
\includegraphics{poulpy.png} 
\end{center}

\end{figure}

Un flottantUn flottant

Le placement

Il est possible de spécifier à l'environnement figure (et par extension à LaTeX) votre préférence en termes de placement.

Vous pouvez souhaiter que votre flottant soit plutôt :

Il existe encore deux options. Vous pouvez indiquer à LaTeX que vous souhaitez faire figurer l'image dans la zone où vous avez tapé la commande de manière informative (option h) ou bien de manière insistante (option H).

H et h sont des outils intéressants, mais que je vous conseille d'employer avec modération. Laissez LaTeX faire son travail avant de lui imposer des contraintes.

Les options de placement sont spécifiées dans la commande d'ouverture de l'environnement figure selon la syntaxe que voici.

\begin{figure}[les options non séparées par des virgules]
Quelques démonstrations ci-dessous. 
Le « ! » est utilisé ici pour faire comprendre
à LaTeX que nous insistons « énormément » sur une option.
\begin{figure}[b] %nous voulons le flottant en bas.
\begin{figure}[!b] %nous voulons le flottant en bas (avec insistance).
\begin{figure}[bt] %nous voulons le flottant en bas, ou en haut s'il ne peut pasêtre en bas.
\begin{figure}[h] %nous voulons le flottant ici.
\begin{figure}[H] %nous voulons le flottant ICI !
\begin{figure}[hb] %nous voulons le flottant ici, ou en bas si cela n'est paspossible.
Les placements par défaut

LaTeX, selon votre distribution et votre configuration, place les flottants par défaut suivant l'une ou l'autre des options développées ci-dessus. La commande \floatplacement{type de flottant}{options} s'utilise afin de changer le comportement par défaut de LaTeX.

Dans notre cas, le type de flottant est figure et la commande s'utilise par exemple comme ceci :

\floatplacement{figure}{t}
Les légendes

Légender les figures et les images est indispensable en LaTeX. Nous allons à présent voir comment ajouter des légendes à nos flottants. C'est le rôle de la commande \caption{ma légende}. Elle s'utilise à la suite de l'environnement center et précède une éventuelle commande \label.

Un démonstration s'impose (figure suivante) :

\begin{figure}
\begin{center}
\includegraphics{poulpy.png} 
\end{center}
\caption{Poulpy est multicolore}
\label{Poulpy est multicolore}
\end{figure}
Figure légendée
Figure légendée
Sauts de page

Nous avions appris dans les chapitres traitant de la mise en page à dire à LaTeX d'effectuer un saut de page, grâce à la commande ewpage. Avec les flottants, deux nouvelles commandes apparaissent :

Comprenez bien l'utilité de ces commandes. Si vous écrivez un rapport en deux grandes parties, il est primordial qu'aucune image de la première partie ne se retrouve dans la seconde à cause d'un choix inopportun de LaTeX. Ces deux commandes s'utilisent exactement de la même manière que ewpage.

En résumé
Fatigué(e) de lire sur un écran ? Découvrez ce cours en livre.

Insertion d'images et de figures Les tableaux

Les tableaux

Les flottants Structure type d'un tableau

En sciences, les tableaux sont des éléments essentiels. Les créateurs de LaTeX ont su les mettre à l'honneur et apporter une somme colossale de packages et d'environnements sachant les gérer. Massifs et encombrants, comme des images ou des figures, les tableaux sont des flottants et LaTeX peut les intégrer comme tels.

Les tableaux, tout comme les notations mathématiques, font l'objet d'une documentation extrêmement fournie. Ce chapitre traitera plusieurs points utiles à la création des tableaux en vous apprenant à :

Bien que difficile, ce chapitre sera extrêmement riche en exemples.

Structure type d'un tableau

Les tableaux Fusion de cellules

Structure type d'un tableau

Dans cette première partie, nous allons faire nos premiers pas avec des tableaux. Notre but sera de réaliser une grande table de multiplication.

La théorie
Tableau sans bordure

Le tableau sans bordure est le plus simple à créer. Ici, tout se passe dans l'environnement tabular, et nous souhaitons créer le tableau visible en figure suivante. Sa création va se dérouler en trois temps.

Tableau simple
Tableau simple

Dans un premier temps, nous devons décider de l'alignement des cellules dans chaque colonne. Elles peuvent être…

Dans un deuxième temps, l'une des trois options sera choisie pour chaque colonne et insérée entre accolades à l'ouverture de l'environnement tabular.

Ici, nous souhaitons créer un tableau contenant deux colonnes centrées. Notre squelette de départ sera donc le suivant :

\begin{tabular}{cc}
\end{tabular}

Pour finir, nous rentrons ligne par ligne le contenu des cellules, séparé par le caractère « & ». Chaque ligne se terminera par \\ (c'est un moyen d'indiquer à LaTeX que l'on veut changer de ligne).

Voici donc le code source de notre tableau simple :

\begin{tabular}{cc}
1 & 2 \\
3 & 4 \\
\end{tabular}
Tableau avec bordures

Nous souhaitons maintenant ajouter des bordures visibles. Afin de faire apparaître les lignes, il faut placer la commande \hline entre deux lignes consécutives, et plus généralement partout où vous souhaitez obtenir une ligne horizontale (dans un tableau).

Démonstration :

\begin{tabular}{cc}
\hline
1 & 2 \\
\hline
3 & 4 \\
\hline
\end{tabular}
Les bordures, première étape
Les bordures, première étape

Les colonnes, quant à elles, sont un peu plus subtiles à mettre en place. Pour marquer la séparation entre deux colonnes consécutives par une bordure verticale, il faut insérer le caractère « | » (Le caractère « | » est présent en haut de votre clavier. Sur un clavier français, vous pouvez l'insérer avec la combinaison de touches AltGr + 6.) entre elles lors de la spécification des alignements (figure suivante).

Ici, {cc} devient {|c|c|}.

Démonstration :

\begin{tabular}{|c|c|}
\hline
1 & 2 \\
\hline
3 & 4 \\
\hline
\end{tabular}
Bordures, seconde étape
Bordures, seconde étape
Exercice

Il est temps pour vous de souffrir. Dans cet exercice, vous devez reproduire en LaTeX l'affreux tableau ci-dessous (figure suivante). Prenez le temps de réfléchir, il n'y a pas de piège. Recopier ce tableau devrait vous prendre moins de dix minutes.

Table de multiplicationTable de multiplication

La solution :

\begin{tabular}{|c|c|c|c|c|c|c|c|c|c|c|}

\hline
Multiplié par & 1 & 2 & 3 & 4 & 5 & 6 & 7 & 8 & 9 & 10 \\
\hline
1 & 1 & 2 & 3 & 4 & 5 & 6 & 7 & 8 & 9 & 10 \\
\hline
2 & 2 & 4 & 6 & 8 & 10 & 12 & 14 & 16 & 18 & 20 \\
\hline
3 & 3 & 6 & 9 & 12 & 15 & 18 & 21 & 24 & 27 & 30 \\
\hline
4 & 4 & 8 & 12 & 16 & 20 & 24 & 28 & 32 & 36 & 40 \\
\hline
5 & 5 & 10 & 15 & 20 & 25 & 30 & 35 & 40 & 45 & 50 \\
\hline
6 & 6 & 12 & 18 & 24 & 30 & 36 & 42 & 48 & 54 & 60 \\
\hline
7 & 7 & 14 & 21 & 28 & 35 & 42 & 49 & 56 & 63 & 70 \\
\hline
8 & 8 & 16 & 24 & 32 & 40 & 48 & 56 & 64 & 72 & 80 \\
\hline
9 & 9 & 18 & 27 & 36 & 45 & 54 & 63 & 72 & 81 & 90 \\
\hline
10 & 10 & 20 & 30 & 40 & 50 & 60 & 70 & 80 & 90 & 100 \\
\hline

\end{tabular}
Fatigué(e) de lire sur un écran ? Découvrez ce cours en livre.

Les tableaux Fusion de cellules

Fusion de cellules

Structure type d'un tableau Autres paramètres applicables à un tableau

Fusion de cellules

Nous allons apprendre à fusionner des lignes et des colonnes. Les commandes exposées ici ne sont pas faciles à prendre en main et demandent un peu d'entraînement et de gymnastique intellectuelle. La difficulté réside dans la mémorisation des commandes. Une fois que vous les connaîtrez par cœur, les choses seront beaucoup plus faciles.

Fusion de colonnes

La commande de fusion de colonnes est la suivante :

\multicolumn{nombre de colonnes fusionnées}{c, l ou r accompagné des bordures éventuelles}{le texte de la cellule}

La difficulté réside dans la possibilité de choisir de nouveau un alignement pour la cellule fusionnée. Faites bien attention à ce que l'alignement et les bordures de votre cellule soient cohérents avec celles du reste du tableau.

La figure suivante met en pratique la commande de fusion de colonnes (regardez bien les différentes syntaxes utilisées) :

\begin{tabular}{|c|c|c|c|c|}
\hline
1 & \multicolumn{2}{c|}{2} & 3 & 4 \\
\hline
\multicolumn{2}{|c|}{5} & 6 & 7 & 8 \\
\hline
9 & 10 & \multicolumn{3}{c|}{11} \\
\hline
\end{tabular}
Fusion de colonnes
Fusion de colonnes
Fusion de lignes

Pour fusionner deux lignes entre elles, on utilise la commande \multirow, contenue dans le package du même nom. Elle est dépendante de trois paramètres (L'un des paramètres est remplaçable par une étoile.) :

\multirow{nombre de lignes fusionnées}{taille de la colonne en cm}{votre texte}
\multirow{nombre de lignes fusionnées}*{votre texte}

Vous pouvez voir ci-dessous la démonstration de l'utilisation de \multirow. Notez que la commande \cline a été introduite. Elle vous permet selon vos souhaits de ne mettre une ligne horizontale qu'entre deux colonnes choisies par vous (Les colonnes sont numérotées de la gauche vers la droite.). Prenez le temps de regarder le code et la figure suivante afin de mieux comprendre l'utilité de \cline.

\begin{tabular}{|l|c|c|c|c|}
\hline
1 & \multicolumn{2}{c|}{2} & 3 & 4 \\
\hline
\multicolumn{2}{|l|}{5} & 6 & 7 & 8 \\
\hline
9 & 10 & \multicolumn{3}{c|}{11} \\
\hline
\multirow{2}{1cm}{12} & 13 & 14 & 15 & 16 \\
\cline{2-5}
& 17 & 18 & 19 & 20 \\
\hline
21 & 22 & \multirow{2}*{23} & 24 & 25 \\
\cline{1-2} \cline{4-5}
26 & 27 & & 28 & 29 \\
\hline
\end{tabular}
Fusion de lignes et de colonnes
Fusion de lignes et de colonnes
Fatigué(e) de lire sur un écran ? Découvrez ce cours en livre.

Structure type d'un tableau Autres paramètres applicables à un tableau

Autres paramètres applicables à un tableau

Fusion de cellules Les mathématiques

Autres paramètres applicables à un tableau

De nombreuses options de personnalisation sont disponibles sous LaTeX. Nous allons ici étudier les plus courantes avant d'apprendre à nous servir de l'environnement table, permettant de faire flotter nos tableaux. Nous les rendrons plus élégants et plus lisibles.

Modifications mineures
Colonne de largeur paramétrée

Nous avons appris précédemment à créer des colonnes en spécifiant simplement l'alignement de leur contenu. Il existe des alternatives au trio r, c et l. Je vais vous en présenter trois.

La nouvelle instruction possible est :

p{largeur de la colonne en centimètres}

À la différence de r, c et l, cette instruction n'a pas d'influence sur l'alignement horizontal du texte au sein des cellules. La figure suivante illustre son fonctionnement.

\begin{tabular}{|p{1cm}|p{2cm}|p{3cm}|p{4cm}|}
\hline
1cm & 2cm & 3cm & 4cm \\
\hline
\end{tabular}
Cellules de longueurs définies
Cellules de longueurs définies

Nous apprendrons plus loin dans ce chapitre à utiliser des environnements. Cela vous permettra de choisir l'alignement du contenu dans des colonnes à largeur fixe.

Créer une slashbox

Le package slashbox permet d'utiliser la commande \backslashbox{Texte dessous}{Texte dessus}. Cette commande sert à scinder en deux parties triangulaires de même aire une cellule initialement rectangulaire (figure suivante).

Démonstration :

\begin{tabular}{|c|p{1cm}|p{2cm}|}
\hline
\backslashbox{Patate}{Carotte} & 1cm & 2cm \\
\hline
\end{tabular}
Le package slashbox
Le package slashbox
Changer les séparateurs

Le séparateur habituel lors de la création d'un tableau en LaTeX est le caractère « | ». Il symbolise la création d'une ligne verticale. Il est néanmoins possible d'utiliser de nouveaux séparateurs via les commandes !{votre séparateur} ou @{votre séparateur}. Ces commandes sont contenues dans le package array (comme beaucoup de commandes utiles à la création de tableaux).

La commande !{} a l'avantage, contrairement à @{}, d'insérer une espace avant et après le séparateur.
Visuellement, la différence est flagrante (figure suivante) :

\begin{tabular}{|c !{bah} c @{bah}c|}
\hline
texte & texte & texte \\
\hline
\end{tabular}
Exemple d'utilisation de !{} et @{}
Exemple d'utilisation de !{} et @{}
Exercice

Tentez de recréer vous-même le tableau mis en avant sur la figure suivante (le symbole euro est disponible via la commande \euro{}, du package eurosym). Il vous faudra bien sûr utiliser les commandes qui viennent d'être introduites.

Forme de la solution
Forme de la solution

Solution :

\begin{tabular}{|c| c @{,} c !{\euro{}}|}
\hline
bonbon & 0 & 50 \\
table & 14 & 99 \\
\hline
\end{tabular}
Utilisation de commandes et d'environnements dans un tableau

La conception de tableaux telle que nous venons de l'apprendre ne permet pas l'insertion de commandes ou même d'environnements dans les colonnes. Avouons-le, c'est fâcheux. Pour pouvoir agir sur les colonnes, il vous faudra utiliser <{votre commande ou votre \begin{..\ }} avant l'instruction de création de colonne (l, r, c ou \p{}) et >{votre commande ou votre \end{..} } juste après si vous le souhaitez.

Démonstration avec la table de multiplication que nous avons utilisée en début de chapitre (figure suivante) :

\begin{tabular}{|>{\begin{bf}} c <{\end{bf}}|c|c|c|c|c|c|c|c|c|c|}

\hline
Multiplié par & \begin{bf}1\end{bf} & \begin{bf}2\end{bf} & \begin{bf}3\end{bf}& \begin{bf}4\end{bf} & \begin{bf}5\end{bf} & \begin{bf}6\end{bf}& \begin{bf}7\ end{bf} & \begin{bf}8\end{bf} & \begin{bf}9\end{bf} 
\mmligne& \begin{bf}10\end{bf} \\
\hline
1 & 1 & 2 & 3 & 4 & 5 & 6 & 7 & 8 & 9 & 10 \\
\hline
2 & 2 & 4 & 6 & 8 & 10 & 12 & 14 & 16 & 18 & 20 \\
\hline
3 & 3 & 6 & 9 & 12 & 15 & 18 & 21 & 24 & 27 & 30 \\
\hline
4 & 4 & 8 & 12 & 16 & 20 & 24 & 28 & 32 & 36 & 40 \\
\hline
5 & 5 & 10 & 15 & 20 & 25 & 30 & 35 & 40 & 45 & 50 \\
\hline
6 & 6 & 12 & 18 & 24 & 30 & 36 & 42 & 48 & 54 & 60 \\
\hline
7 & 7 & 14 & 21 & 28 & 35 & 42 & 49 & 56 & 63 & 70 \\
\hline
8 & 8 & 16 & 24 & 32 & 40 & 48 & 56 & 64 & 72 & 80 \\
\hline
9 & 9 & 18 & 27 & 36 & 45 & 54 & 63 & 72 & 81 & 90 \\
\hline
10 & 10 & 20 & 30 & 40 & 50 & 60 & 70 & 80 & 90 & 100 \\
\hline

\end{tabular}
Mise en gras de certaines parties
Mise en gras de certaines parties
Colorer des cellules

Nous allons ici apprendre à colorer des lignes, des cellules ainsi que des colonnes. Deux packages sont à utiliser : color (dont nous nous sommes déjà servi) et colortbl.

Les commandes sont les suivantes :

Exercice

Réalisez le tableau visible sur la figure suivante, en colorant la première ligne et la première colonne sur fond jaune (Vous avez le droit de vous servir des codes précédemment vus dans le chapitre.) :

Tableau à reproduire
Tableau à reproduire

Solution :

\begin{tabular}{>{\begin{bf} \columncolor{yellow}} c <{\end{bf}}cccccccccc}

\rowcolor{yellow}Multiplié par & \begin{bf}1\end{bf} & \begin{bf}2\end{bf} & \begin{bf}3\end{bf} & \begin{bf}4\end{bf} & \begin{bf}5\end{bf} & \begin{bf}6\end{bf} & \begin{bf}7\end{bf} & \begin{bf}8\end{bf} & \begin{bf}9\end{bf} & \begin{bf}10\end{bf} \\

1 & 1 & 2 & 3 & 4 & 5 & 6 & 7 & 8 & 9 & 10 \\

2 & 2 & 4 & 6 & 8 & 10 & 12 & 14 & 16 & 18 & 20 \\

3 & 3 & 6 & 9 & 12 & 15 & 18 & 21 & 24 & 27 & 30 \\

4 & 4 & 8 & 12 & 16 & 20 & 24 & 28 & 32 & 36 & 40 \\

5 & 5 & 10 & 15 & 20 & 25 & 30 & 35 & 40 & 45 & 50 \\

6 & 6 & 12 & 18 & 24 & 30 & 36 & 42 & 48 & 54 & 60 \\

7 & 7 & 14 & 21 & 28 & 35 & 42 & 49 & 56 & 63 & 70 \\

8 & 8 & 16 & 24 & 32 & 40 & 48 & 56 & 64 & 72 & 80 \\

9 & 9 & 18 & 27 & 36 & 45 & 54 & 63 & 72 & 81 & 90 \\

10 & 10 & 20 & 30 & 40 & 50 & 60 & 70 & 80 & 90 & 100 \\

\end{tabular}
Un environnement flottant : table

Faire flotter un tableau revient à insérer l'environnement tabular dans un nouvel environnement qui, lui, est flottant. Celui-ci s'appelle table et son fonctionnement interne est similaire à celui de l'environnement figure vu précédemment, avec caption, label, center, etc. Rien ne diffère dans leur fonctionnement.

Tentez de faire flotter le tableau vu dans le paragraphe précédent tout en écrivant en légende « Tables de multiplication ».
Rappelez-vous de la syntaxe ci-dessous et tout ira bien (figure suivante).

\begin{table}
\begin{center}
\begin{tabular}
Votre tableau
\end{tabular}
\end{center}
\caption{votre légende}
\label{votre référence}
\end{table}
Tableau flottant
Tableau flottant

La solution :

\begin{table}[h]
\begin{center}
\begin{tabular}{>{\begin{bf} \columncolor{yellow}} c <{\end{bf}}cccccccccc}

\rowcolor{yellow}Multiplié par & \begin{bf}1\end{bf} & \begin{bf}2\end{bf} & \begin{bf}3\end{bf} & \begin{bf}4\end{bf} & \begin{bf}5\end{bf} & \begin{bf}6\end{bf} & \begin{bf}7\end{bf} & \begin{bf}8\end{bf} & \begin{bf}9\end{bf} & \begin{bf}10\end{bf} \\

1 & 1 & 2 & 3 & 4 & 5 & 6 & 7 & 8 & 9 & 10 \\

2 & 2 & 4 & 6 & 8 & 10 & 12 & 14 & 16 & 18 & 20 \\

3 & 3 & 6 & 9 & 12 & 15 & 18 & 21 & 24 & 27 & 30 \\

4 & 4 & 8 & 12 & 16 & 20 & 24 & 28 & 32 & 36 & 40 \\

5 & 5 & 10 & 15 & 20 & 25 & 30 & 35 & 40 & 45 & 50 \\

6 & 6 & 12 & 18 & 24 & 30 & 36 & 42 & 48 & 54 & 60 \\

7 & 7 & 14 & 21 & 28 & 35 & 42 & 49 & 56 & 63 & 70 \\

8 & 8 & 16 & 24 & 32 & 40 & 48 & 56 & 64 & 72 & 80 \\

9 & 9 & 18 & 27 & 36 & 45 & 54 & 63 & 72 & 81 & 90 \\

10 & 10 & 20 & 30 & 40 & 50 & 60 & 70 & 80 & 90 & 100 \\

\end{tabular}
\end{center}
\caption{Tables de multiplication}
\label{mes belles tables}
\end{table}
En résumé
Fatigué(e) de lire sur un écran ? Découvrez ce cours en livre.

Fusion de cellules Les mathématiques

Les mathématiques

Autres paramètres applicables à un tableau Saisir une expression mathématique

Vous venez de survivre aux tableaux, c'était le chapitre le plus difficile de ce cours. Il est maintenant temps d'apprendre à écrire des expressions mathématiques, des formules, des intégrales. C'est le domaine de prédilection de LaTeX.

Nous traiterons dans l'ordre :

Il va de soi que certains d'entre vous n'ont pas les connaissances mathématiques ou physiques nécessaires pour saisir l'utilité d'une partie des outils mathématiques (discriminants, matrices, exponentielles…) et des notations qui leur sont associées. Ne prenez pas peur, ceci n'est pas un cours de maths, mais un cours destiné à vous apprendre à écrire des expressions mathématiques. Il vous suffit de sauter les paragraphes qui ne vous sont pas utiles.

Saisir une expression mathématique

Les mathématiques Fonctions usuelles

Saisir une expression mathématique

Cette première partie présente les éléments vous permettant d'insérer des expressions mathématiques ou scientifiques au sein d'un texte. Ces commandes et environnements ont pour effet de passer de la police standard du document (Nous avons appris à la modifier dans le chapitre traitant des polices.) à la police définie pour les maths (Il est également possible de la modifier grâce aux packs de polices.).

Ce changement de police est aussi accompagné d'un changement global des règles de typographie. Par exemple, il n'y aura pas la même espace de chaque côté du signe « − » selon que vous êtes dans l'environnement de texte ou dans celui de l'écriture scientifique.

Deux possibilités vous sont offertes par LaTeX. Vous pouvez choisir d'écrire des expressions scientifiques au milieu de votre texte, ou bien le faire à part, dans un espace où elles seront plus lisibles.

Bien sûr, ce serait trop simple s'il n'y avait qu'une seule méthode, nous allons donc en examiner plusieurs tout au long de ce chapitre.

N'oublions pas que la bonne lisibilité d'un document met de bonne humeur son lecteur. Nous privilégierons donc la seconde solution : écrire les expressions scientifiques en dehors des paragraphes.

Une démonstration de toutes ces commandes se trouve ci-dessous. Les commandes et environnements sont volontairement noyés dans des paragraphes afin que vous puissiez mieux voir leurs effets (figure suivante).

Lorem ipsum dolor sit amet, consectetur adipiscing elit. 
Vitae faucibus augue velit ac elit. Aliquam ullamcorper, lectus non tinciduntpharetra, $x+y+z=4$nisi sapien ornare felis, ut tristique tellus justo id ipsum. 

Lorem ipsum dolor sit amet, consectetur adipiscing elit. 
Vitae faucibus augue velit ac elit. Aliquam ullamcorper, lectus non tinciduntpharetra, \[x+y+z=4\] nisi sapien ornare felis, ut tristique tellus justo id ipsum. 

Lorem ipsum dolor sit amet, consectetur adipiscing elit. 
Vitae faucibus augue velit ac elit. Aliquam ullamcorper, lectus non tinciduntpharetra, \begin{math}x+y+z=4\end{math} nisi sapien ornare felis,ut tristique tellus justo id ipsum. 

Lorem ipsum dolor sit amet, consectetur adipiscing elit. 
Vitae faucibus augue velit ac elit. Aliquam ullamcorper, lectus non tinciduntpharetra, \begin{equation}x+y+z=4\end{equation} nisi sapien ornare felis,ut tristique tellus justo id ipsum.
Insertion d'équations sommaires
Insertion d'équations sommaires

Ces commandes et environnements sont des incontournables et ils savent montrer leur utilité dans de nombreux cas. Les pages suivantes vont introduire un grand nombre d'exemples et d'objets mathématiques.

Fatigué(e) de lire sur un écran ? Découvrez ce cours en livre.

Les mathématiques Fonctions usuelles

Fonctions usuelles

Saisir une expression mathématique Les intégrales

Fonctions usuelles

Cette partie traite de fonctions assez faciles à écrire. Si quelques-unes d'entre elles sont des commandes qui prennent des arguments (mais n'utilisent pas forcément le \ habituel), vous pourrez constater que d'autres s'introduisent exactement de la même manière qu'un caractère spécial, comme le cosinus par exemple (cos pour les intimes).

Fonctions usuelles à arguments

Nous allons commencer en douceur, avec ci-dessous une série de fonctions qui prennent des arguments, chacune d'elles étant accompagnée d'une capture et d'un exemple. Essayez de les utiliser, elles ne mordent pas.

Fraction
\[\frac{numerateur}{denominateur}\]
Fraction
Fraction
Fractions en cascade (package amsmath)
\[\cfrac{num1}{den1 + \cfrac{num2}{den2}}\]
Fraction complexe
Fraction complexe
Racine
\[\sqrt[15]{nombre}\]
Racine
Racine
Limite
\[\lim_{nbr1 \to nbr2} x+42\]
Limite
Limite
Exposant
\[nombre^{exposant}\]
Exposant
Exposant
Indice
\[nombre_{indice}\]
Indice
Indice
Fonctions usuelles sans argument

Le tableau suivant contient des commandes s'utilisant comme des caractères spéciaux. Par exemple, plutôt qu'une hypothétique commande \cos{argument} pour le cosinus, il y a le caractère spécial \cos, qui peut être suivi de ce que vous voulez (un exposant, un thêta ou n'importe quoi d'autre). Ci-dessous, une petite démonstration des possibilités que cela offre, suivi d'un gros tableau (Les caractères grecs sont présentés dans l'annexe A.).

\[\cos\]
\[\cos^{42}(\lambda)\]
Cosinus dans tous ses états
Cosinus dans tous ses états

Voilà donc la preuve par l'exemple que l'utilisation du cosinus est alors identique à celle des commandes élémentaires, ce qui rend les choses plus simples, non ?

Fonctions usuelles sans argument

Nom

Code

Nom

Code

cos

\cos

sin

\sin

arccos

\arccos

arcsin

\arcsin

cos

\cos

sin

\sin

cosh

\cosh

sinh

\sinh

tan

an

arg

\arg

arctan

\arctan

ln

\ln

tanh

anh

log

\log

exp

\exp

dim

\dim

min

\min

max

\max

Le tableau que voilà contient des commandes permettant d'écrire du texte en caractères romains plutôt qu'en italique mathématique. En effet, s'il existe une commande fondamentale servant à mettre n'importe quel texte en caractères romains, \mathrm{votre fonction}, celle-ci est fastidieuse à utiliser, et de bonnes âmes ont créé des raccourcis tels que \cos pour vous éviter d'avoir à écrire \mathrm{cos} à chaque cosinus que vous employez. Nous utiliserons la commande \mathrm{fonction} lorsqu'il nous faudra écrire du texte ou une fonction ne disposant pas d'un tel raccourci.

Fatigué(e) de lire sur un écran ? Découvrez ce cours en livre.

Saisir une expression mathématique Les intégrales

Les intégrales

Fonctions usuelles Les systèmes d'équations

Les intégrales

Préambule technique

À partir de ce paragraphe, les choses se compliquent un peu (mais pas beaucoup, rassurez-vous). Vous allez faire cohabiter dans vos expressions des symboles tels que des intégrales, des fonctions et plein d'autres petites choses bien sympathiques. Le problème auquel vous aurez à faire face est qu'à force de tout mélanger, vous finirez par ne plus vraiment savoir quels packages appeler.

Alors, soyons simples et allons-y comme des brutes ! Nous allons tout simplement appeler dès le préambule les trois principaux packages nécessaires à l'écriture d'expressions scientifiques, et nous n'aurons plus à nous soucier du package auquel nous faisons appel pour utiliser l'un ou l'autre symbole (Vous imaginez une table de 300 symboles avec à côté de chacun le nom du package ? Ce serait tout simplement ignoble.). Ici, je les ai classés par ordre alphabétique, mais cela n'a strictement aucune importance à notre niveau (Dans une utilisation plus avancée de LaTeX, les modifications apportées par les packages sur les commandes peuvent interférer entre elles (deux packages qui définissent la même commande, par exemple). Généralement, le dernier package introduit a le dernier mot. Ici, nous ne nous intéressons pas à ces cas atypiques.).

\usepackage{amsmath}
\usepackage{amssymb}
\usepackage{mathrsfs}

Souvent, vous tomberez sur des documentations indiquant des commandes LaTeX sans préciser les packages qui les fournissent. Ces trois-là devraient vous sortir de bien des situations désagréables.

Intégrales et expressions plus complexes

Les commandes simples ayant été introduites, nous allons apprendre à construire des expressions un peu plus ambitieuses. Nous allons maintenant nous pencher sur la rédaction de formules comportant des intégrales (simples, doubles, triples et même plus !), des sommes ou des produits.

Un exemple étant beaucoup plus facile à comprendre qu'un long discours, j'ai dressé pour vous une liste vous présentant des formules générales ainsi que des utilisations de celles-ci. Vous serez confronté à la commande \ suivie d'une espace : elle sert simplement à insérer une espace dans un environnement mathématique.

Intégrale simple

Modèle

\[\int {contenu}\]
\[\int_{borne inférieure}^{borne supérieure} {contenu}\]
\[\int \limits_{borne inférieure}^{borne supérieure} {contenu}\]

Démonstration

\[\int {x^2 dx}\]
\[\int_{1}^{3} {x^2 dx}\]
\[\int \limits_{1}^{3} {x^2 dx}\]
Intégrale simple
Intégrale simple
Intégrale sur une courbe fermée

Modèle

\[\oint {contenu}\]

Démonstration

\[\oint {x^2\ dx}\]
Intégrale curviligne
Intégrale curviligne
Symbole de la somme

Modèle

\[\sum_{en dessous}^{au dessus} contenu\]

Démonstration

\[\sum_{k=2}^{47} k+1\]
Somme
Somme
Symbole du produit

Modèle

\[\prod_{en dessous}^{au dessus} contenu\]

Démonstration

\[\prod_{k=2}^{47} k+1\]
Produit
Produit

En réalité, les intégrales doubles et triples peuvent également s'écrire avec des intégrales simples à l'intérieur d'autres intégrales simples. Vous trouverez des exemples ci-dessous, illustrant des cas plus ou moins exotiques.

\[\int{\int {x^2+y\ dx dy}}\]
\[\int{\int_{1}^{3} {x^2+y\ dx dy}}\]
\[\int{\int \limits_{1}^{3} {x^2+y\ dx dy}}\]
\[\int_{0}^{4}{\int_{1}^{3} {x^2+y\ dx dy}}\]
\[\int \limits_{0}^{4} {\int \limits_{1}^{3} {x^2+y\ dx dy}}\]
\[\int{\int{\int {x^2+y+z\ dx dydz}}}\]
\[\int_{x=0}^{x=5}{\int_{y=0}^{y=4}{\int_{z=1}^{z=3} {x^2+y+z\ dx dydz}}}\]
\[\int \limits_{x=0}^{x=5} {\int \limits_{y=0}^{y=4} {\int \limits_{z=1}^{z=3}{x^2+y+z\ dx dydz}}}\]
Intégrales doubles
Intégrales doubles

Si le besoin d'écrire plusieurs lignes sous un opérateur se fait sentir, utilisez la commande \substack{}. Il faut alors séparer chaque ligne par les habituels « \\ ».

\[\sum_{\substack{k=0 \\ i=0 \\ j=0}}^{n} i+j+k\]
\[\prod_{\substack{k=0 \\ i=0 \\ j=0}}^{n} i+j+k\]
La commande substack{}
La commande substack{}
Fatigué(e) de lire sur un écran ? Découvrez ce cours en livre.

Fonctions usuelles Les systèmes d'équations

Les systèmes d'équations

Les intégrales Les matrices

Les systèmes d'équations

Les systèmes d'équations sont simples à mettre en place : ils requièrent l'utilisation d'environnements ayant des fonctionnalités similaires à celles de tabular, si ce n'est qu'ils mettent en forme… des équations.

L'environnement eqnarray

Notre choix va ici se porter sur l'environnement eqnarray, qui offre la possibilité de créer un système d'équations proprement aligné, grâce au caractère &. Notez que l'environnement eqnarray numérote les équations, mais que son homologue eqnarray* ne le fait pas.

Démonstration :

\begin{eqnarray}
y &=& x - y + z\\
x &=& y\\
z &=& y
\end{eqnarray}

\begin{eqnarray*}
y &=& x - y + z\\
x &=& y\\
z &=& y
\end{eqnarray*}

\begin{eqnarray}
y &=& x - y + z\\
x &=& y\\
z &=& y
\end{eqnarray}
Systèmes d'équations
Systèmes d'équations

Vous ne manquerez pas de remarquer que la numérotation des équations se poursuit le long du document. C'est très pratique pour guider vos lecteurs, et un lecteur heureux est un lecteur qui vous aime. Important, n'est-ce pas ?

L'environnement align

Sans doute aurez-vous souvent recours à l'environnement eqnarray. Néanmoins, celui-ci pose quelques problèmes d'alignement et d'espacement dans des cas particuliers. Il est alors plus adapté de choisir l'environnement align (Vous vous demandez sûrement pourquoi je vous ai d'abord présenté une notion « bancale ». C'est tout simplement parce que vous la croiserez de façon extrêmement fréquente dans des codes sources LaTeX.). La commande align fonctionne de la même manière que la commande eqnarray ; de même, vous avez la possibilité d'utiliser align*, il y a juste une petite différence dans la syntaxe que vous pouvez remarquer dans le code source ci-dessous.

\begin{align}
y &=& x - y + z\\
x &=& y\\
z &=& y
\end{align}

\begin{align*}
y &=& x - y + z\\
x &=& y\\
z &=& y
\end{align*}

\begin{align}
y &=& x - y + z\\
x &=& y\\
z &=& y
\end{align}

Les grands acharnés peuvent lire ce document. Il développe les différences entre eqnarray et align.

L'environnement array

Notre prochaine mission est de positionner, dans un premier temps, des parenthèses autour de notre système d'équations et dans un second temps, une accolade ouvrante à son extrémité gauche. Pour ce faire, nous allons utiliser la syntaxe suivante (nous utilisons ici array pour aligner les équations et choisir l'alignement de chaque colonne) :

\[
\left code_du_délimiteur_de_gauche
\begin{array}{r c l}
y &=& x - y + z\\
x &=& y\\
z &=& y
\end{array}
\right code_du_délimiteur_de_droite
\]

Pour pouvoir installer nos parenthèses et notre accolade, il nous faut jeter un œil au tableau des délimiteurs contenant les codes correspondant à chacun d'entre eux (le point correspond à une absence de délimiteur lors de l'utilisation de ight et \left).

Code

Rendu

Code

Rendu

Les délimiteurs

(

Image utilisateurImage utilisateur

)

Image utilisateurImage utilisateur

[

Image utilisateurImage utilisateur

]

Image utilisateurImage utilisateur

\{

Image utilisateurImage utilisateur

\}

Image utilisateurImage utilisateur

\uparrow

Image utilisateurImage utilisateur

\downarrow

Image utilisateurImage utilisateur

\updownarrow

Image utilisateurImage utilisateur

\Uparrow

Image utilisateurImage utilisateur

\Downarrow

Image utilisateurImage utilisateur

\Updownarrow

Image utilisateurImage utilisateur

\lfloor

Image utilisateurImage utilisateur

floor

Image utilisateurImage utilisateur

\lceil

Image utilisateurImage utilisateur

ceil

Image utilisateurImage utilisateur

\langle

Image utilisateurImage utilisateur

angle

Image utilisateurImage utilisateur

/

Image utilisateurImage utilisateur

\backslash

Image utilisateurImage utilisateur

|

Image utilisateurImage utilisateur

\|

Image utilisateurImage utilisateur

Vous avez l'exercice, vous avez les codes des délimiteurs… À vous de jouer !

La solution :

\[
\left(
\begin{array}{r c l}
y &=& x - y + z\\
x &=& y\\
z &=& y
\end{array}
\right)
\]

\[
\left\{
\begin{array}{r c l}
y &=& x - y + z\\
x &=& y\\
z &=& y
\end{array}
\right.
\]
Solution
Solution
Fatigué(e) de lire sur un écran ? Découvrez ce cours en livre.

Les intégrales Les matrices

Les matrices

Les systèmes d'équations Mise en forme de théorèmes, lemmes…

Les matrices

Vous vous figurez sans doute qu'une matrice — ou l'expression de son déterminant — se conçoit à l'aide de la commande array, eh bien c'est raté ! Cela est certes possible, mais des environnements ont été spécialement conçus pour vous aider à écrire des matrices dans vos documents.

Les différents environnements

Vous n'allez pas être dépaysé : la syntaxe est toujours la même que celle que l'on connaît pour les tableaux, la seule chose qui change est le nom des différents environnements. À nouveau, nous allons passer en revue la liste des différentes options qui vous sont proposées.

L'environnement matrix
\[
\begin{matrix}
   1 & 2 & 3 \\
   4 & 5 & 6 \\
   7 & 8 & 9 
\end{matrix}
\]
Image utilisateur
L'environnement pmatrix
\[
\begin{pmatrix}
   1 & 2 & 3 \\
   4 & 5 & 6 \\
   7 & 8 & 9 
\end{pmatrix}
\]
Image utilisateur
L'environnement vmatrix
\[
\begin{vmatrix}
   1 & 2 & 3 \\
   4 & 5 & 6 \\
   7 & 8 & 9 
\end{vmatrix}
\]
Image utilisateur
L'environnement Vmatrix
\[
\begin{Vmatrix}
   1 & 2 & 3 \\
   4 & 5 & 6 \\
   7 & 8 & 9 
\end{Vmatrix}
\]
Image utilisateur
L'environnement bmatrix
\[
\begin{bmatrix}
   1 & 2 & 3 \\
   4 & 5 & 6 \\
   7 & 8 & 9 
\end{bmatrix}
\]
Image utilisateur
L'environnement Bmatrix
\[
\begin{Bmatrix}
   1 & 2 & 3 \\
   4 & 5 & 6 \\
   7 & 8 & 9 
\end{Bmatrix}
\]
Image utilisateur
Exemple pratique

Petite application de l'environnement matrix et de ses pairs, voici un exemple de matrice contenant des séries de trois points horizontaux (commande \cdots), verticaux (commande \vdots) ou diagonaux (commande \ddots). Effet garanti (Vous pouvez vous servir de ces trois commandes dans d'autres contextes si vous le souhaitez.).

\[
\begin{pmatrix}
   a_{11} & \cdots & a_{1k} \\
   \vdots & \ddots &\vdots \\
   a_{k1} & \cdots & a_{kk} 
\end{pmatrix}
\]
Matrice et dots
Matrice et dots
La commande \phantom{}

Voici une autre petite astuce : la commande \phantom{texte}, qui permet d'insérer un espace de la longueur du texte contenu entre ses crochets. Dans le contexte des matrices, elle est très utile, car elle permet d'insérer des blancs et d'aligner les différents éléments. Cette commande n'est cependant pas spécifique aux matrices : elle peut servir dans beaucoup d'autres cas.

\[ % Sans \phantom{}
\begin{Vmatrix}
   1 & 12345 & 3 \\
   94 & 5 & -6 \\
   7 & 8 & 9 
\end{Vmatrix}
\]

\[ % Avec \phantom{}
\begin{Vmatrix}
   \phantom{9}1 & 12345 & \phantom{-}3 \\
   94 & \phantom{1234}5 & -6 \\
   \phantom{9}7 & \phantom{1234}8 & \phantom{-}9 
\end{Vmatrix}
\]
La commande phantom{}
La commande phantom{}
Fatigué(e) de lire sur un écran ? Découvrez ce cours en livre.

Les systèmes d'équations Mise en forme de théorèmes, lemmes…

Mise en forme de théorèmes, lemmes…

Les matrices Flèches, symboles étirables et espaces

Mise en forme de théorèmes, lemmes…

À l'instar des citations, les théorèmes, corollaires, lemmes et autres affreuses petites choses écrites par de vieux barbus doivent respecter leurs conventions typographiques. Nous allons apprendre à mettre tout cela en place (eh non, vos souffrances ne sont pas terminées).

Généralités

Revenons à nos moutons ! Nous cherchons à mettre en page différentes choses : des corollaires, des lois, des théorèmes… Il faut bien sûr que chaque type d'entité ait une numérotation qui lui soit propre au sein du document (si dans une page, vous tapez un théorème et un corollaire, le théorème devra s'appeler « théorème 1 » et le corollaire « corollaire 1 », pas « corollaire 2 »).

Petit plus, nous souhaiterions pouvoir numéroter les différentes entités par rapport aux chapitres, sections et autres éléments structuraux. Ainsi, si un théorème est le troisième du chapitre cinq, il portera le nom de « théorème 5.3 » (même idée pour les sections et les autres éléments de structure).

Tout ceci se fait très facilement grâce à LaTeX, mais en deux temps. Dans un premier temps, il nous faudra indiquer à LaTeX dans le préambule qu'il faut créer les différentes entités utilisant la mise en page dédiée au théorème. Dans le corps du texte, nous pourrons ensuite simplement utiliser la commande permettant d'inclure des théorèmes, des lois et d'autres joyeusetés.

Pratiquons !

Si vous avez lu les paragraphes précédents, vous avez dû garder en tête la méthode en deux temps. La première chose à faire est donc d'appeler dans le préambule la commande ewtheorem (déclinée de plusieurs façons) avant d'utiliser un nom d'environnement de votre choix dans la suite du document.

\documentclass{book}

\usepackage[latin1]{inputenc}
\usepackage[T1]{fontenc}
\usepackage[francais]{babel}

\usepackage{amsthm}
\usepackage{amsmath}
\usepackage{amssymb}
\usepackage{mathrsfs}

\newtheorem*{petit_nom}{Lemme} % La petite étoile enlève la numérotation, maisnécessite le package amsthm
\newtheorem{petit_nom1}{Proposition}    
\newtheorem{petit_nom2}{Définition}[chapter] % Le [chapter] peut par exemple êtreremplacé par [section], il permet de numéroter les éléments par rapport aux numéros de chapitre
\newtheorem{petit_nom3}{Définition}[section]
    
                                       
\begin{document}
\chapter{Les ours}
\chapter{Les lapins}
\section{les lapins nains}

\begin{petit_nom}
ils aiment les carottes
\end{petit_nom}

\begin{petit_nom}[des lapins] % Argument optionnel, j'ajoute le nom de la loi entre crochets
ils aiment les carottes
\end{petit_nom}

\begin{petit_nom1}
ils aiment les carottes
\end{petit_nom1}

\begin{petit_nom1}[des lapins] % Argument optionnel, j'ajoute le nom entre crochets
ils aiment les carottes
\end{petit_nom1}

\begin{petit_nom2}
ils aiment les carottes
\end{petit_nom2}

\begin{petit_nom2}[des lapins] % Argument optionnel, j'ajoute le nom entre crochets
ils aiment les carottes
\end{petit_nom2}

\section{les autres}

\begin{petit_nom3}
ils aiment les carottes
\end{petit_nom3}

\begin{petit_nom3}[des lapins] % Argument optionnel, j'ajoute le nom entre crochets
ils aiment les carottes
\end{petit_nom3}

\end{document}
Les théorèmes
Les théorèmes

L'exemple est très explicite : la façon dont vous utiliserez la commande ewtheorem est importante, mais il n'y a rien de plus à savoir utiliser. Sachez que dans de nombreux cas, des commandes complexes en LaTeX vous seront présentées par le biais d'un code commenté et rien d'autre. Prenez le temps de le décortiquer : vous verrez alors que tout deviendra plus simple (enfin, tout ce qui concerne LaTeX). C'est la raison pour laquelle tout ce qui est nécessaire à la compréhension de ce concept est intégré au code précédent et ne figure pas dans un paragraphe explicatif.

Fatigué(e) de lire sur un écran ? Découvrez ce cours en livre.

Les matrices Flèches, symboles étirables et espaces

Flèches, symboles étirables et espaces

Mise en forme de théorèmes, lemmes… Sommaire et index

Flèches, symboles étirables et espaces

Cette avant-dernière partie recense de nombreuses commandes à la fois paramétrables et utiles en LaTeX. Cela va des différents types d'espaces aux accolades, en passant par les flèches et les accents.

Ici ne sont listées que les commandes paramétrables, toutes les autres se trouvent dans la partie mathématique de l'annexe traitant des caractères spéciaux (sinon, ce chapitre deviendrait vraiment trop long).

Les espaces

Différents types d'espaces sont disponibles dans un environnement mathématique. Notez que l'une d'elles est négative et permet de rapprocher des éléments. Un exemple de rendu est montré à la figure suivante.

Espace

Code

négative

\!

fine

\,

normale

\ suivi d'une espace

moyenne

\;

large

\:

cadratin

\quad

double cadratin

\qquad

\[1\!2\]
\[1\,2\]
\[1\ 2\]
\[1\;2\]
\[1\:2\]
\[1\quad2\]
\[1\qquad2\]
Les espaces
Les espaces
Les accents et chapeaux divers

Les expressions scientifiques imposent parfois de coiffer une lettre ou une série de lettres de flèches (pour représenter des vecteurs) ou de divers accents (Dans le cas de \stackrel, nous remplacerons l'accent par une série de lettres.). Voici un tableau les présentant.

Code

Rendu

\hat{a}

Image utilisateurImage utilisateur

\acute{a}

Image utilisateurImage utilisateur

\bar{a}

Image utilisateurImage utilisateur

\dot{a}

Image utilisateurImage utilisateur

\breve{a}

Image utilisateurImage utilisateur

\check{a}

Image utilisateurImage utilisateur

\grave{a}

Image utilisateurImage utilisateur

\vec{a}

Image utilisateurImage utilisateur

\ddot{a}

Image utilisateurImage utilisateur

ilde{a}

Image utilisateurImage utilisateur

\overleftarrow{aze}

Image utilisateurImage utilisateur

\overrightarrow{aze}

Image utilisateurImage utilisateur

\overbrace{aze}

Image utilisateurImage utilisateur

\underbrace{aze}

Image utilisateurImage utilisateur

\overline{aze}

Image utilisateurImage utilisateur

\underline{aze}

Image utilisateurImage utilisateur

\stackrel{dessus}{dessous}

Image utilisateurImage utilisateur

\widehat{aze}

Image utilisateurImage utilisateur

\widetilde{aze}

Image utilisateurImage utilisateur

\xrightarrow[dessous]{dessus}

Image utilisateurImage utilisateur

\xleftarrow[dessous]{dessus}

Image utilisateurImage utilisateur

\overset{a}{X}

Commande Overset
Commande Overset

\underset{b}{X}

Commande underset
Commande underset

\overset{a}{\underset{b}{X}}

Mix entre les deux fonctions
Mix entre les deux fonctions

\overbrace{\sin^2(x)+\cos^2(x)}^{Merveilleux}=1

Commande overbrace
Commande overbrace

\underbrace{\sin^2(x)+\cos^2(x)}_{\acute{E}pique}=1

Commande underbrace
Commande underbrace
En résumé
Fatigué(e) de lire sur un écran ? Découvrez ce cours en livre.

Mise en forme de théorèmes, lemmes… Sommaire et index

Sommaire et index

Flèches, symboles étirables et espaces Tables des matières

Prenons le temps de faire un bilan : les tableaux, les images, la mise en forme du texte et des pages… Nous serions tentés de nous dire que tous les grands domaines de LaTeX ont été abordés. Eh bien non, il nous en manque encore deux, qui nous occuperont pendant deux courts chapitres. Je pense ici aux différents types de tables d'index ainsi qu'aux bibliographies. Ces deux éléments, bien que ne représentant pas une difficulté insurmontable, sont le cauchemar de bon nombre d'étudiants et une intarissable source de blocage. Ne vous inquiétez pas, nous allons apprendre à utiliser simplement les tables et index dans ce chapitre (Les bibliographies seront pour le chapitre suivant.). Préparez vos neurones !

Nous aborderons ici les tables de tableaux, de figures et bien sûr les tables des matières. Nous apprendrons aussi les mécanismes élémentaires nécessaires à la création d'un index simple.

Tables des matières

Sommaire et index Tables des figures et tableaux

Tables des matières

Les tables sont censées aider le lecteur à mieux se repérer dans vos publications. Leur propreté (et accessoirement la vôtre) sera pour le correcteur ou le lecteur un gage de sérieux.

Dans de nombreux cas en édition, ce qui est jugé est votre table des matières. Mal la présenter revient à vous tirer, dès le départ, une balle dans le pied. C'est pour cela que tout projet sérieux requiert une table des matières réfléchie et bien fournie. Il est aussi parfois nécessaire d'enlever des éléments superflus à une table des matières, ou de ne pas aller trop loin dans le détail.

Imaginez un document où vous présentez à la fois vos chapitres, sections, sous-sections et paragraphes dans votre table des matières. Ne serait-ce pas un peu trop ? Nous apprendrons ici à enlever certains éléments de la table en demandant à LaTeX de ne pas y inclure les éléments hiérarchiques de trop bas niveau.

Résumons en trois mots les qualités d'une bonne table des matières :

Table des matières simple

Avant de passer aux choses très subtiles, nous devons apprendre à inclure une table des matières dans un document. Pour ce faire, il vous suffit d'insérer la commande ableofcontents à l'endroit où vous souhaitez afficher une table des matières dans votre document.

Je vous assure, ça n'a rien de plus compliqué. En une ligne de code, vous disposerez d'une table conçue avec les paramètres par défaut de LaTeX, ce qui suffit à la majorité des petits rapports. La seule subtilité réside dans le fait qu'il faille compiler deux fois. La première permet à LaTeX de comprendre la structure du document et de lister les titres. La seconde permet la mise en forme de la table, avec les numéros de pages.

Petite démonstration sur le code suivant (figure suivante) :

\documentclass{book}
\usepackage[latin1]{inputenc}
\usepackage[T1]{fontenc}
\usepackage[francais]{babel}
\begin{document}

\part{Partie 1}
	\chapter{Chapitre 1}
		\section*{Une section}
		\section{Une section avec un nom méga 
			\mmligne  mais alors vraiment méga trop giga long qui dépasse}
		\subsection{Une sous-section}
		\subsection{Une sous-section}
	\chapter{Chapitre 2}
		\section{Une section}
			\subsection{Une sous-section}
				\paragraph{Un paragraphe}
			\subsection{Une sous-section}
				\paragraph{Un paragraphe}
		\section{Une section}
	\chapter{Chapitre 3}
		\section{Une section}
		\section{Une section}

\tableofcontents

\end{document}
Table des matières
Table des matières

La table obtenue apparaît après deux compilations et plusieurs éléments sont à noter :

La seule de ces cinq choses que nous sachions faire pour l'instant est de mettre en tête de document la table des matières. Il suffit d'écrire ableofcontents après la commande de création d'une éventuelle page de garde, ou encore juste après votre \begin{document}.

Examinons de plus près les autres éléments.

Paramétrage d'une table des matières
Appeler votre table « Sommaire »

Avec les packages francisant votre document, le nom par défaut de votre table des matières est « Table des matières ». Ce nom me semble peu adapté si la table est présente en début de manuscrit. L'appellation « Sommaire » peut paraître plus appropriée.

Voici la commande :

\renewcommand{\contentsname}{Votre nouveau titre} % Dans le corps du document,avant la commande \tableofcontents.

La figure suivante montre le résultat avec le mot « Sommaire ».

Changement de titre
Changement de titre

La méthode développée ici permet tout aussi bien de changer le nom en « Sommaire » qu'en autre chose. Elle est applicable aussi à peu près à tous les éléments de structure d'un document (pour changer l'appellation « Partie » en autre chose, il vous faudra remplacer \contentsname par \partname par exemple.).

Raccourcir une ligne

Nous pouvons voir que dans notre sommaire, une des lignes est trop longue et dépasse. Heureusement, la communauté LaTeX a pensé à permettre aux utilisateurs de définir deux titres différents lors de la création d'un élément de structure : l'un pour le document, l'autre pour la table des matières.

La commande \section{titre dans le document} se transforme en \section[titre dans la table des matières]{titre dans le document}.

Dans le cas qui nous intéresse, remplaçons \section{Une section avec un nom méga mais alors vraiment méga trop giga long qui dépasse} par \section[un titre plus court]{ Une section avec un nom méga mais alors vraiment méga trop giga long qui dépasse} et observons le résultat sur la figure suivante.

Les titres courts
Les titres courts

Magnifique, n'est-ce pas ? Et cela fonctionne avec tous les éléments de structure.

Inclure les paragraphes dans le sommaire

Par défaut, LaTeX n'inclut pas les titres des paragraphes dans la table des matières de la classe book. Nous souhaiterions qu'ils apparaissent.

Pour ce faire, nous allons nous dire que chaque élément de hiérarchie correspond à un chiffre. Nous démarrons par les parties à -1 (je sais, c'est bizarre), puis les chapitres à 0 et ainsi de suite, cela nous donnant un tableau sympathique.

Elément hiérarchique

Nombre

Partie

-1

Chapitre

0

Section

1

Sous-section

2

Sous-sous-section

3

Paragraphe

4

Sous-paragraphe

5

La commande qui nous intéresse est \setcounter{tocdepth}{Nombre de votre choix}. Elle sert à demander à LaTeX de composer une table des matières contenant tous les éléments hiérarchiques jusqu'à ceux définis par le nombre que vous aurez choisi. Si vous choisissez -1 il n'y aura que les parties, si vous choisissez 5 il y aura tout. Tentons le 4 pour créer une table des matières comportant les titres des paragraphes :

\setcounter{tocdepth}{4}

Le résultat est visible sur la figure suivante.

Utilisation de \setcounter
Utilisation de \setcounter
Inclure un élément de structure fictif

Lorsqu'un élément de structure est suivi de * (par exemple \chapter*{un chapitre}), il n'y a pas de référence vers celui-ci dans la table des matières. Néanmoins, il est aussi possible de forcer LaTeX à ajouter une entrée.

Le {toc} est un élément que nous ne développerons pas, dites-vous juste que sans lui, la compilation peut échouer. La commande est \addcontentsline{toc}{élément de structure sans son \ ni ses accolades et crochets}{titre apparaissant dans le sommaire}.

Petit exemple (figure suivante):

\documentclass{book}
\usepackage[latin1]{inputenc}
\usepackage[T1]{fontenc}
\usepackage[francais]{babel}
\begin{document}
\addcontentsline{toc}{part}{Le Monde} 
\addcontentsline{toc}{chapter}{L'Eurasie} 
\addcontentsline{toc}{section}{L'Europe} 
\addcontentsline{toc}{subsection}{La France} 
\addcontentsline{toc}{subsubsection}{L'Aquitaine} 
\addcontentsline{toc}{paragraph}{La Gironde} 
\addcontentsline{toc}{subparagraph}{Bordeaux} 

\setcounter{tocdepth}{5}
\tableofcontents
\end{document}
Éléments de structure fictifs
Éléments de structure fictifs

Chose importante ici : étant donné que la commande \addcontentsline n'est qu'un marqueur et ne représente rien de réel dans le document, il est normal que le sommaire considère que tous les éléments sont en première page. Vous pouvez bien sûr les placer où vous le souhaitez dans votre document selon vos besoins.

Fatigué(e) de lire sur un écran ? Découvrez ce cours en livre.

Sommaire et index Tables des figures et tableaux

Tables des figures et tableaux

Tables des matières Les index

Tables des figures et tableaux

Les tables des figures et des tableaux permettent au lecteur de mieux se retrouver dans un texte. Ces deux tables ne sont pas incontournables, mais suivent les mêmes mécanismes, à peu de chose près, que les tables des matières.

Elles s'insèrent respectivement via les commandes \listoffigures et \listoftables ; elles font apparaître, au choix, soit un titre spécialement conçu pour la table, soit la légende contenue dans \caption. Nous n'avons pas encore appris à indiquer des titres conçus pour les tables dans la commande \caption, pourtant c'est très simple. Les deux syntaxes possibles ci-dessous vous sont présentées.

\caption[titre court]{légende normale de l'image}
\caption{légende normale de l'image}

Vous vous attendiez à quelque chose de plus compliqué ? Désolé de vous décevoir.

Je vous ai fabriqué un exemple massif (figure suivante), mais qui illustre bien la manière de créer des tables recensant les tableaux ainsi que les figures. Prenez le temps de le décortiquer, il n'est pas très difficile, mais très utile. J'ai réutilisé ici l'image de Poulpy, mascotte officielle du livre.

\documentclass[12pt]{report}

\usepackage[latin1]{inputenc}
\usepackage[T1]{fontenc}
\usepackage[francais]{babel}

\usepackage{graphicx}
\begin{document}

\begin{table}
\begin{center}
\begin{tabular}{|c|c|}
\hline
1 & 2 \\
\hline
3 & 4 \\
\hline
\end{tabular}
\end{center}
\caption[Un tableau]{Mon beau tableau}
\end{table}

\begin{figure}
\begin{center}
\includegraphics{poulpy.png} 
\end{center}
\caption{Poulpy est multicolore}
\end{figure}

\begin{figure}
\begin{center}
\includegraphics{poulpy.png} 
\end{center}
\caption[Chatoyante]{Poulpy est chatoyante}
\end{figure}

\begin{figure}
\begin{center}
\includegraphics{poulpy.png} 
\end{center}
\caption{Poulpy est inestimable}
\end{figure}

\begin{table}
\begin{center}
\begin{tabular}{|c|c|}
\hline
1 & 2 \\
\hline
3 & 4 \\
\hline
\end{tabular}
\end{center}
\caption{Mon beau tableau}
\end{table}

\begin{figure}
\begin{center}
\includegraphics{poulpy.png} 
\end{center}
\caption[Poulpesque]{Poulpy est poulpesque}
 
\end{figure}

\listoftables
\listoffigures

\end{document}
Table des figures et Table des tableaux
Table des figures et Table des tableaux
Fatigué(e) de lire sur un écran ? Découvrez ce cours en livre.

Tables des matières Les index

Les index

Tables des figures et tableaux La bibliographie

Les index

À mon sens, les index constituent la limite en difficulté à aborder dans ce livre, et n'ont finalement pas un intérêt énorme dans des rapports ou de petites publications. J'ai tout de même choisi de vous en parler un peu, ne serait-ce que par souhait de proposer une ouverture.

Prenez conscience tout de même que je vous expose ici la méthode permettant d'élaborer des index élémentaires. Les choses peuvent vite devenir très difficiles à mettre en place.

En résumé, je vous explique ici le concept pour que vous ne soyez pas paniqué plus tard si vous devez approfondir la chose, mais nous ne nous y attarderons pas (Beaucoup de documentations n'abordent même pas le sujet.).

Théorie

Commençons par les choses simples. La création d'un index nécessite le package makeidx et d'insérer la commande \makeindex dans le préambule, puis \printindex à l'endroit où vous souhaitez afficher celui-ci (exactement comme vous l'avez fait pour les tables).

Pour mettre en place les entrées dans l'index, il faut les marquer avec la commande \index{argument} en collant celle-ci au mot concerné. C'est à partir d'ici que les choses se gâtent.

J'aime les patates\index{patate}.

Après trois compilations, vous vous retrouvez normalement avec un index indiquant la position du marqueur « patate » dans votre document.

Si nous insérions un marqueur « pâté » et un marqueur « patate », LaTeX placerait dans l'ordre alphabétique « pâté » avant « patate ». Difficile à croire, et pourtant (figure suivante)…

J'aime le pâté\index{pâté} et les patates\index{patate}.
Index simple. Petit problème d'ordre alphabétique…
Index simple. Petit problème d'ordre alphabétique…

L'idée derrière tout ça c'est que LaTeX a un peu (voire beaucoup) de mal avec les accents. Il faut donc lui donner en argument une version non accentuée de chaque mot comportant des accents (c'est aussi valable pour les mots avec majuscules). Ces deux versions devront être séparées par un @. Oui, je sais : c'est tordu. Mais il faut faire avec, c'est le formalisme de LaTeX.

J'aime le pâté\index{pate@pâté} et les patates\index{patate@Patate}.
Tout s'arrange :)
Tout s'arrange :)

La figure suivante montre le résultat du code vu plus haut. L'ordre alphabétique est de nouveau respecté.

Si vous souhaitez créer des sous-entrées dans l'index, il vous suffit de séparer les entrées et sous-entrées (Notez que créer des sous-sous-entrées est possible.) par des « ! ». L'exemple est très parlant ici (figure suivante).

J'aime le pâté\index{pate@pâté} et les patates\index{patate}, ainsi que les patates nouvelles\index{patate!patates nouvelles}.
Sous-entrée dans un index
Sous-entrée dans un index

Pour finir, vous pouvez faire des références croisées au sein de vos index. « Références croisées », ce n'est pas vraiment très parlant comme terme, nous allons donc partir d'un exemple pour expliquer ce qu'elles sont. Faites le test, insérez |see{}. Cette commande permet à l'index de lier deux mots entre eux. Ainsi, écrire \index{poulpy|see{bestiole mythologique}} donnera dans l'index « poulpy, voir bestiole mythologique ».

Bien entendu, ici le mot « see » est traduit par « voir » lors de la compilation, mais LaTeX peut très bien compiler dans d'autres langues.

Pratique

Votre mission, si vous l'acceptez, est de créer l'index ci-dessous (figure suivante) à partir de la phrase « Poulpy est chatoyante, merveilleuse et multicolore bien que son inestimable charisme ne cache qu'une fourberie sans nom, son être tout entier est abyssal et inestimable. »

Exercice
Exercice
La solution
Poulpy\index{poulpy@Poulpy} est chatoyante\index{poulpy@Poulpy!chatoyante}, merveilleuse\index{poulpy@Poulpy!merveilleuse} et multicolore\index{poulpy@Poulpy!multicolore} bien que son inestimable charisme\index{poulpy@Poulpy!charisme} ne cache qu'une fourberie\index{poulpy@Poulpy!charisme!fourberie} sans nom, son être\index{poulpy@Poulpy!etre@être} tout entier est abyssal\index{poulpy@Poulpy!etre@être!abyssal} et inestimable\index{poulpy@Poulpy!etre@être!inestimable}.

Si vous en êtes venu à bout sans problème, vous pouvez vous estimer à l'aise avec LaTeX.

En résumé
Fatigué(e) de lire sur un écran ? Découvrez ce cours en livre.

Tables des figures et tableaux La bibliographie

La bibliographie

Les index Principe d'une bibliographie

Cher lecteur, vous qui avez suivi avec attention jusque-là, je dois vous annoncer que vous arrivez au dernier chapitre de cours de ce livre.

Pour finir en beauté, nous allons apprendre l'une des notions qui donnent des boutons à bien des débutants (Les étudiants que j'ai interrogés m'ont pour la plupart avoué que ça leur faisait peur à tel point qu'ils n'avaient même pas essayé.) en LaTeX : la bibliographie. Cet élément, bien que créé pour être maniable, est souvent mal compris par les novices et passé sous silence.

Ce chapitre est consacré entièrement à l'une des méthodes permettant de créer des bibliographies. Elle sera développée et expliquée en long, en large et en travers.

Conséquence logique du problème : les débutants n'insèrent pas de bibliographie dans leurs publications et ne citent ni leurs sources ni leurs ressources documentaires. C'est une grave erreur…

Principe d'une bibliographie

La bibliographie La base de données

Principe d'une bibliographie

Avant d'aborder la technique et LaTeX, j'aimerais parler de la définition du mot « bibliographie » et de son sens. Rien que sur la signification du mot, deux écoles se distinguent.

D'un côté, nous avons ceux qui estiment que la bibliographie comporte la liste de toutes les œuvres, qu'elles soient sous format papier ou numérique, qui ont servi de près ou de loin à concevoir une production. De l'autre, il y a ceux pour qui une bibliographie est un rassemblement d'œuvres répondant à un besoin particulier. Je vous cite ci-dessous un extrait de la définition du mot « bibliographie » sur Wikipédia, qui vous permettra de vous faire une idée des différents types de bibliographie existants.

Citation

Une bibliographie thématique regroupe des documents sur un même sujet ou un même thème. Inversement, une bibliographie systématique (parfois générale) regroupe des documents parus dans un même lieu et / ou à une même date.

Une bibliographie signalétique ne donne que les caractéristiques essentielles du document. Une bibliographie analytique en donne une description qui se veut neutre. Une bibliographie critique émet un jugement sur les documents qui y sont signalés.

Une bibliographie rétrospective décrit des documents publiés dans le passé.

Une bibliographie exhaustive décrit tous les livres publiés dans le cadre thématique, chronologique ou géographique retenu ; elle s'oppose à une bibliographie sélective. Une bibliographie sommaire propose une description plus réduite des ouvrages concernés.

La forme globale et la présentation d'une bibliographie sont variables selon les besoins et les auteurs de contenu. C'est ce que nous devons retenir ici.

À ce stade, normalement, les choses doivent vous sembler un peu tordues. Vous pensiez savoir ce qu'est une bibliographie… et au final vous vous rendez compte que les bibliographies peuvent prendre de multiples formes. Néanmoins, ces multiples formes ont un point commun : la mise en forme d'une liste d'œuvres.

Restons sur cette idée-là : « Une bibliographie est une liste d'un certain nombre d'œuvres choisies, répondant toutes à une consigne (regrouper les sources, des œuvres thématiques, etc.), mise en page selon les souhaits d'un (ou de plusieurs) auteur(s) ».

Tout de suite, nous y voyons déjà un peu plus clair.

La démarche de l'auteur est donc de choisir, dans la longue liste des œuvres qu'il connaît, celles qui seront publiées dans sa bibliographie. La mise en forme, LaTeX sait très bien la faire. La liste proprement dite est créée par un programme externe : BibTeX.

L'auteur affectera une petite étiquette à chaque œuvre. Il lui suffira ensuite, dans son document LaTeX, de faire référence à certaines étiquettes pour intégrer aussitôt les œuvres concernées dans la bibliographie de sa publication.

Résumons tout ceci dans un schéma (figure suivante).

Schéma résumé
Schéma résumé

L'idée générale étant maintenant fixée, entrons dans le vif du sujet. Dans un premier temps, nous créerons la base de données, avant d'apprendre à faire des références à celle-ci dans nos documents .tex pour créer la bibliographie.

Fatigué(e) de lire sur un écran ? Découvrez ce cours en livre.

La bibliographie La base de données

La base de données

Principe d'une bibliographie Mise en place de la bibliographie

La base de données

Créer la base de données est la partie la plus facile. Elle est constituée de paragraphes contenant chacun les informations et l'étiquette des œuvres.

La structure des informations concernant une œuvre dans la base de données est toujours la même. Je vous la montre ci-dessous.

@type_d'œuvre{référence_courte,
Titre_du_champ1={texte de votre choix},
Titre_du_champ2={texte de votre choix},
Titre_du_champ3={texte de votre choix},
Titre_du_champ4={texte de votre choix},
}
Entre deux œuvres, mon texte est considéré comme commentaire.
@type_d'œuvre{référence_courte,
Titre_du_champ1={texte de votre choix},
Titre_du_champ2={texte de votre choix},
Titre_du_champ3={texte de votre choix},
Titre_du_champ4={texte de votre choix},
}

Vous pouvez enchaîner autant d'œuvres que vous le souhaitez dans le fichier.
Il faut néanmoins respecter certaines règles pour que votre base de données fonctionne correctement :

Voilà ce qui rebute les débutants : le formalisme un peu triste et strict. En réalité, par rapport à la mise en forme d'un tableau, il est beaucoup plus simple d'écrire et de relire ce genre de code.

Revenons à notre code. Je vous ai dit que les types d'œuvres (Le type @misc est utilisé pour les sites web et ce qui ne trouve pas sa place dans les autres catégories.) et les titres des champs étaient prédéfinis. Il est temps pour vous de jeter un œil à leurs deux tableaux récapitulatifs.

Type d'oeuvre

Type d'oeuvre

Commentaires

Champs

@article

Article

author
journal
title
year
month
pages
notes

@book

Livre

author
title
publisher
year

@manual

Document technique

title
author
year
organization

@misc (utilisé pour les sites web et ce qui ne trouve pas sa place ailleurs)

Divers

author
title
month
year
note

@phdthesis

Thése de docotorat

title
author
school
year

@unpublished

Manuscrit non publié

author
title
note
year
month

Il en existe bien sûr d'autres, mais ceux-ci sont les plus répandus.

Champs

Correspondance

Champs

author

auteur

journal

Journal

month

mois de publication, au choix (jan, feb, mar, apr

note

notes complémentaires

organization

société ou organisation

pages

pages concernées

publisher

éditeur

year

année de publication

Nous pouvons, à l'aide des deux tableaux, créer notre première petite base de données bibliographique. Nous l'appellerons biblio.bib.

Pour author, les noms et prénoms sont séparés par une vigule, et les différents auteurs par AND

@Article{ref,
author={Durand, Patrick AND Durand, René},
journal={Le beau journal},
title={Les tomates tueuses},
year={2007},
month={jan},
pages={24},
notes={sympathique}
}

@book
{ref2,
author={Dupont, Fernand},
title={Les choux farcis},
publisher={Un gros éditeur},
year={2004}
}

@manual
{ref3,
title={Réparer son vaisseau},
author={Dupont, Nestor},
year={2009},
organization={L'Alliance}
}

@misc
{ref4,
author={Les Zéros},
title={Le site du zéro},
month={jun},
year={2009},
note={www.siteduzero.com}
}

@phdthesis
{ref5,
title={La belle thèse},
author={Barbu, Monsieur},
school={Université},
year={2002}
}

@unpublished
{ref6,
author={Mauvais, Monsieur},
title={Mon roman inachevé},
note={il est chouette mon roman},
year={2000},
month={feb}
}
Fatigué(e) de lire sur un écran ? Découvrez ce cours en livre.

Principe d'une bibliographie Mise en place de la bibliographie

Mise en place de la bibliographie

La base de données TP 2 – Rédaction d'un article présentant le théorème de Pythagore

Mise en place de la bibliographie

La base de données bibliographique que vous venez d'apprendre à créer peut contenir autant d'éléments que vous le souhaitez. L'idée centrale est d'y regrouper les œuvres sur lesquelles vous vous basez et celles que vous citerez dans vos documents.

Ici nous avons créé un fichier .bib. Certains n'en utilisent qu'un seul dans lequel ils vont piocher (L'intérêt d'une base de données est justement de pouvoir piocher à l'intérieur sans être obligé d'utiliser l'intégralité des informations qu'elle stocke.), d'autres en créent un par publication, c'est selon les goûts de chacun. De mon côté, j'aime assez l'idée de disposer, en un seul endroit, de la liste des ressources utilisées dans tous mes écrits (En partant du principe que le geek a tendance à être un peu désordonné, disséminer des fichiers .bib partout est dangereux.).

Concept

Apprenons maintenant à nous servir de cette base. Nous ferons des références à des éléments de la base de données via la commande \cite{référence_courte} que nous placerons où nous le voudrons dans le texte. Deux autres commandes viennent s'y ajouter : \bibliographystyle{ } et \bibliography{nom du fichier.bib sans l'extension .bib}. La première donne à LaTeX le style de mise en page souhaité pour la bibliographie, la seconde lui précise l'emplacement de la base de données.

Les éléments de la base de données auxquels les commandes \cite{référence_courte} font référence seront listés avec leurs informations respectives dans une page « Bibliographie » ou un encart « Références », suivant les classes de vos documents. Cette page se trouvera au même emplacement que celui où vous choisirez de faire apparaître les commandes \bibliographystyle{ } et \bibliography{ } (Leur fonctionnement est similaire à celui des tables.).

Exemples

Beaucoup d'informations vous ont été données. Il est temps de vous montrer quelques exemples, illustrant les différents styles de bibliographies possibles, avant de vous expliquer plus en détail comment se passe la compilation sous Mac OS, Linux ou Windows.

\documentclass{article}

\usepackage[latin1]{inputenc}
\usepackage[T1]{fontenc}
\usepackage[francais]{babel}

                                   
\begin{document}

J'insère le premier \cite{ref}, le second \cite{ref2}, le troisième \cite{ref3}, le quatrième \cite{ref4}, le cinquième \cite{ref5} et le sixième \cite{ref6}.

\bibliographystyle{} % Le style est mis entre accolades.
\bibliography{bibli} % mon fichier de base de données s'appelle bibli.bib

\end{document}

\bibliographystyle{plain} classe les entrées par ordre alphabétique et les numérote en conséquence (figure suivante).

\bibliographystyle{plain}
\bibliographystyle{plain}

\bibliographystyle{abbrv} classe les entrées par ordre alphabétique, les numérote en conséquence et abrège certains éléments de la bibliographie (figure suivante).

\bibliographystyle{abbrv}
\bibliographystyle{abbrv}

\bibliographystyle{unsrt} trie les entrées par ordre d'apparition dans le texte (figure suivante).

\bibliographystyle{unsrt}
\bibliographystyle{unsrt}

\bibliographystyle{alpha} : le repère n'est plus un chiffre, mais les trois premières lettres du nom de l'auteur accolées aux deux derniers chiffres de l'année de parution (figure suivante).

\bibliographystyle{alpha}
\bibliographystyle{alpha}
Compilation

La compilation d'un document comportant une bibliographie se passe d'une manière légèrement inhabituelle. Détaillons les trois façons de venir à bout de celle-ci.

Gardons à l'esprit qu'il faudra d'abord compiler notre document LaTeX (afin d'obtenir la liste des références à rechercher dans la base de données) avant d'appeler BibTeX (pour piocher dans la base de données) et de compiler une nouvelle fois notre document LaTeX.

Dans la pratique, des cas exotiques peuvent survenir (Typiquement, des créations de sommaires, de notes de bas de page et autres petites choses sympathiques.) : j'ai pris l'habitude de compiler deux fois au lieu d'une les sources LaTeX.

Sous MiKTeX

Compilez deux fois votre document, comme vous le feriez d'habitude, avant de cliquer sur le bouton « BibTeX » contenu dans BuildCurrent File (figure suivante) et de compiler deux nouvelles fois.

Le bouton bibtex de MiKTeX
Le bouton bibtex de MiKTeX

Le processus est un peu fastidieux, mais une fois maîtrisé il ne pose pas de problème : il s'agit juste d'une nouvelle routine à intégrer.

Sous Linux

Pour vous, cela se passe dans la console avec les commandes suivantes :

latex nom_de_fichier.tex
latex nom_de_fichier.tex

bibtex nom_de_fichier

latex nom_de_fichier.tex
latex nom_de_fichier.tex
TeXShop

Sous Mac OS, compilez deux fois comme à votre habitude dans un premier temps. Sélectionnez ensuite, dans le menu déroulant approprié (voir figure suivante), l'option « BibTeX » au lieu de « LaTeX » et compilez. Cela fait, sélectionnez à nouveau LaTeX dans votre menu déroulant, compilez deux nouvelles fois et tout ira bien.

Le bouton BibTex de TexShop
Le bouton BibTex de TexShop
En résumé
Fatigué(e) de lire sur un écran ? Découvrez ce cours en livre.

La base de données TP 2 – Rédaction d'un article présentant le théorème de Pythagore

TP 2 – Rédaction d'un article présentant le théorème de Pythagore

Mise en place de la bibliographie Les consignes

Vous voici arrivé au deuxième et dernier TP de cet ouvrage. Il a été pensé pour qu'une majeure partie des notions abordées précédemment soit revue et que vous puissiez vous rendre compte de vos lacunes éventuelles. Nous utiliserons ici un article de Wikipédia traitant du théorème de Pythagore et deux tables issues du même site.

Le livre final issu de ce TP fait 23 pages (dont 9 blanches) et ne comporte pas de piège vicieux. J'ai préféré vous faire utiliser les commandes usuelles, à vous de voir si vous voulez ajouter des fioritures ou faire des essais èJe vous conseille d'être curieux et de tenter des choses.).

Les consignes

TP 2 – Rédaction d'un article présentant le théorème de Pythagore La correction

Les consignes

J'ai choisi pour cet exercice de ne plus vous tenir la main, il vous faudra réussir à suivre les consignes données, tenter de recréer une structure et la remplir avec le contenu indiqué, ceci sans oublier de respecter les standards et le formalisme de LaTeX.

Terrifiant, n'est-ce pas ?

Ne vous inquiétez pas, tout va bien se passer.

La structure

Nous allons nous préoccuper en premier lieu de la structure du livre que nous rédigeons. Il comportera :

Vous devrez choisir où placer les différentes commandes de structure relatives aux livres selon vos souhaits. Essayez de rester le plus pertinent possible dans vos choix.

L'article « Théorème de Pythagore » sur Wikipédia (duquel est issu le texte que nous utiliserons) est disponible ici.

Les contenus
Chapitre d'introduction

Le chapitre d'introduction comporte un paragraphe et une image (dont la légende sera « Une version géométrique du théorème »).

Le texte qu’il doit contenir est le suivant et l'image (figure suivante) est placée sur la page de l'article.

Citation

Le théorème de Pythagore est un théorème de géométrie euclidienne qui énonce que dans un triangle rectangle (qui possède un angle droit) le carré de la longueur de l'hypoténuse (côté opposé à l'angle droit) est égal à la somme des carrés des longueurs des deux autres côtés. Ce théorème est nommé d'après Pythagore de Samos, mathématicien, philosophe et astronome de la Grèce antique.

Image de l'introduction
Image de l'introduction
Chapitre « Énoncé du théorème »

Nous utiliserons ici pour la première fois dans notre document une référence à la bibliographie, ainsi que la mise en page liée au théorème (figure suivante). Les mathématiques sont omniprésentes et un flottant fait son apparition (figure suivante). Bien que déclaré après les paragraphes de texte, ce flottant est inséré dans la section « Théorie ».

Le texte provient de l'article « Théorème de Pythagore » de Wikipédia et la mise en page doit respecter les captures ci-dessous (eh non, je ne vous donne pas l'image, vous allez devoir la prendre sur la page du wiki et la convertir vous-même en PNG).

Les textesLes textes

Le flottantLe flottant

Chapitre « Réciproque »

Si vous avez réussi l'épreuve du chapitre « Énoncé du théorème », celui-ci ne vous posera aucun problème (figure suivante).

Chapitre « Réciproque »Chapitre « Réciproque »

Tables d'addition et de multiplication

Ces deux annexes (figures suivante et suivante) nécessitent la création de tableaux, l'utilisation d'une couleur en niveaux de gris et des références bibliographiques. Les choses se corsent un peu…

Table d'additionTable d'addition

Table de multiplicationTable de multiplication

La bibliographie

Une bibliographie sera utile dans ce document, je vous montre son allure sur la figure suivante. À vous de créer la base de données correspondante (Elle ne comporte aucun piège.).

La bibliographie
La bibliographie

Au boulot (normalement, vous ne devriez pas avoir besoin de plus d'une bonne heure) !

Petite aide

Vous avez eu toutes les informations nécessaires à la création du document, néanmoins, je me doute qu'il n'est pas forcément évident de visualiser le travail dans sa globalité. Si (et seulement si) vous avez essayé de faire l'exercice, mais que vous vous sentez trop perdu, vous pouvez consulter le document au format PDF ici.

Fatigué(e) de lire sur un écran ? Découvrez ce cours en livre.

TP 2 – Rédaction d'un article présentant le théorème de Pythagore La correction

La correction

Les consignes Être plus à l'aise avec LaTeX

La correction

Compiler souvent, reprendre les explications des chapitres précédents et les exemples, telles étaient les clés du succès. Je ne vous donnerai pas ici de technique détaillée pour parvenir au document final (C'est exactement le même type de processus que pour le premier TP.).

Les concepts avancés de LaTeX s'entremêlent tous lors de la composition d'un document, de sorte que vous pouvez indifféremment constituer votre bibliographie pendant ou après l'écriture de votre contenu. L'important, c’est d'être organisé et de ne rien oublier. Lors de la création du TP, j'ai utilisé la méthode suivante pour réaliser le document :

Le trait est ici à peine grossi, et la méthode est ponctuée par de nombreuses étapes de correction. Cette méthode a l'avantage de pouvoir être transposée à la quasi-totalité des ébauches de publications que vous rédigerez (Évidemment, des étapes peuvent venir se greffer ou ne pas s’avérer nécessaires.). Suivant votre efficacité, vous pourrez sauter l'une ou l'autre des compilations.

Pour ma part, j'aime assez savoir d'où viennent mes erreurs et compiler après chaque étape me permet de ne pas avoir besoin de fouiller très longtemps, même avec des documents complexes.

Les deux seules difficultés de cet exercice sont la présence d'une bibliographie à remplir avec des pages web (donc, des entrées de type @misc) et les tableaux un peu complexes (qui ont déjà été vus dans le chapitre sur les tableaux). Je vous livre ci-dessous les deux codes source, celui de bibliographie.bib, ainsi que celui de tp2.tex. Prenez le temps de les lire si vous avez bloqué dessus et réessayez : vous y arriverez.

\documentclass{book}

\usepackage[latin1]{inputenc}
\usepackage[T1]{fontenc}
\usepackage[francais]{babel}
\usepackage{graphicx}
\usepackage{amsthm}
\usepackage{amsmath}
\usepackage{amssymb}
\usepackage{mathrsfs}
\usepackage{color}
\usepackage{colortbl}

\definecolor{grisclair}{gray}{0.8}

\newtheorem*{theo}{Théorème}
\newtheorem*{reci}{Réciproque}
                          
\title{Le théorème de Pythagore}
\author{\textsc{Laleloulilo}}
\date{\today} 
 
\begin{document}

\renewcommand{\contentsname}{Sommaire}
 
\maketitle % Page de garde.

\frontmatter
\tableofcontents

\chapter{Introduction}

Le théorème de Pythagore est un théorème de géométrie euclidienne qui énonceque dans un triangle rectangle (qui possède un angle droit) le carré de lalongueur de l'hypoténuse (côté opposé à l'angle droit) est égal à la somme des carrés des longueurs des deux autres côtés. Ce théorème est nommé d'après Pythagore de Samos, mathématicien, philosophe et astronome de laGrèce antique.

\begin{figure}
\begin{center}
 \includegraphics{intro.png} 
\end{center}
 \caption{Une version géométrique du théorème}
 \label{Une version géométrique du théorème}

\end{figure}

\mainmatter
\part{Théorème de Pythagore}
\chapter{Énoncé du théorème}

\section{Théorie}

La forme la plus connue du théorème de Pythagore \cite{theo} est la suivante :

\begin{theo}[de Pythagore]
Dans un triangle rectangle, le carré de la longueur de l'hypoténuse (côtéopposé à l'angle droit) est égal à la somme des carrés des longueursdes côtés de l'angle droit.
\end{theo}

Note : Le terme « longueur », généralement oublié, est très important. En effet, la longueur est un nombre réel sur lequel l'opération d'élévation au carré est parfaitement définie ; l'hypoténuse est un segment de droite, objet géométrique pour lequel l'élévationau carré n'a pas de sens.

Cependant, il est parfois retiré afin de ne pas compliquer l'apprentissage du théorème (la notion de longueur étant sous-entendue).

\begin{figure}
\begin{center}
 \includegraphics{triangle.png} 
\end{center}

 \caption{Triangle rectangle}
 \label{Triangle rectangle}
\end{figure}

Dans un triangle ABC rectangle en C, AB étant l'hypoténuse, où $AB = c$,$AC = b$ et $BC = a$ (cf. figure ci-dessus), on aura donc : $BC^2 + AC^2 = AB^2$ ou encore $a^2 + b^2 = c^2$.

Le théorème de Pythagore permet ainsi de calculer la longueur d'un des côtésd'un triangle rectangle si on connaît les deux autres.

\section{Exemple}

Avec les notations ci-dessus, soit le triangle rectangle de côtés $a = 3$ et $b = 4$; alors la longueur du troisième côté, c, est donnée par :$a^2 + b^2 = 32 + 42 = 25 = c^2$. Les longueurs étant des réels positifs, on obtient $c = 5$. Un triplet de nombres entiers tel que $(3, 4, 5)$, représentant la longueur des côtés d'un triangle rectangle s'appelleun triplet pythagoricien.

\chapter{Réciproque}

La réciproque du théorème de Pythagore est également vraie :

\begin{reci}[Théorème de Pythagore]
Si dans un triangle, la somme des carrés de deux côtés est égale au carré du plus grand côté, alors ce triangle est rectangle.
\end{reci}

Le théorème de Pythagore est donc une propriété caractéristique des triangles rectangles. Formulé autrement, si dans un triangle $ABC$ on a$BC^2 + AC^2 = AB^2$, alors ce triangle est rectangle en $C$.

\appendix
\part{Annexes et Tables}

\chapter{Table d'addition}

Table issue de Wikipédia \cite{addi}.

\begin{table}
\begin{center}

\begin{tabular}{>{\begin{bf} \columncolor{grisclair}} c <{\end{bf}}cccccccccc}

\rowcolor{grisclair}Additionné à  & \begin{bf}1\end{bf} & \begin{bf}2\end{bf} & \begin{bf}3\end{bf} & \begin{bf}4\end{bf} & \begin{bf}5\end{bf}& \begin{bf}6\end{bf} & \begin{bf}7\end{bf} & \begin{bf}8\end{bf}& \begin{bf}9\end{bf} & \begin {bf}10\end{bf} \\

1 & 2 & 3 & 4 & 5 & 6 & 7 & 8 & 9 & 10 & 11   \\

2 & 3 & 4 & 5 & 6 & 7 & 8 & 9 & 10 & 11 & 12  \\

3 & 4 & 5 & 6 & 7 & 8 & 9 & 10 & 11 & 12 & 13 \\

4 & 5 & 6 & 7 & 8 & 9 & 10 & 11 & 12 & 13 & 14  \\

5 & 6 & 7 & 8 & 9 & 10 & 11 & 12 & 13 & 14 & 15  \\

6 & 7 & 8 & 9 & 10 & 11 & 12 & 13 & 14 & 15 & 16  \\

7 & 8 & 9 & 10 & 11 & 12 & 13 & 14 & 15 & 16 & 17 \\

8 & 9 & 10 & 11 & 12 & 13 & 14 & 15 & 16 & 17 & 18  \\

9 & 10 & 11 & 12 & 13 & 14 & 15 & 16 & 17 & 18 & 19  \\

10 & 11 & 12 & 13 & 14 & 15 & 16 & 17 & 18 & 19 & 20  \\

\end{tabular}
\end{center}
\caption{Table d'addition}
\label{Table d'addition}
\end{table}

\chapter{Table de multiplication}

Table issue de Wikipédia \cite{mult}.

\begin{table}
\begin{center}

\begin{tabular}{>{\begin{bf} \columncolor{grisclair}} c <{\end{bf}}cccccccccc}

\rowcolor{grisclair}Multiplié par & \begin{bf}1\end{bf} & \begin{bf}2\end{bf} & \begin{bf}3\end{bf} & \begin{bf}4\end{bf} & \begin{bf}5\end{bf}& \begin{bf}6\end{bf} & \begin{bf}7\end{bf} & \begin{bf}8\end{bf}& \begin{bf}9\end{bf} & \begin{bf}10\end{bf} \\

1 & 1 & 2 & 3 & 4 & 5 & 6 & 7 & 8 & 9 & 10 \\

2 & 2 & 4 & 6 & 8 & 10 & 12 & 14 & 16 & 18 & 20 \\

3 & 3 & 6 & 9 & 12 & 15 & 18 & 21 & 24 & 27 & 30 \\

4 & 4 & 8 & 12 & 16 & 20 & 24 & 28 & 32 & 36 & 40 \\

5 & 5 & 10 & 15 & 20 & 25 & 30 & 35 & 40 & 45 & 50 \\

6 & 6 & 12 & 18 & 24 & 30 & 36 & 42 & 48 & 54 & 60 \\

7 & 7 & 14 & 21 & 28 & 35 & 42 & 49 & 56 & 63 & 70 \\

8 & 8 & 16 & 24 & 32 & 40 & 48 & 56 & 64 & 72 & 80 \\

9 & 9 & 18 & 27 & 36 & 45 & 54 & 63 & 72 & 81 & 90 \\

10 & 10 & 20 & 30 & 40 & 50 & 60 & 70 & 80 & 90 & 100 \\

\end{tabular}
\end{center}
\caption{Table de multiplication}
\label{Table de multiplication}
\end{table}
\backmatter

\listoffigures
\listoftables

\bibliographystyle{plain} 
\bibliography{bibliographie} 

\end{document}
@misc
{theo,
author={Wikipédia},
title={Théorème de Pythagore},
month={jul},
year={2010},
note={fr.wikipedia.org}
}

@misc
{mult,
author={Wikipédia},
title={Table de multiplication},
month={jul},
year={2010},
note={fr.wikipedia.org}
}

@misc
{addi,
author={Wikipédia},
title={Table d'addition},
month={jul},
year={2010},
note={fr.wikipedia.org}
}
Fatigué(e) de lire sur un écran ? Découvrez ce cours en livre.

Les consignes Être plus à l'aise avec LaTeX

Être plus à l'aise avec LaTeX

La correction Les caractères spéciaux

Être plus à l'aise avec LaTeX

Ce second TP est un résumé des notions développées dans cet ouvrage. Mine de rien, vous savez déjà beaucoup de choses sur LaTeX si vous en êtes à cette page, et ce n'est pas fini ! J'ai rassemblé ici quelques nouvelles commandes, des notions et des outils qui ne vont pas révolutionner votre utilisation de LaTeX, mais la rendre plus facile et plus intuitive.

Écrire un document dans plusieurs fichiers .tex
Le concept

Le livre que vous tenez entre vos mains est le fruit d'une compilation d'un fichier nommé latex.tex, je vous laisse imaginer la longueur du code nécessaire à la création d'un petit pavé de ce type… Ce sera long, très long même. Fort heureusement, LaTeX sait gérer les longs documents et aide les auteurs à scinder une même publication en plusieurs parties.

L'utilité de la chose ? Permettre à chacun de travailler sur une partie sans toucher au reste. Ainsi, au moment où j'écris ces lignes, des correcteurs sont en train de retoucher un autre chapitre et nous ne nous dérangeons pas mutuellement. Nous utilisons en plus de cela un logiciel qui nous permet de vérifier que nous n'écrasons pas le travail des autres, au cas où deux personnes travailleraient sur un même fichier.
La commande sur laquelle repose ce principe est toute simple, c'est la suivante :

\input{chemin_de_mon_fichier}

Lorsque vous utilisez \input, LaTeX remplace simplement la commande par le contenu du fichier appelé. Un exemple ne ferait pas de mal, n’est-ce pas ?

Exemple

Nous allons créer quatre fichiers, le premier s'appelle livre.tex et contiendra le code ci-dessous :

\documentclass{book}

\begin{document}

\input{chapitre1.tex}

\input{chapitre2.tex}

\input{partie2/chapitre3.tex}

\end{document}

Les trois autres fichiers (chapitre1.tex, chapitre2.tex et chapitre3.tex — ce dernier étant enregistré dans un dossier nommé partie 2) contiennent les codes ci-dessous.

\chapter{Le premier}
\chapter{Le second}
Poulpy est une déesse.
\chapter{Le dernier}

Normalement, l’arborescence de vos fichiers doit être la suivante :

Le résultat

La commande \input va faire son travail et lors de la compilation, elle va être remplacée par le contenu du fichier vers lequel elle pointe (Tout ceci n'est pas visible, c'est la petite cuisine interne du compilateur.).
Au cours de la compilation, votre fichier va ressembler à ça :

\documentclass{book}

\begin{document}

% Début du contenu de chapitre1.tex
\chapter{Le premier}
% Fin du contenu de chapitre1.tex
% Début du contenu de chapitre2.tex
\chapter{Le second}
Poulpy est une déesse.
% Fin du contenu de chapitre2.tex
% Début du contenu de chapitre3.tex
\chapter{Le dernier}
% Fin du contenu de chapitre3.tex

\end{document}

Ce n’est pas plus compliqué que ça. Vous savez maintenant tout ce qu'il faut savoir sur la commande \input, vous pouvez donc l'utiliser pour dissocier les différents morceaux de vos publications.

L'option draft

Il fut un temps où vous étiez jeune et innocent, et où vous ne connaissiez pas les classes de document. Vous avez utilisé à travers les divers exemples les options liées aux tailles de polices par défaut et d’autres petites choses. Il est temps de vous apprendre un nouvel argument pour \documentclass : l'argument draft.
Le mot draft est un terme anglais qui signifie « brouillon » ou « ébauche ». Pour nous, cela veut dire deux choses :

La conséquence logique, c’est que les images ne sont pas vraiment chargées et donc, que la compilation est plus rapide. À titre d'exemple, ce livre a compilé en 65 secondes en mode normal et en 50 secondes en draft. Je recommande grandement son utilisation en dernière relecture pour vérifier que tous les mots rentrent dans les marges, et son gain en temps de compilation le rend intéressant quand un utilisateur ne travaille pas sur les images, mais qu’il compile souvent.
Faites le test sur ce TP, remplacez la première ligne de code par la suivante et constatez le changement.

\documentclass[draft]{book}

Ici aussi, c’est une option toute simple, mais qui peut changer pas mal de choses et vous apporter énormément de confort.

Les unités de longueur

À de nombreuses reprises, des notions de longueurs ont été abordées, mais sans vraiment les définir. Quelle longueur fait un point par rapport à un centimètre ? Comment faire les conversions ? Pourquoi Poulpy est-elle tellement magnifique ?

Toutes les réponses sont ici !

Trève de plaisanteries, je vous ai concocté un tableau tout simple comportant le nom des unités de longueur, leur abréviation dans LaTeX (par exemple pour 1 centimètre entre crochets, il faut écrire {1cm}) ainsi que leur conversion en millimètres.

Les unités de longueur

Nom

Abréviation

Valeur en millimètres

Point

pt

0,35 mm

Millimètre

mm

1,00 mm

Pica

pc

4,21 mm

Cicéro

cc

4,53 mm

Centimètre

cm

10,00 mm

Inch

in

25,4 mm

Les espaces

Le dernier point que nous allons aborder est celui concernant l’espacement hors du mode scientifique. Il se peut que vous ayez besoin à certains moments d'insérer des espaces horizontaux ou verticaux de tailles précises entre deux mots ou deux morceaux d'un document.

Plutôt que de vous donner toute une gamme de commandes aussi indigeste que difficile à mémoriser, je vais seulement vous en donner quatre. Elles prennent toutes en argument une longueur dans l'unité de votre choix, la seule chose qui change étant leur effet. La combinaison de ces quatre commandes vous permet de faire à peu près n'importe quoi. Comprenez bien qu'il est parfois préférable de modérer l'usage de ces commandes, aussi puissantes que visuellement dangereuses. ;)

En résumé
Fatigué(e) de lire sur un écran ? Découvrez ce cours en livre.

La correction Les caractères spéciaux

Les caractères spéciaux

Être plus à l'aise avec LaTeX Environnement mathématique

Les caractères spéciaux sont très nombreux et très utiles lors de la création de documents. J'ai choisi de vous les lister dans cette annexe afin que vous puissiez les avoir sous la main à tout moment.

Les packages utilisés ici ont été les suivants (rien ne change avec l'UTF-8) :

\usepackage[latin1]{inputenc}
\usepackage[T1]{fontenc}
\usepackage[francais]{babel}
\usepackage{lmodern}
\usepackage{amsmath}
\usepackage{amssymb}
\usepackage{mathrsfs}

Environnement mathématique

Les caractères spéciaux Autres caractères spéciaux

Environnement mathématique

Lettres grecques
Lettres grecques
Lettres grecques
$$
\begin{array}{c c c c c c}
ligne 1 & \alpha   & \beta  & \gamma   & \delta   & \epsilon \\
ligne 2 & \zeta    & \eta   & \theta   & \iota    & \kappa   \\
ligne 3 & \lambda  & \mu    & \nu      & \xi      & \pi      \\
ligne 4 & \rho     & \sigma & \tau     & \upsilon & \phi     \\
ligne 5 & \chi     & \psi   & \omega   &          &          \\
ligne 6 & \Lambda  & \Theta & \Gamma   & \Delta   & \Xi      \\
ligne 7 & \Pi      & \Sigma & \Upsilon & \Phi     & \Psi     \\
ligne 8 & \Omega   &        &          &          &          \\
\end{array}
$$
Opérateurs extensibles
Opérateurs extensibles
Opérateurs extensibles
$$
\begin{array}{c c c c c c}
ligne 1 & \sum    & \int  & \biguplus & \bigoplus  & \bigvee   \\
ligne 2 & \prod   & \oint & \bigcap   & \bigotimes & \bigwedge \\
ligne 3 & \coprod & \iint & \bigcup   & \bigodot   & \bigsqcup \\
\end{array}
$$
Fonctions
Fonctions
Fonctions
$$
\begin{array}{c c c c c c}
ligne 1 & \arccos & \cos    & \csc  & \exp    & \ker   \\
ligne 2 & \limsup & \min    & \sinh & \arcsin & \cosh  \\
ligne 3 & \deg    & \gcd    & \lg   & \ln     & \Pr    \\
ligne 4 & \sup    & \arctan & \cot  & \det    & \hom   \\
ligne 5 & \lim    & \log    & \sec  & \tan    & \arg   \\
ligne 6 & \coth   & \dim    & \inf  & \liminf & \max   \\
ligne 7 & \sin    & \tanh   &       &         &        \\
\end{array}
$$
Flèches
Flèches
Flèches
$$
\begin{array}{c c c c c c} 
ligne 1  & \leftarrow         & \longleftarrow      & \uparrow           & \Leftarrow           & \Longleftarrow    \\
ligne 2  & \Uparrow           & \rightarrow         & \longrightarrow    & \downarrow           & \Rightarrow       \\
ligne 3  & \Longrightarrow    & \Downarrow          & \leftrightarrow    & \longleftrightarrow  & \updownarrow      \\
ligne 4  & \Leftrightarrow    & \Longleftrightarrow & \Updownarrow       & \mapsto              & \longmapsto       \\
ligne 5  & \nearrow           & \hookleftarrow      & \hookrightarrow    & \searrow             & \leftharpoonup    \\
ligne 6  & \rightharpoonup    & \swarrow            & \leftharpoondown   & \rightharpoondown    & \nwarrow          \\
ligne 7  & \rightleftharpoons & \leadsto            & \dashrightarrow    & \dashleftarrow       & \leftleftarrows   \\
ligne 8  &  \leftrightarrows  & \Lleftarrow         & \twoheadleftarrow  & \leftarrowtail       & \looparrowleft    \\
ligne 9  & \leftrightharpoons & \curvearrowleft     & \circlearrowleft   & \Lsh                 & \upuparrows       \\
ligne 10 & \upharpoonleft     & \downharpoonleft    & \multimap          & \leftrightsquigarrow & \rightrightarrows \\
ligne 11 & \rightleftarrows   & \rightrightarrows   & \rightleftarrows   & \twoheadrightarrow   & \rightarrowtail   \\
ligne 12 & \looparrowright    & \rightleftharpoons  & \curvearrowright   & \circlearrowright    & \Rsh              \\
ligne 13 & \downdownarrows    & \upharpoonright     & \downharpoonright  & \rightsquigarrow     & \nleftarrow       \\ 
ligne 14 & \nrightarrow       & \nLeftarrow         & \nRightarrow       & \nleftrightarrow     & \nLeftrightarrow
\end{array}
$$
Opérateurs
Opérateurs (partie 1)
Opérateurs (partie 1)
$$
\begin{array}{c c c c c c}
ligne 1  & \ast           & \pm            & \cap             & \lhd         & \star        \\
ligne 2  & \mp            & \cup           & \rhd             & \cdot        & \amalg       \\
ligne 3  & \uplus         & \triangleleft  & \circ            & \odot        & \sqcap       \\
ligne 4  & \triangleright & \bullet        & \ominus          & \sqcup       & \unlhd       \\
ligne 5  & \bigcirc       & \oplus         & \wedge           & \unrhd       & \diamond     \\
ligne 6  & \oslash        & \vee           & \bigtriangledown & \times       & \otimes      \\
ligne 7  & \dagger        & \bigtriangleup & \div             & \wr          & \ddagger     \\
ligne 8  & \setminus      & \centerdot     & \Box             & \barwedge    & \veebar      \\
ligne 9  & \circledast    & \boxplus       & \curlywedge      & \curlyvee    & \circledcirc \\
ligne 10 & \boxminus      & \Cap           & \Cup             & \circleddash & \boxtimes    \\
\end{array}
$$
Opérateurs (partie 2)
Opérateurs (partie 2)
$$
\begin{array}{c c c c c c}
ligne 1 & \bot             & \top           & \dotplus  & \boxdot         & \intercal       \\
ligne 2 & \rightthreetimes & \divideontimes & \square   & \doublebarwedge & \leftthreetimes \\
ligne 3 & \equiv           & \leq           & \geq      & \perp           & \cong           \\
ligne 4 & \prec            & \succ          & \mid      & \neq            & \preceq         \\
ligne 5 & \succeq          & \parallel      & \sim      & \ll             & \gg             \\
ligne 6 & \bowtie          & \simeq         & \subset   & \supset         & \Join           \\
ligne 7 & \approx          & \subseteq      & \supseteq & \ltimes         & \asymp          \\
ligne 8 & \sqsubset        & \sqsupset      & \rtimes   & \doteq          & \sqsubseteq     \\
ligne 9 & \sqsupseteq      & \smile         & \propto   & \dashv          & \vdash          \\
ligne 10 & \frown          & \models        & \in       & \ni             & \notin          \\
\end{array}
$$
Opérateurs (partie 3)
Opérateurs (partie 3)
$$
\begin{array}{c c c c c c}
ligne 1  & \approxeq      & \leqq        & \geqq        & \lessgtr    & \thicksim     \\
ligne 2  & \leqslant      & \geqslant    & \lesseqgtr   & \backsim    & \lessapprox   \\
ligne 3  & \gtrapprox     & \lesseqqgtr  & \backsimeq   & \lll        & \ggg          \\
ligne 4  & \gtreqqless    & \triangleq   & \lessdot     & \gtrdot     & \gtreqless    \\
ligne 5  & \circeq        & \lesssim     & \gtrsim      & \gtrless    & \bumpeq       \\
ligne 6  & \eqslantless   & \eqslantgtr  & \backepsilon & \Bumpeq     & \precsim      \\
ligne 7  & \succsim       & \between     & \doteqdot    & \precapprox & \succapprox   \\
ligne 8  & \pitchfork     & \thickapprox & \Subset      & \Supset     & \shortmid     \\
ligne 9  & \fallingdotseq & \subseteqq   & \supseteqq   & \smallfrown & \risingdotseq \\
ligne 10 & \sqsubset      & \sqsupset    & \smallsmile  & \varpropto  & \preccurlyeq  \\
\end{array}
$$
Opérateurs (partie 4)
Opérateurs (partie 4)
$$
\begin{array}{c c c c c c}
ligne 1  & \succcurlyeq     & \Vdash            & \therefore         & \curlyeqprec        & \curlyeqsucc    \\
ligne 2  & \vDash           & \because          & \blacktriangleleft & \blacktriangleright & \Vvdash         \\
ligne 3  & \eqcirc          & \trianglelefteq   & \trianglerighteq   & \shortparallel      & \neq            \\
ligne 4  & \vartriangleleft & \vartriangleright & \nshortparallel    & \ncong              & \nleq           \\
ligne 5  & \ngeq            & \nsubseteq        & \nmid              & \nleqq              & \ngeqq          \\
ligne 6  & \nsupseteq       & \nparallel        & \nleqslant         & \ngeqslant          & \nsubseteqq     \\
ligne 7  & \nshortmid       & \nless            & \ngtr              & \nsupseteqq         & \nshortparallel \\
ligne 8  & \nprec           & \nsucc            & \subsetneq         & \nsim               & \npreceq        \\
ligne 9  & \nsucceq         & \supsetneq        & \nVDash            & \precnapprox        & \succnapprox    \\
ligne 10 & \subsetneqq      & \nvDash           & \precnsim          & \succnsim           & \supsetneqq     \\
ligne 11 & \nvdash          & \lnapprox         & \gnapprox          & \varsubsetneq       & \ntriangleleft  \\
ligne 12 & \lneq            & \gneq             & \varsupsetneq      & \ntrianglelefteq    & \lneqq          \\
ligne 13 & \gneqq           & \varsubsetneqq    & \ntriangleright    & \lnsim              & \gnsim          \\
ligne 14 & \varsupsetneqq   & \ntrianglerighteq & \lvertneqq         & \gvertneqq          &                 \\
\end{array}
$$
Accents
Accents (Maths)
Accents (Maths)
$$
\begin{array}{c c c c c c}
ligne 1 & \acute{a}       & \bar{a}           & \Acute{\Acute{a}} & \Bar{\Bar{a}}     & \breve{a}         \\  
ligne 2 & \check{a}       & \Breve{\Breve{a}} & \Check{\Check{a}} & \ddot{a}          & \dot{a}           \\
ligne 3 & \Ddot{\Ddot{a}} & \Dot{\Dot{a}}     & \grave{a}         & \hat{a}           & \Grave{\Grave{a}} \\
ligne 4 & \Hat{\Hat{a}}   & \tilde{a}         & \vec{a}           & \Tilde{\Tilde{a}} & \Vec{\Vec{a}}     \\
\end{array}
$$
Polices mathématiques
Démonstration
\[A B C D E F G H I J K L M N O P Q R S T U V W X Y Z\]
\[\mathcal{A B C D E F G H I J K L M N O P Q R S T U V W X Y Z}\]
\[\mathbb{A B C D E F G H I J K L M N O P Q R S T U V W X Y Z}\]
\[\mathfrak{A B C D E F G H I J K L M N O P Q R S T U V W X Y Z}\]
\[\mathsf{A B C D E F G H I J K L M N O P Q R S T U V W X Y Z}\]
\[\mathbf{A B C D E F G H I J K L M N O P Q R S T U V W X Y Z}\]
Rendu
Polices mathématiques
Polices mathématiques
Caractères de structure
Caractères de structure
Caractères de structure
$$ \$         $$
$$ \&         $$
$$ \%         $$
$$ \#         $$
$$ \{         $$
$$ \}         $$ 
$$ \_         $$
$$ \sim       $$
$$ \wedge     $$
$$ \backslash $$
Divers
Divers
Divers
$$
\begin{array}{c c c c c c}
ligne 1  & \infty          & \forall        & \Bbbk       & \wp            & \nabla       \\
ligne 2  & \exists         & \bigstar       & \angle      & \partial       & \nexists     \\
ligne 3  & \diagdown       & \measuredangle & \eth        & \emptyset      & \diagup      \\ 
ligne 4  & \sphericalangle & \clubsuit      & \varnothing & \Diamond       & \complement  \\
ligne 5  & \diamondsuit    & \imath         & \Finv       & \triangledown  & \heartsuit   \\
ligne 6  & \jmath          & \Game          & \triangle   & \spadesuit     & \ell         \\
ligne 7  & \hbar           & \vartriangle   & \cdots      & \iiiint        & \hslash      \\
ligne 8  & \blacklozenge   & \vdots         & \iiint      & \lozenge       & \blacksquare \\
ligne 9  & \ldots          & \iint          & \mho        & \blacktriangle & \ddots       \\
ligne 10 & \sharp          & \prime         & \circledS   & \natural       & \flat        \\
ligne 11 & \square         & \backprime     & \Re         & \Im            & \surd        \\
\end{array}
$$
Fatigué(e) de lire sur un écran ? Découvrez ce cours en livre.

Les caractères spéciaux Autres caractères spéciaux

Autres caractères spéciaux

Environnement mathématique Liste des packages

Autres caractères spéciaux

Divers (Mode texte)
Divers (Mode texte)
\begin{tabular}{c c c c c c}
ligne 1 & \'{o}  & \"{o}      & \^{o}   &  \textbackslash{}  & \~{o} \\
ligne 2 & \={o}  & \d s       & \.{o}   & \u{o}              & \H{o} \\
ligne 3 & \t{oo} & \c{o}      & \d{o}   & \r s               & \b{o} \\
ligne 4 & \AA    & \aa        & \ss     & \i                 & \j    \\
ligne 5 & \H s   & \o         & \t s    & \v s               & \O    \\
ligne 6 & \P     & \S         & \ae     & \AE                & \dag  \\
ligne 7 & \ddag  & \copyright & \pounds & \{                 & \}    \\
ligne 8 & \%     & \$         & \&      & \#                 & \_    \\
ligne 9 & \^{}   & \dots      &         &                    &       \\
\end{tabular}
Fatigué(e) de lire sur un écran ? Découvrez ce cours en livre.

Environnement mathématique Liste des packages

Liste des packages

Autres caractères spéciaux La liste

Depuis le début du livre, vous avez appris à utiliser quelques packages utiles à la création de documents simples sous LaTeX. Cette annexe va reprendre, thème par thème, le nom et le rôle de chacun des packages utilisés dans ce cours, avec, pour chacun d'entre eux, un petit commentaire sur son utilité et le besoin auquel il répond.

Garder cette liste sous la main est un bon moyen d’éviter les erreurs d’étourderie (ou tout simplement les fautes de frappe) lors de la saisie de vos préambules. Gardez tout de même à l’esprit qu’un package s’insère via la commande \usepackage{}.

La liste

Liste des packages Petite astuce

La liste

Packages de langue

Ces trois packages sont indispensables pour écrire un document en français.

Création d'un layout

Le layout permet d'afficher le gabarit de mise en page d'un document.

Modification des marges

Les commandes de ce package permettent de régler finement les marges.

Interligne
Soulignement

Le package soul peut également servir à barrer du texte.

Symbole euro
Pack de polices

N'en inclure qu'un à la fois (il est fortement conseillé d'en utiliser un).

Citation d'URL
Citation de code

Le package verbatim donne accès aux environnements verbatim et verbtimtab.

Citation de code coloré

Ne pas oublier de paramétrer correctement \lstset.

En-têtes et pieds de pages personnalisés
Insertion d'images

Primordial pour travailler sur des images.

Insertion d'une image dans un paragraphe

À utiliser en dernier recours uniquement…

Manipuler les couleurs et colorer du texte

À employer avec prudence et retenue.

Colorer du texte contenu dans un tableau

Pour l'impression, il vaut mieux utiliser uniquement des niveaux de gris.

Insertion d'expressions scientifiques

Le package amsthm n'est utile que si votre document comprend des théorèmes.

Création d'index
Fatigué(e) de lire sur un écran ? Découvrez ce cours en livre.

Liste des packages Petite astuce

Petite astuce

La liste Les gabarits

Petite astuce

Voici une petite astuce toute simple pour ne pas avoir à vous souvenir de chacun des noms des vingt-huit packages utilisés ici : il suffit de créer un gros bout de code à insérer en préambule et dont chaque ligne est précédée par un signe %. Il ne reste qu'à enlever le signe pour qu'une ligne ne soit plus considérée comme un commentaire.

N'hésitez pas à utiliser le code ci-dessous dans vos préambules.

\usepackage[latin1]{inputenc}
\usepackage[T1]{fontenc}
\usepackage[francais]{babel}
%\usepackage{layout}
%\usepackage{geometry}
%\usepackage{setspace}
\usepackage{soul}
\usepackage{ulem}
%\usepackage{eurosym}
%\usepackage{bookman}
%\usepackage{charter}
%\usepackage{newcent}
%\usepackage{lmodern}
%\usepackage{mathpazo}
%\usepackage{mathptmx}
%\usepackage{url}
%\usepackage{verbatim}
%\usepackage{moreverb}
%\usepackage{listings}
%\usepackage{fancyhdr}
%\usepackage{wrapfig}
%\usepackage{color}
%\usepackage{colortbl}
\usepackage{amsmath}
\usepackage{amssymb}
\usepackage{mathrsfs}
%\usepackage{asmthm}
%\usepackage{makeidx}
Fatigué(e) de lire sur un écran ? Découvrez ce cours en livre.

La liste Les gabarits

Les gabarits

Petite astuce La classe article

Si vous l'avez lu en entier, ce livre devrait vous avoir convaincu, grâce aux exemples, de la puissance de LaTeX. Néanmoins, un petit problème se pose : comment retenir les commandes élémentaires ainsi que les éléments de structure à insérer dans un document .tex ? Cette annexe rassemble pour vous quatre gabarits de documents afin de faciliter vos compositions de rapports, lettres, livres et articles.

Les différents codes web sont là pour que vous téléchargiez les gabarits sur votre ordinateur et les utilisiez lorsque le besoin s'en fera sentir.

La classe article

Les gabarits La classe report

La classe article

Notons ici qu'un article scientifique peut parfois faire plus d'une dizaine de pages (c'est même assez courant). Il est souvent primordial de l'accompagner d'une bibliographie, voire d'une table des matières (Qu'il me semblerait plus judicieux de placer en début de publication dans le cas d'un document de la classe article.).

\documentclass[a4paper,10pt]{article}
\usepackage[utf8x]{inputenc}
\usepackage[T1]{fontenc}
\usepackage[french]{babel} 
\usepackage{lmodern} % Pour changer le pack de police
\author{\textsc{Nom} Prénom}
\date{\today} 
\title{Mon titre d'article}


\begin{document}

\maketitle

\begin{abstract}
Le résumé (abstract en anglais) de mon article.
\end{abstract}

Bla bla bla


\end{document}
Fatigué(e) de lire sur un écran ? Découvrez ce cours en livre.

Les gabarits La classe report

La classe report

La classe article La classe book

La classe report

\documentclass[a4paper,10pt]{report}
\usepackage[utf8x]{inputenc}
\usepackage[T1]{fontenc}
\usepackage[french]{babel} 
\usepackage{lmodern} % Pour changer le pack de police
\usepackage{makeidx}
\title{Le titre}
\author{\textsc{Nom} Prénom}
\date{} % Pour mettre la date du jour, tapez \today 

\title{Mon titre d'article}
\date{}
\author{Laleloulilo}
\makeindex
\begin{document}

\maketitle

\begin{abstract}
Le résumé (abstract en anglais) de mon article.
\end{abstract}


\tableofcontents


Bla\index{bla} bla bla

\listoffigures
\listoftables
\printindex
\end{document}
Fatigué(e) de lire sur un écran ? Découvrez ce cours en livre.

La classe article La classe book

La classe book

La classe report La classe letter

La classe book

\documentclass{book}
 
\usepackage[utf8]{inputenc}
\usepackage[T1]{fontenc}
\usepackage[french]{babel} 
\usepackage{lmodern} % Pour changer le pack de police
\usepackage{makeidx}
\makeindex
\title{Le titre}
\author{\textsc{Nom} Prénom}
\date{\today}  
 
\begin{document}
 
\maketitle % Page de garde

\frontmatter 

Pages introductives

\mainmatter

Contenu

\appendix
   
Chapitres annexes
\bibliographystyle{} % Le style est mis entre crochets.
\bibliography{bibli} % Mon fichier de base de données s'appelle bibli.bib.

\backmatter

Epilogue

\tableofcontents
\listoffigures
\listoftables
\printindex

\end{document}
Fatigué(e) de lire sur un écran ? Découvrez ce cours en livre.

La classe report La classe letter

La classe letter

La classe book Mémento

La classe letter

Nous avons peu parlé de la classe letter, celle-ci peut pourtant s'avérer très utile lors de la rédaction de courriers officiels (ou plus généralement de courriers un peu sérieux). Certains lui préféreront la classe lettre, que je trouve un peu moins élégante.

\documentclass{letter}

\usepackage[utf8]{inputenc}
\usepackage[T1]{fontenc}
\usepackage[francais]{babel}
\usepackage{lmodern}

\signature{M. Laleloulilo (signature)}
\address{Première ligne de l'adresse \\ Deuxième ligne \\ Troisième ligne}
\begin{document}
\begin{letter}{Un destinataire\\Un autre \\ Son copain & son lapin \\ 
ligne d'adresse 1 \\ ligne d'adresse 2 \\ ligne d'adresse 3}
\opening{Formule de politesse d'ouverture,}

Le texte.
 
\closing{Cordialement, (formule de politesse)}
\ps{P.-S. : Votre petit ajout ! :-)}
 
\end{letter}
 
\end{document}
Fatigué(e) de lire sur un écran ? Découvrez ce cours en livre.

La classe book Mémento

Mémento

La classe letter Les essentiels

Nombreux furent les environnements et commandes étudiés tout au long de ce livre. LaTeX en compte au moins cent, voire mille fois plus et pourtant, vous avez déjà du mal à vous souvenir de celles qui ont été vues. De plus, vous n'allez pas vous amuser à relire et à feuilleter les 200 pages d'explications pour retrouver une commande ou une syntaxe.

Pour cette raison, j'ai écrit pour vous cette annexe « Mémento » qui rassemble la majeure partie des commandes vues précédemment ainsi que quelques bonus. Certains éléments ne peuvent que difficilement être résumés sans perdre en précision, dans ce cas un renvoi est fait vers une page de cours.

Les structures des différentes classes de document ne sont pas rappelées ici, elles font l'objet de l'annexe « Gabarits ».

Les essentiels

Mémento La commande \documentclass

Les essentiels

Squelette minimal

Dans le cas d'une publication en français.

\documentclass{report}
\usepackage[utf8x]{inputenc} 
\usepackage[T1]{fontenc}      
\usepackage[francais]{babel} 

\begin{document}
\end{document}
Appel d'un package
\usepackage{nom du package}
Introduction d'un environnement
\begin{nom de l'environnement}
\end{nom de l'environnement}
Inclusion d'un fichier
\input{chemin du fichier}
Fatigué(e) de lire sur un écran ? Découvrez ce cours en livre.

Mémento La commande \documentclass

La commande \documentclass

Les essentiels Les éléments de mise en page

La commande \documentclass

Options applicables à la commande \documentclass

Description

Valeurs applicables

Valeur par défaut

Format du papier

a4paper, a5paper, letterpaper, b5paper

letterpaper

Mode brouillon

draft

Pas en draft par défaut

Taille de la police principale

10pt, 11pt, 12pt

10pt

Alignement des équations

fleqn (à gauche)

centrées par défaut

Colonnes

onecolumn, twocolumn

onecolumn

Première page des chapitres

openany, openright

openright

Recto verso

oneside, twoside

article et report : oneside,
book : twoside

Les références

Les marqueurs sont des éléments invisibles permettant de créer des références (placez d'abord un marqueur avec \label puis faites-y référence ailleurs dans le texte).

\label{historique} % Placer un marqueur nommé "historique".
\ref{historique} % Faire une référence dans un texte.
\pageref{historique} % Faire une référence à la page du marqueur.
Fatigué(e) de lire sur un écran ? Découvrez ce cours en livre.

Les essentiels Les éléments de mise en page

Les éléments de mise en page

La commande \documentclass Les polices

Les éléments de mise en page

Éléments de structure

Commandes des éléments de structure

Partie

\part{nom de la partie}

Chapitre

\chapter{nom du chapitre}

Section

\section{nom de la section}

Sous-section

\subsection{nom de la sous-section}

Sous-sous-section

\subsubsection{nom de la sous-sous-section}

Paragraphe

\paragraph{nom du paragraphe}

Sous-paragraphe

\subparagraph{nom du sous paragraphe}

Page de garde
\title{Le titre}
\author{Prénom \bsc{Nom}}
\date{\today}
\begin{document}
\maketitle
Alignements de texte

Par défaut le texte est justifié. Vous pouvez utiliser :

Sauts
\newline % Changement de ligne.
\\ % Changement de ligne.
 % Changement de page.
\clearpage % Changement de page après gestion des flottants.
\cleardoublepage % Idem, mais redémarre sur une page impaire.
Interlignes

Pour un interligne 1,5 fois plus grand que celui par défaut, utilisez \onehalfspacing dans le préambule ou bien l'environnement onehalfspace.

Pour un interligne 2 fois plus grand que celui par défaut, utilisez \doublespacing dans le préambule ou bien l'environnement doublespace.

Marges
Modification grossière des marges

Exemple avec 3 cm de marge partout :

\usepackage[top=3cm, bottom=3cm, left=3cm, right=3cm]{geometry}
Création d'un layout
\documentclass{article}

\usepackage[latin1]{inputenc}
\usepackage[T1]{fontenc}
\usepackage[francais]{babel}
\usepackage{layout}

\begin{document}

\layout

\end{document}
Modifications fines d'un layout

Les noms des longueurs sont disponibles sur le layout.

\setlength{nom de la longueur}{longueur dans l'unité qui vous plait}
\setlength{\marginparwidth}{2cm}
Listes
Listes à puces
\begin{document}
 
\begin{itemize}

\item Un canard.
\item Un mammouth.
\item Un canard.
\item Un mammouth.
\item Un canard.
\item Un mammouth.
\item[@] Une pintade. % En plaçant un @ entre crochets après \item, j'ai transformé la puce en @.

\end{itemize}
Listes numérotées
\begin{enumerate}

\item Un canard.
\item Un mammouth.
\item Un canard.
\item Un mammouth.
\item Un canard.
\item Un mammouth.
\item Une pintade.

\end{enumerate}
Listes de description
\begin{description}

\item[Un canard :] bestiole qui fait coin.
\item[Un poulpe :] bestiole qui fait bloub.
\item[Un ornithorynque :] bestiole qui fait rire.
\item[Un ours :] bestiole qui fait mal.

\end{description}
Fatigué(e) de lire sur un écran ? Découvrez ce cours en livre.

La commande \documentclass Les polices

Les polices

Les éléments de mise en page Les notes

Les polices

Les tailles

Commande

Taille de texte

iny

Minuscule

\scriptsize

Très très petite

\footnotesize

Très petite

\small

Petite

ormalsize

Normale (définie dans \documentclass)

\large

Légèrement plus grande que la normale

\Large

Grande

\LARGE

Très grande

\huge

Très très grande

\Huge

Énorme !

Les couleurs
\textcolor{couleur}{texte en couleur}

Création de couleur en niveaux de gris :

\definecolor{le nom choisi sans espace}{gray}{le nombre à deux décimales}

Création de couleur via un mélange de rouge, de vert et de bleu :

\definecolor{nom}{rgb}{taux de rouge entre 0 et 1,taux de vert,taux de bleu}
Changement de police ponctuel
{\fontfamily{code_de_la_police}\selectfont mon bout de texte}

Code de la police

Exemple

bch

Image utilisateurImage utilisateur

cmr

Image utilisateurImage utilisateur

lmr

Image utilisateurImage utilisateur

lmss

Image utilisateurImage utilisateur

lmssq

Image utilisateurImage utilisateur

lmtt

Image utilisateurImage utilisateur

pag

Image utilisateurImage utilisateur

pcr

Image utilisateurImage utilisateur

pbk

Image utilisateurImage utilisateur

phv

Image utilisateurImage utilisateur

pnc

Image utilisateurImage utilisateur

ppl

Image utilisateurImage utilisateur

ptm

Image utilisateurImage utilisateur

pzc

Image utilisateurImage utilisateur
Les packs de polices
Les effets

Mise en forme

Modification

Commande

Rendu

Normal

{ ormalfont un lapin}

Image utilisateurImage utilisateur

\begin{rm}un lapin \end{rm}

Image utilisateurImage utilisateur

Gras

extbf{un lapin}

Image utilisateurImage utilisateur

{\bfseries un lapin}

Image utilisateurImage utilisateur

\begin{bf}un lapin \end{bf}

Image utilisateurImage utilisateur

Italique

extit{un lapin}

Image utilisateurImage utilisateur

{\itshape un lapin}

Image utilisateurImage utilisateur

\begin{it}un lapin \end{it}

Image utilisateurImage utilisateur

Penché

extsl{un lapin}

Image utilisateurImage utilisateur

{\slshape un lapin}

Image utilisateurImage utilisateur

\begin{sl}un lapin \end{sl}

Image utilisateurImage utilisateur

Machine à écrire

exttt{un lapin}

Image utilisateurImage utilisateur

{ tfamily un lapin}

Image utilisateurImage utilisateur

\begin{tt}un lapin \end{tt}

Image utilisateurImage utilisateur

Petites majuscules

extsc{un lapin}

Image utilisateurImage utilisateur

{\scshape un lapin}

Image utilisateurImage utilisateur

\begin{sc}un lapin \end{sc}

Image utilisateurImage utilisateur

Exposant
(En mode texte)

Un canard extsuperscript{un lapin}

Image utilisateurImage utilisateur

Encadrer
(Paramétrable)

\fbox{un lapin}

Image utilisateurImage utilisateur

Soulignement
(Package soul)

\ul{un lapin}

Image utilisateurImage utilisateur

Soulignement
(Package ulem)

\uuline{un lapin}

Image utilisateurImage utilisateur

\uwave{un lapin}

Image utilisateurImage utilisateur

Barrer
(Package soul)

\st{un lapin}

Image utilisateurImage utilisateur
Fatigué(e) de lire sur un écran ? Découvrez ce cours en livre.

Les éléments de mise en page Les notes

Les notes

Les polices Les figures

Les notes

Citations simples

L'environnement quote pour des citations courtes et quotation pour des citations de plusieurs lignes.

Citations d'URL :

\url{adresse}
La commande \fbox
% Commande permettant de définir l'écart.
\setlength{\fboxsep}{8mm}
% Commande permettant de définir l'épaisseur du trait.
\setlength{\fboxrule}{2mm}
\fbox{Un lapin}
Création de minipage
\begin{minipage}[c]{5cm}
Un petit paragraphe.
\end{minipage}
Fatigué(e) de lire sur un écran ? Découvrez ce cours en livre.

Les polices Les figures

Les figures

Les notes Les tableaux

Les figures

Insertion simple
\includegraphics{chemin de l'image}
\includegraphics[width=300]{chemin de l'image}
\includegraphics[height=250]{chemin de l'image}
\includegraphics[height=250, width=300]{chemin de l'image} 
\includegraphics[scale=1.2]{chemin de l'image}
Rotation
\includegraphics[angle=52]{chemin de l'image}
Inclusion dans un paragraphe
\begin{wrapfigure}[nombre de lignes]{placement}{largeur de l'image en cm}
\includegraphics[width=largeur en cm]{chemin de l'image}
\end{wrapfigure}
Votre paragraphe, sans saut de ligne entre \end et le paragraphe.
Découpage d'une image
\includegraphics*[abscisse du coin inférieur gauche,ordonnée du coin inférieur gauche][abscisse du coin supérieur droit,ordonnée du coin supérieur droit du rectangle]{chemin de l'image}
Image flottante
\begin{figure}
\begin{center}
\includegraphics{chemin de l'image} 
\end{center}
\caption{Légende}
\label{Référence}
\end{figure}

ou

\begin{figure}
\center
\includegraphics{chemin de l'image} 
\caption{Légende}
\label{Référence}
\end{figure}
Fatigué(e) de lire sur un écran ? Découvrez ce cours en livre.

Les notes Les tableaux

Les tableaux

Les figures Les mathématiques

Les tableaux

Structure type
\begin{table}
\begin{center}
\begin{tabular}{|c|c|}
\hline
1 & 2 \\
\hline
3 & 4 \\
\hline
\end{tabular}
\end{center}
\caption{votre légende}
\label{votre référence}
\end{table}
Fusion de lignes
\multirow{nombre de lignes fusionnées}{taille de la colonne en cm}{votre texte}
\multirow{nombre de lignes fusionnées}*{votre texte}
Fusion de colonnes
\multicolumn{nbre de col fusionnées}{c, l ou r }{le texte}
Coloration de cellules

Utilisable avec les couleurs personnalisées.

Fatigué(e) de lire sur un écran ? Découvrez ce cours en livre.

Les figures Les mathématiques

Les mathématiques

Les tableaux Les tables

Les mathématiques

Les formules simples
Fraction
\[\frac{numérateur}{dénominateur}\]
Fractions en cascade
\[\cfrac{num1}{den1 + \cfrac{num2}{den2}}\]
Racine
\[\sqrt[15]{nombre}\]
Limite
\[\lim_{nbr1 \to nbr2} x+42\]
Exposant
\[nombre^{exposant}\]
Indice
\[nombre_{indice}\]
Intégrales simples
\[\int {contenu}\]
\[\int_{borne inférieure}^{borne supérieure} {contenu}\]
\[\int \limits_{borne inférieure}^{borne supérieure} {contenu}\]

Pour faire des intégrales doubles ou triples, utilisez respectivement les commandes \iint et \iiint. Vous pouvez mettre plusieurs \int à la suite, mais mathématiquement cela ne représente pas la même chose.

Intégrale sur une courbe fermée
\[\oint {contenu}\]
Symbole de la somme
\[\sum_{en dessous}^{au dessus} contenu\]
Symbole du produit
\[\prod_{en dessous}^{au dessus} contenu\]
Les systèmes d'équation
\begin{align}
y &=& x - y + z\\
x &=& y\\
z &=& y
\end{align}

\begin{align*} % Sans numérotation.
y &=& x - y + z\\
x &=& y\\
z &=& y
\end{align*}

\begin{align}
y &=& x - y + z\\
x &=& y\\
z &=& y
\end{align}
Les matrices
Utilisation classique
\[
\begin{matrix}
   1 & 2 & 3 \\
   4 & 5 & 6 \\
   7 & 8 & 9 
\end{matrix}
\]

Il est aussi possible d'utiliser les environnements pmatrix, vmatrix, Vmatrix, bmatrix et Bmatrix selon le type de délimiteur souhaité.

La commande \phantom
\[ 
\begin{matrix}
   \phantom{9}1 & 12345 & \phantom{-}3 \\
   94 & \phantom{1234}5 & -6 \\
   \phantom{9}7 & \phantom{1234}8 & \phantom{-}9 
\end{matrix}
\]
Les théorèmes, lemmes, etc.

Dans le préambule :

\newtheorem*{petit_nom}{Réciproque} 
\newtheorem{petit_nom1}{Définition}    
\newtheorem{petit_nom2}{Proposition}[chapter] 
\newtheorem{petit_nom3}{Corollaire}[section]

Ensuite chaque nouvel environnement défini est utilisé :

\begin{petit_nom}
\end{petit_nom}

ou

\begin{petit_nom}[de quelque chose]
\end{petit_nom}
Les espaces

Espace

Code

négative

\!

fine

\,

normale

\ suivi d'une espace

moyenne

\;

large

\:

cadratin

\quad

double cadratin

\qquad

Fatigué(e) de lire sur un écran ? Découvrez ce cours en livre.

Les tableaux Les tables

Les tables

Les mathématiques Index

Les tables

\tableofcontents % Table des matières.
\listoffigures % Table des figures.
\listoftables % Liste des tableaux.
Fatigué(e) de lire sur un écran ? Découvrez ce cours en livre.

Les mathématiques Index

Index

Les tables Bibliographie

Index

Il faut insérer la commande \makeindex dans le préambule ainsi que \printindex à l'endroit où vous souhaitez mettre en page votre index.

\index{mot} % ajoute l'entrée « mot »
\index{pate@pâté} % « pâté » correctement placé alphabétiquement
\index{mot|see{lapin}} % « mot, voir lapin »
Fatigué(e) de lire sur un écran ? Découvrez ce cours en livre.

Les tables Bibliographie

Bibliographie

Index Aller plus loin

Bibliographie

Base de données
@type_d'œuvre{référence_courte,
Titre_du_champ1={texte de votre choix},
Titre_du_champ2={texte de votre choix},
Titre_du_champ3={texte de votre choix},
Titre_du_champ4={texte de votre choix},
}

Types d'œuvres

Type d'œuvre

Correspondance

Champs disponibles

@article

Article

author,
journal,
title,
year,
month,
pages,
notes

@book

Livre

author,
title,
publisher,
year

@manual

Document technique

title,
author,
year,
organization

@misc

Divers

author,
title,
month,
year,
note

@phdthesis

Thèse de docotorat

title,
author,
school,
year

@unpublished

Manuscrit non publié

author,
title,
note,
year,
month

Champs

Champs

Correspondance

author

Auteur

journal

Journal

month

Mois de publication, au choix (jan, feb, mar, apr…)

note

Notes complémentaires

organization

Société ou organisation

pages

Pages concernées

publisher

Éditeur

year

Année de publication

Insertion de la bibliographie
\bibliographystyle{} % Le style
\bibliography{fichier sans extension} % Le fichier de base de données.
Fatigué(e) de lire sur un écran ? Découvrez ce cours en livre.

Index Aller plus loin

Aller plus loin

Bibliographie Typographie et encodage

Avant de vous quitter, j'ai souhaité mettre à votre disposition une annexe d'ouverture, une sorte de conclusion vous permettant de poursuivre votre apprentissage de LaTeX facilement et ce, sans dépenser un sou de plus.

L'idée ici est de vous orienter vers différentes pistes et de vous présenter des idées et points de vue qui vous permettront de vous perfectionner dans la pratique de LaTeX.

Typographie et encodage

Aller plus loin Les cours d'approfondissement

Typographie et encodage

Latin-1 et UTF-8

Un débat a fait rage à diverses étapes de la composition de ce livre : quel encodage de caractères vous apprendre à utiliser ? UTF-8 ou Latin-1 ? Comment vous transmettre les bonnes pratiques sans pour autant vous rendre la vie impossible ? Telles étaient les questions, je vais ici y répondre.

D'abord, si vous étiez endormi à la lecture du passage concerné, sachez que l'encodage est, grossièrement, le nom donné au processus qui transforme vos caractères en code informatique. Plusieurs processus ont en effet été développés, et le standard actuel est l'UTF-8 car il gère très bien plusieurs dizaines de langues ainsi que des centaines de caractères spéciaux.

Vous en déduirez que le Latin-1 a des lacunes dans ces domaines (Comme vous avez pu le lire dans le TP 1, il n'y a pas besoin de remplacer le caractère œ par une commande en Latin-1.) et commencerez doucement à vous demander pourquoi je l'ai recommandé aux utilisateurs de Windows et de Mac.

La raison est simple : généralement, les utilisateurs de Mac et de Windows échangent des foules de fichiers et Windows a encore beaucoup de mal avec l'UTF-8. La probabilité est donc extrêmement forte que vous ayez à travailler avec des personnes utilisant encore le Latin-1, même si c'est mal.

Je suis sous Windows et une personne me communique un document en UTF-8 à modifier, que faire ?

Tout simplement télécharger la version 2 de TeXnicCenter, qui fonctionne très bien, même si elle n'est pas encore totalement stable. Une fois qu'il sera en version finale, ce programme comblera le retard pris par Windows et permettra à tous les utilisateurs de LaTeX de travailler en UTF-8. Bien sûr, cela prendra du temps, beaucoup de temps…

Si vous voulez le tester, cliquez ici.

L'intégriste est partout

Vous aimez les débats qui tachent, le sang qui coule, et comprendre les luttes mesquines entre pro et anti eqnarray vous intéresse ? J'ai sélectionné pour vous un document qui liste les méfaits de cet environnement ainsi que de nombreux autres. Il s'agit d'un texte à lire pour se sentir malin dans un cadre scientifique et ne pas se faire avoir en produisant ses premiers écrits sérieux. Ce document explique aussi pourquoi « $$ » n'est plus beaucoup employé pour écrire des expressions scientifiques.

De l'art de la présentation

Continuons dans l'ouverture : je vous propose ici deux manuscrits de typographie (celui-ci et celui-là) qui vous permettront, l'un comme l'autre, de comprendre quelles sont les choses à faire (et à ne surtout pas faire) pour préserver notre langue et être crédible typographiquement face à des magazines ou un lectorat très rigoureux sur l'écriture et le respect des conventions.

Fatigué(e) de lire sur un écran ? Découvrez ce cours en livre.

Aller plus loin Les cours d'approfondissement

Les cours d'approfondissement

Typographie et encodage Les incontournables

Les cours d'approfondissement

Voici une petite sélection de divers cours à lire si vous voulez approfondir vos connaissances. À votre niveau actuel, aucun ne présente de difficulté particulière (LaTeX utilise toujours les mêmes notions de commandes, d'environnements et de packages ; il n'y a pas grand-chose à apprendre de plus. Si vous aimez le challenge, vous pouvez tenter de créer vos propres commandes et packages.). Dans l'ordre des codes web, je vous ai mis :

  1. un exemple de cours sous forme de code commenté ;

  2. le tutoriel de formation à LATEX de l'ENS (un bon niveau général est requis) ;

  3. le Framabook Tout ce que vous avez toujours voulu savoir sur LATEX sans jamais oser le demander ;

  4. le Wikibooks en français, très bien construit, traitant de LaTeX. Il donne des exemples intéressants d'utilisation du langage en chimie ;

  5. le Wikibooks en anglais, un peu plus fourni ;

  6. le cours de Ukonline, très répandu chez les débutants ;

  7. une courte introduction à LaTeX, véritable perle de pédagogie.

Fatigué(e) de lire sur un écran ? Découvrez ce cours en livre.

Typographie et encodage Les incontournables

Les incontournables

Les cours d'approfondissement Beamer

Les incontournables

Quatre outils fort utiles :

  1. Le conjugueur, véritable Bescherelle informatique ;

  2. un aide-mémoire supplémentaire ;

  3. une table listant pratiquement tous les caractères spéciaux ;

  4. le guide "Détecter et résoudre les problèmes", outil salvateur lorsqu'une erreur de compilation inconnue fait surface.

Fatigué(e) de lire sur un écran ? Découvrez ce cours en livre.

Les cours d'approfondissement Beamer

Beamer

Les incontournables Les interfaces graphiques alternatives

Beamer

Si vous avez eu le courage de pratiquer, la classe de documents beamer vous tend les bras. Cette classe est conçue pour produire des diapositives et se présente comme un concurrent très sérieux de PowerPoint dans la sphère scientifique.

  1. La page Beamer sur Wikipedia.

  2. Introduction à Beamer sous Linux.

  3. Cours plus complet en anglais.

Fatigué(e) de lire sur un écran ? Découvrez ce cours en livre.

Les incontournables Les interfaces graphiques alternatives

Les interfaces graphiques alternatives

Beamer

Les interfaces graphiques alternatives

Si vous êtes lassé de Kile, de TeXnicCenter ou de TeXShop, prenez le temps de tester les trois logiciels présentés ci-dessous.

  1. L'éditeur LaTeX en ligne de Google.

  2. Lyx, le presque traitement de texte en LaTeX.

  3. Emacs, la console par excellence.

Au plaisir de vous lire un jour prochain, car il ne faut pas l'oublier, LaTeX n'est qu'un écrin pour vos créations.

Ce tutoriel comportera 3 grandes parties et sera écrit en partie au sein de L'IMB (institut de mathématique de Bordeaux) situé à l'intérieur de l'université de Bordeaux 1. Cette fac a la spécificité d'être depuis quelques années classée par l'université de Shanghai comme faisant partie de ce qui se fait de mieux dans le domaine informatique (elle a atteint le 8ème rang mondial).

Je garderai un pc sous la main pour vous parler via twitter (@laleloulilo), alors n'hésitez pas, vos remarques seront le plus possible prises en compte.

En plus, écrire en papotant, c'est plus agréable. ^^

Fatigué(e) de lire sur un écran ? Découvrez ce cours en livre.

Beamer