Version en ligne

Tutoriel : Développez vos applications 3D avec OpenGL 3.3

Table des matières

Développez vos applications 3D avec OpenGL 3.3
Introduction
Qu'est-ce qu'OpenGL ?
Installer les différents outils
Différences entre OpenGL 2.1 et 3.3
Créer une fenêtre avec la SDL 2.0
Préparation de l'IDE
Premier programme
Les paramètres OpenGL
Premier affichage
Le fonctionnement d'OpenGL
Afficher un triangle
La classe SceneOpenGL
Introduction aux shaders
Qu'est-ce qu'un Shader ?
Utilisation des shaders
Un peu de couleurs
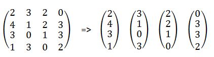
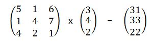
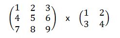
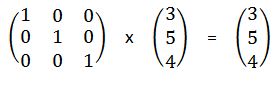
Les matrices
Introduction
Partie théorique
Transformations au niveau matricielle
Transformations au niveau géométrique
La troisième dimension (Partie 1/2)
La matrice de projection
Utilisation de la projection
Exemples de transformations
La troisième dimension (Partie 2/2)
La caméra
Affichage d'un Cube
La classe Cube
Le Frame Rate
Push et Pop
La problématique
Sauvegarde et Restauration
Les évènements avec la SDL 2.0
Différences entre la SDL 1.2 et 2.0
La classe Input
Les méthodes indispensables
Les textures
Introduction
Chargement
Plaquage
Améliorations
Aller plus loin
La caméra
Fonctionnement
Implémentation de la caméra
Fixer un point
Améliorations
TP : Une relique retrouvée
Les consignes
Correction
Les Vertex Buffer Objects
C'est quoi un VBO ?
Création
Utilisation
Mise à jour des données
Un autre exemple
Les Vertex Array Objects
Encore un objet OpenGL ?
Création et Utilisation
Un autre exemple
OpenGL 3.3 et Mac OS X
La compilation de shaders
Piqûre de rappel
Compilation des sources
Création du programme
Utilisation et améliorations
OpenGL Shading Language
Un peu d'histoire
Les variables
Les structures de contrôle
Fonctions prédéfinies
Les shaders démystifiés (Partie 1/2)
Préparation
Premier shader
Gestion de la couleur
Les shaders démystifiés (Partie 2/2)
Les variables uniform
Gestion de la 3D
Gestion des textures
Bonnes pratiques
Les Frame Buffer Objects
Qu'est-ce qu'un FBO ?
Le Color Buffer
Les Render Buffers
Le Frame Buffer
Utilisation
Améliorations simples
Gérer plusieurs Color Buffers

Développez vos applications 3D avec OpenGL 3.3

Salut à tous les Zéros, :magicien:

Vous souhaitez réaliser un jeu-vidéo, mais vous ne savez pas par où commencer ? Eh bien bonne nouvelle, vous êtes au bon endroit. Nous allons apprendre à utiliser une librairie graphique puissante : OpenGL (version 3.3). Nous découvrirons ensemble les bases essentielles de la programmation 3D qui pourront vous servir plus tard dans un projet de jeu multi-plateforme.

Sachez qu'avant d'aller plus loin, il vous faut un PC soit sous Windows soit sous une distribution UNIX/Linux. Pour les utilisateurs de Mac, c'est un peu spécial, mais pour continuer il vous faudra au moins avoir le système d'exploitation OS X Lion (10.7) d'installé. Si vous possédez un de ces trois OS, il vous faudra aussi une carte graphique compatible avec l'API OpenGL 3.3. Les plus anciennes cartes compatibles sont les GeForce de la série 8000 chez NVidia et les Radeon HD chez ATI. Si vous possédez une carte inférieure à celles-ci, vous pouvez toujours suivre le tutoriel de Kayl sur OpenGL 2.1 ici :

Un grand merci à Coyote pour ses corrections qui ne doit pas s'ennuyer chaque fois que je lui envoie un énorme pavé à lire. :lol:

Introduction

Qu'est-ce qu'OpenGL ?

Dans ce chapitre introductif, je vais vous parler rapidement d'OpenGL, de ses atouts et de l'installation des différents outils que nous utiliserons tout au long de ce tutoriel.

Qu'est-ce qu'OpenGL ?

Introduction Installer les différents outils

OpenGL est une librairie exploitant la carte graphique d'un ordinateur permettant ainsi aux développeurs de programmer des applications 2D et 3D. Cela permet en autres de développer des jeux-vidéo. L'avantage principal d'OpenGL est qu'il est multi-plateforme, c'est-à-dire qu'un programme codé avec OpenGL sera compatible avec Windows, Linux et Mac, sous réserve que la gestion de la fenêtre et des inputs soient également multi-plateforme (comme la SDL ;) ). Nous utiliserons une version récente d'OpenGL qui est la version 3.3 (sortie le 11 mars 2010). Cependant, nous n'utiliserons que la 3.1 pour la première partie du tuto, vous verrez pourquoi au fur et à mesure.

Actuellement, deux API existent pour exploiter notre matériel graphique : DirectX (uniquement utilisable sous Windows) et OpenGL (multi-plateforme). Vous l'aurez compris, OpenGL est dans un sens plus intéressant du fait de sa portabilité.

Image utilisateur

(Screenshot issu du jeu "Minecraft" proposant un affichage OpenGL)

Un des autres avantages d'OpenGL est que son utilisation est totalement gratuite, vous pouvez très bien coder des programmes gratuits voire commerciaux sans rendre de compte à personne. Vous pouvez aussi fournir votre code source pour en faire profiter la communauté ;) .

En plus d'être gratuite, cette librairie met à disposition son propre code source. Chacun d'entre nous peut aller voir le code source d'OpenGL librement; et c'est d'ailleurs ce que nous allons faire pour comprendre le fonctionnement de certaines fonctions ^^ .

Dans l'introduction du tutoriel, je vous ai parlé du langage C++. Ce langage de programmation est le langage le plus utilisé dans le monde du jeu vidéo et c'est pour cette raison que nous allons l'utiliser.

Le but de ce tutoriel est de vous apprendre les bases de la programmation d'un jeu vidéo. Et qui dit jeu vidéo, dit aussi ... mathématiques ! Alors oui je comprends que certains maudissent les maths au plus haut point à cause des mauvaises notes à l'école ou de son incompréhensible logique :colere2: . Mais si vous souhaitez vraiment développer un jeu vous ne passerez pas à coté.

N'ayez cependant pas peur des maths, il n'y a rien de compliqué dans ce que nous allons voir. Il suffit d'apprendre par cœur. Et si vous avez un trou de mémoire, vous pourrez toujours revenir voir les formules sur le site du zéro. Pas de contrôle non plus, donc pas de pression. La plupart des notions sont déjà expliquées dans les tutos du SdZ. Nous aborderons pas mal de domaines comme les vecteurs, les matrices, les quaternions, la trigonométrie, ... Que du bon en somme !

Bien, j'espère que la pilule est passée. :p

Que faut-il télécharger ?

Ah bonne question. Tout d'abord, comme dit dans l'introduction, il vous faut une carte graphique compatible avec OpenGL 3.x, soit au minimum les GeForce 8000 chez NVidia et les Radeon HD chez ATI. Ensuite, il faut mettre à jour vos drivers pour être sûr de ne pas avoir de problèmes plus tard.

Deuxièmement, il vous faut la librairie SDL installée. M@teo explique comment installer cette librairie dans son tuto, cependant la version donnée est incompatible avec la version d'OpenGL que nous allons utiliser. Il faudra donc passer par une autre version.


Introduction Installer les différents outils

Installer les différents outils

Qu'est-ce qu'OpenGL ? Différences entre OpenGL 2.1 et 3.3

Image utilisateur

Bien, passons à l'installation :) et commençons par la SDL :

Pourquoi a-t-on besoin de la SDL me direz-vous ?

La raison est simple : OpenGL a besoin d'un contexte d'exécution dans lequel travailler, il faut d'abord créer ce contexte avant de pouvoir créer notre monde 3D. De plus, OpenGL ne sait pas gérer les inputs (clavier, souris, ...), il nous faut donc une librairie capable de savoir ce que fait l'utilisateur. Heureusement pour nous, la librairie SDL (que vous devez déjà connaitre ;) ) sait créer un contexte OpenGL et gérer les évènements. En combinant la SDL et OpenGL nous nous retrouvons avec un monde 3D interactif.

Il y a d'autres librairies capables de remplir ce rôle mais l'avantage de la SDL est qu'elle est, elle-aussi, multi-plateformes. Les programmes codés avec ces deux librairies fonctionneront aussi bien sous Linux que sous Windows (ainsi que toutes les plates-formes gérant les deux librairies).

Actuellement, la version la plus stable de la SDL est la version 1.2.x mais depuis quelques temps la compatibilité de la SDL tend à s'étendre sur toutes les plateformes : sur iPhone, Androïd, et même sur PS3 ! Cette nouvelle version de la SDL est pour le moment la version 2.0. Elle est encore en développement et n'est pas stable à 100% mais elle le sera dans l'avenir. D'ailleurs, elle n'est pas disponible officiellement, notre principal problème va être de devoir la compiler par nous-même afin de pouvoir l'utiliser. ;)

Hein ?! Compiler la SDL ! Ça va pas, je sais pas faire ça moi !

Ne vous inquiétez pas ça va être très facile, les développeurs de la SDL sont intelligents, il nous suffit d'exécuter quelques commandes dans le terminal et hop on a la librairie compilée. ;)

Mais avant cela pour les utilisateurs de Windows : vérifiez bien que les drivers de votre carte graphique sont à jour. Pour le reste, je vais vous fournir directement les fichiers compilés à inclure dans le répertoire de votre IDE, pourvu qu'il soit équipé du compilateur MinGW. Pour les utilisateurs de Visual C++, vous devrez compiler la librairie SDL et télécharger la librairie GLEW.

Pour les utilisateurs de Linux, vérifiez également que les drivers de votre carte graphique (Pilotes Propriétaires) sont à jour.

Pour Mac OS X, ça va être un peu spécial. Dans un premier temps, il vous faut être obligatoirement sous OS X 10.7 Lion ou plus. Cependant, pour utiliser OpenGL chez vous il faudra utiliser des notions assez complexes que l'on ne verra que dans la deuxième partie du tuto. Je vous conseille donc d'utiliser une version libre de Linux (comme Ubuntu) ou Windows si vous avez bootcamp pour suivre ce début de tutoriel. Un aparté est prévu pour vous quand nous aurons appris tout ce qui est nécessaire pour coder sous Mac.

Pour en revenir à Windows, si vous êtes utilisateur de Visual C++ vous devriez compiler la librairie vous-même, je vous donne le lien pour que le faisiez sans problème. Vous devrez aussi télécharger la librairie GLEW.

Télécharger : Librairie SDL 2.0 + GLEW + GLM - Pour Windows MinGW

Télécharger : Code Source SDL 2.0 + GLM - Pour UNIX/Linux et Visual C++

Télécharger : Code Source GLEW - Pour Visual C++

Télécharger : Code Source GLM - Pour Visual C++

Pour MinGW sous Windows : dézippez l'archive et placez le dossier "SDL-2.0" dans le répertoire de MinGW. Si vous utilisez CodeBlocks, ce répertoire se trouve probablement dans C:\Program Files (x86)\CodeBlocks\MinGW. Attention cependant, placez bien le dossier "SDL-2.0" et pas ceux qui se trouvent à l'intérieur. Les dossiers "dll", "bin", "include" et "lib" doivent rester à l'intérieur.

Pour les linuxiens, téléchargez l'archive contenant le code source de la SDL et dézippez son contenu dans votre home (Exemple : /home/Boouh). Ensuite, ouvrez votre terminal et exécutez les commandes suivantes. Elle vont vous permettre de compiler puis d'installer la SDL :

sudo apt-get install libgl1-mesa-dev build-essential


cd
cd SDL-2.0/SDL-2.0.0-6713/


chmod +x configure
sudo ./configure
make
sudo make install


sudo ln -s /usr/local/bin/sdl2-config /usr/bin/sdl2-config
cd ..
sudo cp -r GL3/ /usr/local/include/
sudo cp -r glm/ /usr/local/include/
sudo chmod -R 715 /usr/local/include/GL3/

Grâce à ces commandes, vous avez maintenant la librairie SDL 2.0 installée sur votre ordinateur. ;)

Différences entre Windows et Linux

Dans l'archive pour Windows, j'ai inclus les fichiers compilés de la librairie GLEW. Pour ceux qui ne connaissent pas, GLEW est une librairie permettant de charger des extensions pour OpenGL (un peu comme les extensions des jeux Sims). Cette librairie est à l'origine utilisée sur Windows ET sur Linux. Mais avec la version 3.0 d'OpenGL, une grande partie des extensions de la version précédente sont devenues officielles et sont donc déjà inclues avec la version de "base".

Cependant, cette officialisation ne s'est pas faite sous Windows, il faudra donc toujours utiliser GLEW sous Windows. Nous verrons cela en détails un peu plus tard.

Pour les linuxiens, vous trouverez dans votre archive l'include "gl3.h" qui vient remplacer "gl.h". Vous utiliserez donc ce nouvel include (et non glew.h) pour les futurs chapitres.


Qu'est-ce qu'OpenGL ? Différences entre OpenGL 2.1 et 3.3

Différences entre OpenGL 2.1 et 3.3

Installer les différents outils Créer une fenêtre avec la SDL 2.0

Alors là, je conseille à ceux qui connaissent OpenGL 2.1 de bien s'assoir au risque de tomber dans les pommes :-° . Cette partie ne concerne pas uniquement ceux qui ont déjà codé avec OpenGL, vous ne comprendrez pas tout mais ça vous concerne aussi.

Tout d'abord, ce qu'il faut savoir c'est qu'avec la version 3, une grande partie des fonctions ont été marquées comme dépréciées. C'est-à-dire que le programmeur était fortement invité à ne plus les utiliser. Un peu plus tard, avec la version 3.1, le groupe Khronos a finalement décidé de supprimer ces fonctions dépréciées afin que les développeurs ne soient plus tentés de les utiliser.

Pourquoi a-t-on supprimé des fonctions me direz-vous ? Et bien tout simplement parce qu'elles ne sont plus adaptées aux jeux de nos jours. Soit elles ne sont plus utilisées, soit elles sont trop lentes. Imaginez une course de voitures avec des voitures qui vont à 30km/h ... Passionnant !

Ok des fonctions ont été supprimées, mais je ne vois pas ce qui peut me faire tomber dans les pommes. :p

Détrompez-vous, car certaines de ces fonctions étaient très utilisées avant.

Je vais prendre un exemple : glVertex(...)

Cette fonction permet avec OpenGL 2.1 de définir la position d'un point dans un espace 3D. Nous de notre coté, nous spécifions la position du point dans l'espace et la carte graphique s'occupait du reste. C'est-à-dire qu'elle multipliait les coordonnées du point par la matrice "modelView" puis par la matrice de projection, puis elle définissait sa couleur, etc ...

Maintenant c'est NOUS qui allons devoir faire TOUTES ces opérations.

QUOI ??!! Mais c'est nul ! On se retrouve avec quelque chose de plus compliqué maintenant. :(

Non c'est très bien au contraire puisqu'on se débarrasse d'une fonction lente, puis surtout, ça nous permet de faire ce que l'on veut. Pour reprendre l'exemple de la course, sans ces fonctions nous pourrons "tuner" notre voiture comme nous le voulons. Elle sera plus rapide, plus maniable et on se débarrassera de tout ce qui nous ralentit. Toutes les fonctions telles que glVertex, glColor, glLightv ... sont désormais inutilisables (et c'est tant mieux).

Ah oui, j'allais oublier, vous connaissez les matrices de projection et tout le reste ? Et bien comme vous le pensez (même si vous espérez vous tromper), ces matrices sont supprimées elles-aussi. Nous devrons donc créer notre propre matrice de projection, modelview, ...

La suppression des matrices entraine également la suppression des fonctions gluPerspective et gluLookAt. Heureusement pour nous, il existe une librairie parallèle à OpenGL qui s'appelle GLM (pour OpenGLMathematics). Cette librairie permet de faire pas mal de calculs mathématiques et permet surtout d'utiliser les matrices sans avoir à tout coder nous-même. Elle est incluse dans le téléchargement que vous avais fait juste avant. ;)

Vous vous dites peut-être que toutes ces suppressions sont injustes, tout est fait pour vous décourager. Eh bien non, ces suppressions ne peuvent être que positives car elles nous obligent à personnaliser complétement notre programme, nous pourrons donc mieux exploiter notre matériel et créer des jeux plus puissants.

Vous savez désormais ce qu'est OpenGL et avec quels outils nous allons travailler. J'expliquerai plus en détails le fonctionnement d'OpenGL dans une autre partie. Dans le chapitre suivant, nous allons écrire nos premières lignes de code, mais attention la 3D ce sera pour un peu plus tard. ;)


Installer les différents outils Créer une fenêtre avec la SDL 2.0

Créer une fenêtre avec la SDL 2.0

Différences entre OpenGL 2.1 et 3.3 Préparation de l'IDE

Dans ce chapitre nous allons créer une fenêtre avec la librairie SDL. Pour ceux qui connaissent la SDL avec le tuto de M@teo, vous pourrez comparer les deux versions. ;)

Préparation de l'IDE

Créer une fenêtre avec la SDL 2.0 Premier programme

Pour coder à travers ce tutoriel, je vous recommande d'utiliser l'IDE Code::Blocks qui est un outil très utilisé sur le site du Zéro. :) Vous pourrez donc trouver plus facilement de l'aide en cas de problème. Pour ceux qui souhaitent l'utiliser, voici un lien pour le télécharger (Windows uniquement). Il existe deux versions de cet IDE, vous pouvez choisir celle que vous voulez, les projets donnés devraient fonctionner sur les deux sans problème.

Télécharger : Code::Blocks 12.11 (Windows uniquement)

Pour les linuxiens :

sudo apt-get install codeblocks

D'ailleurs, si vous utilisez cet IDE je vais pouvoir vous fournir directement le template nécessaire pour créer un projet SDL 2.0. Ce template vous permettra de linker les librairies automatiquement sans que vous ayez à faire des manips compliquées. ;)

Télécharger : Template SDL 2.0 Code::Blocks 10.05 et 12.11 - Windows et Linux

Pour Windows, dézippez l'archive et fusionnez le dossier "share" de l'archive avec le dossier "share" de Code::Blocks (chez moi : C:\Program Files (x86)\CodeBlocks\share).

Pour Linux, dézippez l'archive où vous voulez puis exécutez les commandes suivantes (pas dans le dossier "share" mais dans celui qui le contient) :

sudo cp -r share/CodeBlocks/* /usr/share/codeblocks/
sudo chmod -R 715 /usr/share/codeblocks/templates/wizard/sdl2/
sudo chmod 715 /usr/share/codeblocks/templates/wizard/config.script

Nous pouvons maintenant créer notre premier programme en SDL 2.0. :D

Pour cela, il faut d'abord créer un projet SDL 2.0 et non pas OpenGL, ne vous trompez pas ! Sous Code::Blocks la procédure est la suivante :

. File -> New -> Project -> SDL 2.0 project

Vous vous souvenez du dossier "SDL-2.0" du chapitre précédent ? Si vous ne l'avez pas encore installé au bon endroit faites-le maintenant :) (reportez-vous au chapitre précédent).

Occupons-nous maintenant du linkage d'OpenGL, il faut dire à notre IDE que nous souhaitons utiliser cette librairie sinon il va nous mettre plein d'erreurs au moment de la compilation. Voici la procédure à effectuer sous Code::Blocks :

. Project -> Build options -> Linker settings -> Add

Un petit encadré vous demande quelle librairie vous souhaitez linker, cela dépend de votre système d'exploitation. Vous ne pouvez renseigner qu'une seule librairie par encadré. Ré-appuyez sur le bouton Add pour en ajouter une nouvelle.

IDE

Option

Code::Blocks Windows

opengl32
glew32

Code::Blocks Linux

GL

DevC++

-lopengl32
-lglew32

Visual Studio

opengl32.lib
glew32.lib

Selon votre OS, il suffit d'ajouter le ou les mot-clef(s) dans le petit encadré.

Pour les utilisateurs de CodeBlocks sous Windows et uniquement sous Windows, Code::Blocks va certainement vous demander où se trouve la SDL avec cette popup :

Image utilisateur

Dans le champ base qui vous est proposé, renseignez le chemin vers le répertoire "SDL-2.0" que vous avez installé précédemment (chez moi : C:\Program Files (x86)\CodeBlocks\MinGW\SDL-2.0). Ne renseignez aucun autre champ et ça devrait être bon. Une popup vous indiquera surement un message du genre "Please select a valid location", mais ce sera une fausse alerte ne vous en faites pas, appuyez sur le bouton next. ;)

En parlant de ce dossier, si vous avez jeté un coup d’œil à l'intérieur vous vous apercevrez qu'il y a un sous-dossier nommé "dll". Ce dossier contient les fichiers SDL2.dll et glew32.dll, ils sont indispensables pour lancer vos futurs programmes.

Vous avez deux solutions pour les utiliser : soit vous les incluez dans le dossier de chaque projet, soit vous les copier dans le dossier "bin" du compilateur MinGW (chez moi : C:\Program Files (x86)\CodeBlocks\MinGW\bin). La première solution est la plus propre mais aussi la plus contraignante, faites comme bon vous semble mais il faut que vous utilisiez au moins une de ces techniques pour lancer vos programmes. ;)

Pour ceux qui utilisent d'autres IDE comme Visual C++ ou Eclipse vous allez devoir renseigner d'autres librairies car je n'ai pas de template tout fait à vous proposer. Il faudra que vous renseigneriez les dossiers où se trouvent les librairies et les includes. De plus, vous devrez linker manuellement deux librairies supplémentaires :

Link

SDL2main

SDL2


Créer une fenêtre avec la SDL 2.0 Premier programme

Premier programme

Préparation de l'IDE Les paramètres OpenGL

Nous avons tous les outils, ceux-ci sont tous configurés. Bien, commençons. :magicien:

Voici un code de base permettant de créer une fenêtre avec la SDL 1.2 :

#include <SDL/SDL.h>
#include <iostream>


int main(int argc, char **argv)
{
   // Notre fenêtre et le clavier

   SDL_Surface *fenetre(0);
   SDL_Event evenements = {0};
   bool terminer(false);


   // Initialisation de la SDL

   if(SDL_Init(SDL_INIT_VIDEO) < 0)
   {
       std::cout << "Erreur lors de l'initialisation de la SDL : " << SDL_GetError() << std::endl;
       SDL_Quit();
               
       return -1;
   }
        

   // Création de la fenêtre

   fenetre = SDL_SetVideoMode(800, 600, 32, SDL_HWSURFACE); 


   // Boucle principale

   while(!terminer)
   {
        SDL_WaitEvent(&evenements);

        if(evenements.type == SDL_QUIT)
            terminer = true;
   }

	
   // On quitte la SDL

   SDL_Quit();

   return 0;
}

Facile non ? Et bien maintenant, je vais vous demander d'oublier la moitié de ce code. :D

Quoi ? C'est si différent que ça ?

Oui en effet, car souvenez-vous que nous travaillons avec la version 2.0. Et vu que l'on passe d'une version 1.x à une version 2.0, le code change beaucoup.

Commençons à coder avec la SDL 2.0 pour se mettre l'eau à la bouche :

#include <SDL2/SDL.h>
#include <iostream>


int main(int argc, char **argv)
{    
    // Initialisation de la SDL

    if(SDL_Init(SDL_INIT_VIDEO) < 0)
    {
        std::cout << "Erreur lors de l'initialisation de la SDL : " << SDL_GetError() << std::endl;
        SDL_Quit();
               
        return -1;
    }


    // On quitte la SDL

    SDL_Quit();

    return 0;
}

Bon jusqu'ici, pas de grand changement. Mis à part l'inclusion de la SDL qui passe de "SDL/SDL.h" à "SDL2/SDL.h". En même temps on ne peut pas changer grand chose. :p

Voici le nouveau code qui permet de créer une fenêtre :

#include <SDL2/SDL.h>
#include <iostream>


int main(int argc, char **argv)
{	
    // Notre fenêtre
	
    SDL_Window* fenetre(0);
	
	
    // Initialisation de la SDL
	
    if(SDL_Init(SDL_INIT_VIDEO) < 0)
    {
        std::cout << "Erreur lors de l'initialisation de la SDL : " << SDL_GetError() << std::endl;
        SDL_Quit();
		
        return -1;
    }
	
	
    // Création de la fenêtre
	
    fenetre = SDL_CreateWindow("Test SDL 2.0", SDL_WINDOWPOS_CENTERED, SDL_WINDOWPOS_CENTERED, 800, 600, SDL_WINDOW_SHOWN);
	
	
    // On quitte la SDL
	
    SDL_DestroyWindow(fenetre);
    SDL_Quit();
	
    return 0;
}

Nous voyons ici deux choses importantes, premièrement :

SDL_Window* fenetre;

Le pointeur SDL_Window remplacera désormais notre fenêtre, il n'y a donc plus de SDL_Surface. Maintenant notre fenêtre aura sa structure à part entière bien différente des surfaces classiques.

Deuxièmement :

fenetre = SDL_CreateWindow("Test SDL 2.0", SDL_WINDOWPOS_CENTERED, SDL_WINDOWPOS_CENTERED, 800, 600, SDL_WINDOW_SHOWN);

Vous l'aurez compris, cette fonction va nous permettre de créer notre fenêtre, elle vient donc remplacer notre bonne vielle SDL_SetVideoMode. Voici le prototype de cette fonction :

SDL_Window* SDL_CreateWindow(const char *title, int x, int y, int w, int h, Uint32 flags);

Cette fonction retourne notre fenêtre dans un pointeur de type SDL_Window.

Quant à la dernière fonction, son utilisation est simple : elle permet de détruire proprement notre fenêtre :

SDL_DestroyWindow(SDL_Window *window);

Nous lui donnerons la fenêtre créée au début du programme.

SDL_DestroyWindow(fenetre);

Puisque l'on parle de l'initialisation de la fenêtre, on va en profiter pour vérifier la valeur du pointeur SDL_Window. En effet dans de rares cas, celui-ci peut être nul à cause d'un éventuel problème logiciel ou matériel. On va donc tester sa valeur dans un if, s'il est nul alors on quitte la SDL en fournissant un message d'erreur, sinon c'est que tout va bien donc on continue :

// Création de la fenêtre

fenetre = SDL_CreateWindow("Test SDL 2.0", SDL_WINDOWPOS_CENTERED, SDL_WINDOWPOS_CENTERED, 800, 600, SDL_WINDOW_SHOWN);

if(fenetre == 0)
{
    std::cout << "Erreur lors de la creation de la fenetre : " << SDL_GetError() << std::endl;
    SDL_Quit();

    return -1;
}

Ajoutons maintenant le code gérant les évènements qui connait, lui-aussi, son lot de modifications.

Avant, pour savoir si une fenêtre devait se fermer, nous devions vérifier la variable type d'une structure SDL_Event comme ceci par exemple :

// Variables

SDL_Event evenements;
bool terminer(false);


// Gestion des évènements

SDL_WaitEvent(&evenements); 

if(evenements.type == SDL_QUIT)
    terminer = true;

Avec la SDL 2.0, la gestion des évènements change quelques peu (nous verrons les différences un peu plus tard). Maintenant, pour savoir si on doit fermer une fenêtre, nous ferrons ceci :

// Variables

SDL_Event evenements;
bool terminer(false);


// Gestion des évènements

SDL_WaitEvent(&evenements); 

if(evenements.window.event == SDL_WINDOWEVENT_CLOSE)
    terminer = true;

Bien, résumons tout cela en un seul code. :)

#include <SDL2/SDL.h>
#include <iostream>


int main(int argc, char **argv)
{	
    // Notre fenêtre
	
    SDL_Window* fenetre(0);
    SDL_Event evenements;
    bool terminer(false);
	
	
    // Initialisation de la SDL
	
    if(SDL_Init(SDL_INIT_VIDEO) < 0)
    {
        std::cout << "Erreur lors de l'initialisation de la SDL : " << SDL_GetError() << std::endl;
        SDL_Quit();
		
        return -1;
    }
	
	
    // Création de la fenêtre

    fenetre = SDL_CreateWindow("Test SDL 2.0", SDL_WINDOWPOS_CENTERED, SDL_WINDOWPOS_CENTERED, 800, 600, SDL_WINDOW_SHOWN);

    if(fenetre == 0)
    {
        std::cout << "Erreur lors de la creation de la fenetre : " << SDL_GetError() << std::endl;
        SDL_Quit();

        return -1;
    }
	
	
    // Boucle principale
	
    while(!terminer)
    {
	SDL_WaitEvent(&evenements);
		
	if(evenements.window.event == SDL_WINDOWEVENT_CLOSE)
	    terminer = true;
    }
	
	
    // On quitte la SDL
	
    SDL_DestroyWindow(fenetre);
    SDL_Quit();
	
    return 0;
}

Préparation de l'IDE Les paramètres OpenGL

Les paramètres OpenGL

Premier programme Premier affichage

Tout ce code c'est bien mais il n'y a rien qui permet d'exploiter OpenGL, mais qu'attendons-nous ? :diable:

Il y a pas mal d'attributs (des options de configuration) à paramétrer pour rendre notre programme compatible avec OpenGL, commençons par le plus important :

SDL_GLContext contexteOpenGL;

Cette structure va permettre à la SDL de créer un contexte OpenGL. Ce contexte est très important, pour utiliser l'API graphique et ses fonctions. Il faut tout d'abord le configurer.

Voici le prototype de la fonction qui permet de spécifier des attributs OpenGL à la SDL :

SDL_GL_SetAttribute(SDL_GLattr attr, int value);

Avec cette simple fonction, nous allons pourvoir spécifier à la SDL quelle version d'OpenGL on souhaite utiliser :

SDL_GL_SetAttribute(SDL_GL_CONTEXT_MAJOR_VERSION, 3);
SDL_GL_SetAttribute(SDL_GL_CONTEXT_MINOR_VERSION, 1);

Vous l'aurez compris :

Petite question pour ceux qui connaissent la SDL 1.2, vous savez comment on utilise le double buffering ? :-°

Voici la réponse :p :

SDL_SetVideoMode(800, 600, 32, SDL_HWSURFACE | SDL_DOUBLEBUF);

Comme avec la SDL, on peut aussi activer le Double Buffuring avec OpenGL. Cependant ça ne se passe pas de la même façon. Voici comment faire :

SDL_GL_SetAttribute(SDL_GL_DOUBLEBUFFER, 1);
SDL_GL_SetAttribute(SDL_GL_DEPTH_SIZE, 24);

Bon on avance c'est bien :) . Mais tout à l'heure, tu as parlé d'une structure : SDL_GLContext, qu'est-ce qu'on en fait ?

Très bonne remarque, on va l'utiliser maintenant justement grâce à la fonction :

SDL_GLContext SDL_GL_CreateContext(SDL_Window *window);

Cette fonction demande un pointeur SDL_Window pour y attacher le contexte OpenGL. De plus, elle renvoie une structure SDL_GLContext, et justement c'est ce dont nous avons besoin :)

Dans notre cas, nous lui donnerons notre fenêtre puis nous récupéreront la structure retournée :

contexteOpenGL = SDL_GL_CreateContext(fenetre);

Comme pour la fenêtre SDL, la création du contexte OpenGL peut lui aussi échouer. Le plus souvent ce sera parce que la version OpenGL demandée ne sera pas supportée par la carte graphique. Il faut donc tester la valeur de la variable contexteOpenGL. Si elle est égale à 0 c'est qu'il y a eu un problème. Dans ce cas on affiche un message d'erreur, on détruit la fenêtre puis on quitte la SDL :

// Création du contexte OpenGL

contexteOpenGL = SDL_GL_CreateContext(fenetre);

if(contexteOpenGL == 0)
{
    std::cout << SDL_GetError() << std::endl;
    SDL_DestroyWindow(fenetre);
    SDL_Quit();

    return -1;
}

Si tout se passe bien lors de la création du contexte alors on continue.

Tout comme pour la fenêtre SDL encore une fois, il existe aussi une fonction qui permet de détruire le contexte lorsque nous n'en avons plus besoin. Son appel ressemble à ceci :

SDL_GL_DeleteContext(contexteOpenGL);

Bien, résumons tout cela :

#include <SDL2/SDL.h>
#include <iostream>


int main(int argc, char **argv)
{	
    // Notre fenêtre
	
    SDL_Window* fenetre(0);
    SDL_GLContext contexteOpenGL(0);
	
    SDL_Event evenements;
    bool terminer(false);
	
	
    // Initialisation de la SDL
	
    if(SDL_Init(SDL_INIT_VIDEO) < 0)
    {
        std::cout << "Erreur lors de l'initialisation de la SDL : " << SDL_GetError() << std::endl;
        SDL_Quit();
		
        return -1;
    }
	
	
    // Version d'OpenGL
	
    SDL_GL_SetAttribute(SDL_GL_CONTEXT_MAJOR_VERSION, 3);
    SDL_GL_SetAttribute(SDL_GL_CONTEXT_MINOR_VERSION, 1);
	
	
    // Double Buffer
	
    SDL_GL_SetAttribute(SDL_GL_DOUBLEBUFFER, 1);
    SDL_GL_SetAttribute(SDL_GL_DEPTH_SIZE, 24);
	
	
    // Création de la fenêtre

    fenetre = SDL_CreateWindow("Test SDL 2.0", SDL_WINDOWPOS_CENTERED, SDL_WINDOWPOS_CENTERED, 800, 600, SDL_WINDOW_SHOWN);

    if(fenetre == 0)
    {
        std::cout << "Erreur lors de la creation de la fenetre : " << SDL_GetError() << std::endl;
        SDL_Quit();

        return -1;
    }


    // Création du contexte OpenGL

    contexteOpenGL = SDL_GL_CreateContext(fenetre);

    if(contexteOpenGL == 0)
    {
        std::cout << SDL_GetError() << std::endl;
        SDL_DestroyWindow(fenetre);
        SDL_Quit();

        return -1;
    }
	
	
    // Boucle principale
	
    while(!terminer)
    {
        SDL_WaitEvent(&evenements);
		
        if(evenements.window.event == SDL_WINDOWEVENT_CLOSE)
        terminer = true;
    }
	
	
    // On quitte la SDL
	
    SDL_GL_DeleteContext(contexteOpenGL);
    SDL_DestroyWindow(fenetre);
    SDL_Quit();
	
    return 0;
}

On est presque au bout courage. :p Il nous faut juste rajouter un paramètre dans la fonction GL_CreateWindow. Avec la SDL 1.2, ce paramètre ressemblait à ça :

SDL_SetVideoMode(.., .., .., SDL_OPENGL);

Avec la SDL 2.0, le nom change légèrement :

SDL_WINDOW_OPENGL

Il se place également dans la fonction qui créé la fenêtre :

fenetre = SDL_CreateWindow("Test SDL 2.0", SDL_WINDOWPOS_CENTERED, SDL_WINDOWPOS_CENTERED, 800, 600, SDL_WINDOW_SHOWN | SDL_WINDOW_OPENGL);

Et voila notre code final :

#include <SDL2/SDL.h>
#include <iostream>


int main(int argc, char **argv)
{	
    // Notre fenêtre
	
    SDL_Window* fenetre(0);
    SDL_GLContext contexteOpenGL(0);
	
    SDL_Event evenements;
    bool terminer(false);
	
	
    // Initialisation de la SDL
	
    if(SDL_Init(SDL_INIT_VIDEO) < 0)
    {
        std::cout << "Erreur lors de l'initialisation de la SDL : " << SDL_GetError() << std::endl;
        SDL_Quit();
		
        return -1;
    }
	
	
    // Version d'OpenGL
	
    SDL_GL_SetAttribute(SDL_GL_CONTEXT_MAJOR_VERSION, 3);
    SDL_GL_SetAttribute(SDL_GL_CONTEXT_MINOR_VERSION, 1);
	
	
    // Double Buffer
	
    SDL_GL_SetAttribute(SDL_GL_DOUBLEBUFFER, 1);
    SDL_GL_SetAttribute(SDL_GL_DEPTH_SIZE, 24);
	
	
    // Création de la fenêtre

    fenetre = SDL_CreateWindow("Test SDL 2.0", SDL_WINDOWPOS_CENTERED, SDL_WINDOWPOS_CENTERED, 800, 600, SDL_WINDOW_SHOWN | SDL_WINDOW_OPENGL);

    if(fenetre == 0)
    {
        std::cout << "Erreur lors de la creation de la fenetre : " << SDL_GetError() << std::endl;
        SDL_Quit();

        return -1;
    }


    // Création du contexte OpenGL

    contexteOpenGL = SDL_GL_CreateContext(fenetre);

    if(contexteOpenGL == 0)
    {
        std::cout << SDL_GetError() << std::endl;
        SDL_DestroyWindow(fenetre);
        SDL_Quit();

        return -1;
    }
	
	
    // Boucle principale
	
    while(!terminer)
    {
        SDL_WaitEvent(&evenements);
		
        if(evenements.window.event == SDL_WINDOWEVENT_CLOSE)
        terminer = true;
    }
	
	
    // On quitte la SDL
	
    SDL_GL_DeleteContext(contexteOpenGL);
    SDL_DestroyWindow(fenetre);
    SDL_Quit();
	
    return 0;
}

Vous devriez obtenir quelque chose comme ceci :

Image utilisateur

Quoi ! Mais on a une fenêtre blanche c'est nul !

Du calme, vous n'imaginez pas ce que l'on vient de faire (enfin ce que la SDL vient de faire), nous venons de créer un contexte dans lequel OpenGL va évoluer. En gros nous venons de créer l'univers. :D

Bref nous avons enfin une fenêtre SDL compatible avec OpenGL 3.1. Comparez le code avant et après, vous verrez la différence. Il y a plus de code certes, mais toutes ces instructions sont importantes. Ce nouvel environnement va nous permettre de créer des programmes plus paramétrables et donc plus puissants. ;)

Télécharger : Code Source C++ du Chapitre 2

Piouf, ça fait beaucoup de changements pour arriver grosso modo à la même chose. Mais au moins on passe à la nouvelle génération de programme.
Bon, on a une fenêtre c'est bien, mais pour le moment on a linké OpenGL pour rien. Passons maintenant à la partie OpenGL :pirate: .


Premier programme Premier affichage

Premier affichage

Les paramètres OpenGL Le fonctionnement d'OpenGL

Nouveau chapitre, nouvelles notions.

Nous allons apprendre ici à faire nos premiers affichages dans la fenêtre SDL. Les notions que nous allons aborder nous seront utiles tout au long de ce tutoriel et constituent réellement la base du fonctionnement d'OpenGL. Vous aurez l'occasion de vous exercer à travers quelques exercices. Je ré-utiliserai ce procédé régulièrement car il n'y a rien de mieux que la pratique pour apprendre quelque chose.

Ceci étant dit, commençons dès maintenant ce nouveau chapitre. :)

Le fonctionnement d'OpenGL

Premier affichage Afficher un triangle

Nous allons commencer ce chapitre par un peu de théorie. :p

Comment fonctionne OpenGL ?

Basiquement, OpenGL fonctionne avec un système de "points" que nous plaçons dans un monde 3D. Nous appelons un point, un vertex (au pluriel : vertices), en français on peut dire un sommet. La première chose à faire avec ces vertices, c'est leur donner une position.

Une position dans un monde 3D est constituée de 3 coordonnées: x (la largeur), y (la hauteur) et z (la profondeur). Chaque vertex doit avoir ses propres coordonnées. Les vertices sont à la base de tout, ils forment tout ce que vous voyez dans un jeu-vidéo : le héros, une arme, une voiture, des chaussettes ...

Une fois les vertices définis, on les relie entre eux pour former des formes géométriques simples : des carrés, des lignes, des triangles, ...

Image utilisateur

Voici comment OpenGL "voit" une map : une succession de vertices reliés entre eux pour former un terrain en mode filaire.

Maintenant que l'on a nos formes géométriques, il faut les "colorier", sinon nous n'aurions que des fils difformes qui ne ressembleraient à rien. Imaginez si on laissait tout comme ça, le jeu serait un peu particulier.

On peut distinguer deux formes de "coloriage": les textures et les couleurs (que nous spécifions nous-même). Les textures sont utilisées dans 99% des cas. En effet, nous ne spécifions que très rarement la couleur de nos objets directement, en général on le fait pour des tests ou dans un shader (retenez bien ce mot, nous verrons cela plus tard). Dans les premiers chapitres nous n'utiliserons pas les textures, nous accorderons un chapitre entier pour cela.

Ce qu'il faut retenir c'est qu'au final nous définissons les coordonnées de nos vertices (sommets) dans l'espace, puis nous les relions entre eux pour former une forme géométrique, enfin nous colorions cette forme pour avoir quelque chose de "consistant".

Nomenclature des fonctions OpenGL

Comme vous l'aurez remarqué avec la SDL, chaque fonction de la librairie commence par "SDL_" . Bonne nouvelle, avec OpenGL c'est pareil, chaque fonction commence par la même chose : "gl".

Autre point, il se peut que vous soyez surpris en voyant le nom de certaines fonctions se répéter plusieurs fois, c'est normal.

Prenons un exemple : glUniform2f(...) et glUniform2i(...)

Nous verrons l'utilité de ces fonctions plus tard. Vous voyez la différence ? Dans la première, la dernière lettre est un "f" et dans la deuxième c'est un "i".

En général, la dernière lettre d'une fonction OpenGL sert à indiquer le type du paramètre à envoyer :

Selon le type de paramètre que vous enverrez il faudra utiliser la fonction correspondant au type de vos variables. :)

Vous remarquez aussi que l'avant-dernière lettre est un chiffre, ce chiffre peut lui aussi changer. En général, si le chiffre est 1 on envoie un seul paramètre, si c'est 2 on en envoie deux, ...

Autre point que vous remarquerez plus tard : les types de variables OpenGL. Vous tomberez souvent sur des fonctions demandant des paramètres de types GLfloat, GLbool, GLchar, ... Ce sont simplement des variables de type float, char, int, ... Le type GLbool ne pourra prendre que deux valeurs : soit GL_FALSE (faux) soit GL_TRUE (vrai).

Boucle principale

Comme avec la SDL, OpenGL fonctionne avec une boucle principale. Tous les calculs se feront dans cette boucle. De plus, à chaque affichage il va falloir effacer l'écran car la scène aura légèrement changée, puis ré-afficher chaque élément un à un. Voici la fonction permettant d'effacer l'écran :

glClear(GLbitfield mask)

Dans un premier temps on effacera uniquement ce qui se trouve à l'écran grâce au paramètre : GL_COLOR_BUFFER_BIT.

Avec la SDL, pour actualiser l'affichage on utilisait la fonction SDL_Flip(), mais avec OpenGL on utilisera la fonction :

SDL_GL_SwapWindow(SDL_Window* window);

Le paramètre window étant notre structure SDL_WindowID. ;)

Malheureusement il existe encore une différence entre Linux et Windows. Comme vous l'avez vu dans le chapitre précédent, pour utiliser OpenGL, Windows est obligé de passer par une autre librairie du nom de GLEW. Cette librairie va nous permettre d'utiliser les fonctions d'OpenGL 3. Mais comme toute librairie, il va falloir l'initialiser. Sous Windows vous devrez inclure l'en-tête suivant :

#ifdef WIN32
#include <GL/glew.h>

Pour initialiser la librairie GLEW, il faudra ajouter la fonction : glewInit(). Comme toute librairie, l'initialisation peut échouer, il faut donc tester son initialisation :

// On initialise GLEW

GLenum initialisationGLEW( glewInit() );


// Si l'initialisation a échouée :

if(initialisationGLEW != GLEW_OK)
{
    // On affiche l'erreur grâce à la fonction : glewGetErrorString(GLenum code)

    std::cout << "Erreur d'initialisation de GLEW : " << glewGetErrorString(initialisationGLEW) << std::endl;


    // On quitte la SDL

    SDL_GL_DeleteContext(contexteOpenGL);
    SDL_DestroyWindow(fenetre);
    SDL_Quit();

    return -1;
}

Voila pour Windows. Pour Linux c'est beaucoup plus simple, il suffit de placer une "define" spéciale pour indiquer que nous utiliserons les fonctions d'OpenGL 3 puis d'inclure le fichier d'en-tête "gl3.h" :

#define GL3_PROTOTYPES 1
#include <GL3/gl3.h>

Bien, récapitulons tout ceci :

#ifdef WIN32
#include <GL/glew.h>

#else
#define GL3_PROTOTYPES 1
#include <GL3/gl3.h>

#endif

#include <SDL2/SDL.h>
#include <iostream>


int main(int argc, char **argv)
{

    /* *** Création de la fenêtre SDL *** */


    #ifdef WIN32
    
        // On initialise GLEW

        GLenum initialisationGLEW( glewInit() );


        // Si l'initialisation a échouée :

        if(initialisationGLEW != GLEW_OK)
        {
            // On affiche l'erreur grâce à la fonction : glewGetErrorString(GLenum code)

            std::cout << "Erreur d'initialisation de GLEW : " << glewGetErrorString(initialisationGLEW) << std::endl;


            // On quitte la SDL
    
            SDL_GL_DeleteContext(contexteOpenGL);
            SDL_DestroyWindow(fenetre);
           SDL_Quit();

            return -1;
        }

    #endif


    // Boucle principale
	
    while(!terminer)
    {
        // Gestion des évènements

	SDL_WaitEvent(&evenements);
		
	if(evenements.window.event == SDL_WINDOWEVENT_CLOSE)
	    terminer = true;


        // Nettoyage de l'écran

        glClear(GL_COLOR_BUFFER_BIT);


        // Actualisation de la fenêtre

        SDL_GL_SwapWindow(fenetre);
    }


    // On quitte la SDL
	
    SDL_GL_DeleteContext(contexteOpenGL);
    SDL_DestroyWindow(fenetre);
    SDL_Quit();

    return 0;
}

Repère et Origine

J'espère que vous connaissez la définition de ces deux termes. Un repère est un ensemble d'axes représentant au moins les axes X et Y, l'origine est le point de départ de ces axes.

En théorie voici ce que donne le repère d'OpenGL :

Image utilisateur

Mais dans un premier temps, nous utiliserons le repère par défaut d'OpenGL que voici :

Image utilisateur

L'origine du repère se trouve au centre de l'écran, et les coordonnées maximales affichables sont comprises entre (-1, -1) et (1, 1).

Nous utiliserons l'autre repère dès que nous y aurons inclus les matrices :) . De plus, nous serons dans un premier temps dans un monde 2D, nous ne ferons pas de cube ou autre forme complexe pour commencer. Nous verrons cela un peu plus tard. :p


Premier affichage Afficher un triangle

Afficher un triangle

Le fonctionnement d'OpenGL La classe SceneOpenGL

Afficher un triangle

Maintenant que le blabla théorique est terminé, nous pouvons reprendre la programmation. :magicien:

Dans le chapitre précédent, nous avons appris que tous les modèles 3D présents dans un jeu étaient constitués de sommets (vertices), puis qu'il fallait les relier pour former une surface. Et si on assemble ces formes, ça donne nos modèles 3D.

Notre premier exercice est simple : afficher un triangle. Pour pouvoir afficher n'importe quel modèle 3D il faut déjà spécifier ses vertices que nous allons ensuite donner à OpenGL. En général, on définie nos vertices dans un seul tableau, on place chaque coordonnée de vertex à la chaine comme ceci :

float vertices = {X_vertex_1, Y_vertex_1, Z_vertex_1,   X_vertex_2, Y_vertex_2, Z_vertex_2,   ...};

Dans un triangle il y a trois sommets, nous aurons donc 3 vertices.

float vertex1[] = {-0.5, -0.5};
float vertex2[] = {0.0, 0.5};
float vertex3[] = {0.5, -0.5};

N'oubliez pas que nous sommes en 2D pour l'instant, nous n'avons donc que les coordonnées x et y à définir. Ce début de code est bien mais si on utilise 3 tableaux, ça ne fonctionnera pas. Nous devons combiner les trois tableaux pour en former un seul :

float vertices[] = {-0.5, -0.5,   0.0, 0.5,   0.5, -0.5};

Maintenant, il faut envoyer ces coordonnées à OpenGL. Pour envoyer des informations nous avons besoin d'un tableau appelé "Vertex Attribut". Pour ceux qui connaissent les "Vertex Arrays", c'est la même chose ;) . Sauf que maintenant ce n'est plus une optimisation mais belle et bien la méthode de base pour envoyer nos infos à OpenGL.

Ces "Vertex Attributs" sont déjà inclus dans l'API, il suffit de lui donner des valeurs (nos coordonnées) puis de l'activer. Voici le prototype de la fonction gérant les Vertex Attributs :

void glVertexAttribPointer(GLuint index, GLuint size, GLenum type, GLboolean normalized, GLsizei stride, const GLvoid *pointer);

Voyons ce que ça donne avec les données de notre triangle :

glVertexAttribPointer(0, 2, GL_FLOAT, GL_FALSE, 0, vertices);

Malheureusement, en l'état, notre tableau est inutilisable, il faut d'abord l'activer avec la fonction :

void glEnableVertexAttribArray(GLuint index);

Le paramètre index étant notre identifiant de tableau, ici ce sera 0.

Bien, maintenant OpenGL sait quels vertices il doit afficher, il ne manque plus qu'à lui dire ... ce qu'il doit faire de ces points. :p

Pour ça, on utilise une fonction (il y en a en fait deux, mais pour le début de ce tutoriel nous n'utiliserons que la première). Cette fonction permet de dire à OpenGL quelle forme afficher avec les points donnés précédemment. Voici le prototype de la fonction :

glDrawArrays(GLenum mode, GLint first, GLsizei count);

Alors Attention ! :

Exemple : J'ai 4 vertices et je veux afficher un carré. Le premier vertex sera le vertex 0 (le premier vertex), et la valeur de "count" sera 4 car j'ai besoin du vertex 0 + les 3 vertices qui le suivent.

Passons au paramètre le plus intéressant : mode.

Ce paramètre peut prendre plusieurs formes donc voici les principales :

Valeur

Définition

GL_TRIANGLES

Avec ce mode, chaque groupe de 3 vertices formera un triangle. C'est le mode le plus utilisé.

GL_POLYGON

Tous les vertices s'assemblent pour former un polygone de type convexe (Hexagone, Heptagone, ...).

GL_LINES

Chaque duo de vertices formera une ligne.

GL_TRIANGLE_STRIP

Ici les triangles s'assembleront. Les deux derniers vertices d'un triangle s'assembleront avec un 4ième vertex pour former un nouveau triangle.

Toutes les valeurs possibles ne sont pas représentées mais je vous expose ici les plus utilisées. ;)

Revenons à notre code, nous avons désormais les différents modes d'affichage. Le but de ce chapitre est d'afficher un triangle, notre mode d'affichage sera donc : GL_TRIANGLES, ce qui donne :

glDrawArrays(GL_TRIANGLES, 0, 3);

La valeur "0" pour commencer l'affichage par le premier vertex, et le "3" pour utiliser les 3 vertices dont le premier sera le vertex "0".

Récapitulons tout ça :

// Vertices et coordonnées

float vertices[] = {-0.5, -0.5,   0.0, 0.5,   0.5, -0.5};


// Boucle principale

while(!terminer)
{
    // Gestion des évènements

    ....


    // On remplie puis on active le tableau Vertex Attrib 0

    glVertexAttribPointer(0, 2, GL_FLOAT, GL_FALSE, 0, vertices);
    glEnableVertexAttribArray(0);


    // On affiche le triangle

    glDrawArrays(GL_TRIANGLES, 0, 3);


    // On désactive le tableau Vertex Attrib puisque l'on en a plus besoin

    glDisableVertexAttribArray(0);


    // Actualisation de la fenêtre

    ....
}

Vous avez dû remarquer la présence d'une nouvelle fonction : glDisableVertexAttribArray. Elle permet de désactiver le tableau Vertex Attrib utilisé, le paramètre est le même que celui de la fonction glEnableVertexAttribArray. On désactive le tableau juste après l'affichage des vertices.

Récapitulons tout avec le code SDL :

#ifdef WIN32
#include <GL/glew.h>

#else
#define GL3_PROTOTYPES 1
#include <GL3/gl3.h>

#endif

#include <SDL2/SDL.h>
#include <iostream>


int main(int argc, char **argv)
{	
    // Notre fenêtre
	
    SDL_Window* fenetre(0);
    SDL_GLContext contexteOpenGL(0);
	
    SDL_Event evenements;
    bool terminer(false);
	
	
    // Initialisation de la SDL
	
    if(SDL_Init(SDL_INIT_VIDEO) < 0)
    {
        std::cout << "Erreur lors de l'initialisation de la SDL : " << SDL_GetError() << std::endl;
        SDL_Quit();
		
        return -1;
    }
	
	
    // Version d'OpenGL
	
    SDL_GL_SetAttribute(SDL_GL_CONTEXT_MAJOR_VERSION, 3);
    SDL_GL_SetAttribute(SDL_GL_CONTEXT_MINOR_VERSION, 1);
	
	
    // Double Buffer
	
    SDL_GL_SetAttribute(SDL_GL_DOUBLEBUFFER, 1);
    SDL_GL_SetAttribute(SDL_GL_DEPTH_SIZE, 24);
	
	
    // Création de la fenêtre

    fenetre = SDL_CreateWindow("Test SDL 2.0", SDL_WINDOWPOS_CENTERED, SDL_WINDOWPOS_CENTERED, 800, 600, SDL_WINDOW_SHOWN | SDL_WINDOW_OPENGL);

    if(fenetre == 0)
    {
        std::cout << "Erreur lors de la creation de la fenetre : " << SDL_GetError() << std::endl;
        SDL_Quit();

        return -1;
    }


    // Création du contexte OpenGL

    contexteOpenGL = SDL_GL_CreateContext(fenetre);

    if(contexteOpenGL == 0)
    {
        std::cout << SDL_GetError() << std::endl;
        SDL_DestroyWindow(fenetre);
        SDL_Quit();

        return -1;
    }


    #ifdef WIN32

        // On initialise GLEW

        GLenum initialisationGLEW( glewInit() );


        // Si l'initialisation a échouée :

        if(initialisationGLEW != GLEW_OK)
        {
            // On affiche l'erreur grâce à la fonction : glewGetErrorString(GLenum code)

            std::cout << "Erreur d'initialisation de GLEW : " << glewGetErrorString(initialisationGLEW) << std::endl;


            // On quitte la SDL

            SDL_GL_DeleteContext(contexteOpenGL);
            SDL_DestroyWindow(fenetre);
            SDL_Quit();

            return -1;
        }

    #endif


    // Vertices et coordonnées

    float vertices[] = {-0.5, -0.5,   0.0, 0.5,   0.5, -0.5};


    // Boucle principale

    while(!terminer)
    {
        // Gestion des évènements

        SDL_WaitEvent(&evenements);

        if(evenements.window.event == SDL_WINDOWEVENT_CLOSE)
            terminer = true;


        // Nettoyage de l'écran

        glClear(GL_COLOR_BUFFER_BIT);


        // On remplie puis on active le tableau Vertex Attrib 0

        glVertexAttribPointer(0, 2, GL_FLOAT, GL_FALSE, 0, vertices);
        glEnableVertexAttribArray(0);


        // On affiche le triangle

        glDrawArrays(GL_TRIANGLES, 0, 3);


        // On désactive le tableau Vertex Attrib puisque l'on n'en a plus besoin

        glDisableVertexAttribArray(0);


        // Actualisation de la fenêtre

        SDL_GL_SwapWindow(fenetre);
    }


    // On quitte la SDL

    SDL_GL_DeleteContext(contexteOpenGL);
    SDL_DestroyWindow(fenetre);
    SDL_Quit();

    return 0;
}

Si tout se passe bien, vous devriez avoir une belle fenêtre comme celle-ci :

Image utilisateur

Afficher plusieurs triangles

Les vertices

Comme nous l'avons vu dans le tableau précédemment, le paramètre GL_TRIANGLES dans la fonction glDrawArrays() permet d'afficher un triangle pour chaque triplet de vertices.
Pour le moment, nous n'utilisons que 3 vertices, donc nous n'avons au final qu'un seul triangle. Or si nous en utilisons 6 nous aurons alors deux triangles.
On peut même aller plus loin et prendre 60, 390, ou 3000 vertices pour en afficher plein ! C'est d'ailleurs ce que font les décors et les personnages dans les jeux-vidéo, ils ne savent utiliser que ça. :p

Enfin, prenons un exemple plus simple avant d'aller aussi loin. Si nous voulons afficher le rendu suivant ... :

Image utilisateur

... Nous devrons utiliser deux triplets de vertices.

Ce qu'il faut savoir, c'est qu'il ne faut surtout pas utiliser un tableau pour chaque triangle. On perdrait beaucoup trop de temps à tous les envoyer. A la place, nous devons inclure tous les vertices dans un seul et unique tableau :

// Vertices

float vertices[] = {0.0, 0.0,   0.5, 0.0,   0.0, 0.5,          // Triangle 1
                    -0.8, -0.8,   -0.3, -0.8,   -0.8, -0.3};   // Triangle 2

Toutes nos données sont regroupées dans un seul tableau. Ça ne nous fait qu'un seul envoi à faire c'est plus facile à gérer, ça arrange même OpenGL. ;)

L'affichage

Au niveau de l'affichage, le code reste identique à celui du triangle unique. C'est-à-dire qu'il faut utiliser les fonctions :

La seule différence notable va être la valeur du paramètre count (nombre de vertices à prendre en compte) de la fonction glDrawArrays(). Celui-ci était égal à 3 pour un seul triangle, nous la passerons désormais à 6 pour en afficher deux. L'appel à la fonction ressemblerait donc à ceci :

// Affichage des triangles

glDrawArrays(GL_TRIANGLES, 0, 6);

Ce qui donne le code source de la boucle principale suivant :

// Vertices

float vertices[] = {0.0, 0.0,   0.5, 0.0,   0.0, 0.5,          // Triangle 1
                    -0.8, -0.8,   -0.3, -0.8,   -0.8, -0.3};   // Triangle 2


// Boucle principale

while(!terminer)
{
    // Gestion des évènements

    SDL_WaitEvent(&evenements);

    if(evenements.window.event == SDL_WINDOWEVENT_CLOSE)
        terminer = true;


    // Nettoyage de l'écran

    glClear(GL_COLOR_BUFFER_BIT);


    // On remplie puis on active le tableau Vertex Attrib 0

    glVertexAttribPointer(0, 2, GL_FLOAT, GL_FALSE, 0, vertices);
    glEnableVertexAttribArray(0);


    // On affiche des triangles

    glDrawArrays(GL_TRIANGLES, 0, 6);


    // On désactive le tableau Vertex Attrib puisque l'on n'en a plus besoin

    glDisableVertexAttribArray(0);


    // Actualisation de la fenêtre

    SDL_GL_SwapWindow(fenetre);
}

Si vous compilez ce code, vous devriez obtenir :

Image utilisateur

Le tour est joué. :)


Le fonctionnement d'OpenGL La classe SceneOpenGL

La classe SceneOpenGL

Afficher un triangle Introduction aux shaders

Je ne sais pas si vous l'avez remarqué, mais depuis le début du tutoriel nous n'avons pas codé une seule classe. À vrai dire c'est normal, nous n'en avions pas vraiment besoin jusqu'ici.
Cependant nos programmes vont commencer à se complexifier donc autant prendre les bonnes habitudes dès maintenant.

La classe SceneOpenGL

Le header

Pour le moment, nous n'aurons besoin que d'une seule classe dans nos programmes de test. Elle devra être capable de remplir plusieurs rôles :

Pour remplir ces objetifs, nous allons créer plusieurs méthodes, mais avant cela nous devons déclarer la classe C++ qui s'occupera de tout ça. Cette classe s'appellera : SceneOpenGL. Commençons donc par créer deux fichiers SceneOpenGL.h et SceneOpenGL.cpp.

Une classe en C++ est composée de méthodes et d'attributs. Pour les méthodes, on voit déjà à peu près ce que l'on va faire. En revanche, on ne sait pas encore de quels attributs nous aurons besoin.

Si on regarde le début du code pour afficher le triangle blanc, nous voyons trois variables importantes :

// Variables 

SDL_Window* fenetre(0);
SDL_GLContext contexteOpenGL(0);
SDL_Event evenements;

On voit dans cette liste 3 variables correspondant :

Ces 3 variables deviendront les attributs de notre classe. On en rajoutera même trois supplémentaires qui correspondront :

Si on résume tout ça, nous avons une classe SceneOpenGL avec 6 attributs. Le header ressemblera donc à ceci :

#ifndef DEF_SCENEOPENGL
#define DEF_SCENEOPENGL

#include <string>


class SceneOpenGL
{
    public:

    SceneOpenGL();
    ~SceneOpenGL();


    private:

    std::string m_titreFenetre;
    int m_largeurFenetre;
    int m_hauteurFenetre;

    SDL_Window* m_fenetre;
    SDL_GLContext m_contexteOpenGL;	
    SDL_Event m_evenements;
};

#endif

Et voici donc le squelette de tous nos futurs programmes. :D

Bon pour le moment c'est un peu vide, on va habiller un peu tout ça. On va notamment ajouter deux éléments. Premièrement, il faut ajouter tous les includes concernant la SDL et OpenGL :

// Includes 

#ifdef WIN32
#include <GL/glew.h>

#else
#define GL3_PROTOTYPES 1
#include <GL3/gl3.h>

#endif

#include <SDL2/SDL.h>
#include <iostream>

Deuxièmement, il faut modifier le constructeur de la classe pour prendre en compte les paramètres de création de la fenêtre (titre, largeur et hauteur) :

SceneOpenGL(std::string titreFenetre, int largeurFenetre, int hauteurFenetre);

Pour le moment, rien de bien compliqué. ^^

Les méthodes

Si on reprend la liste des objectifs de la classe, on retrouve trois points importants :

Nous allons créer une méthode pour chaque point de cette liste.

La première méthode consistera donc à initialiser la fenêtre et le contexte OpenGL dans lequel nous allons évoluer :

bool initialiserFenetre();

Elle renverra un booléen pour confirmer ou non la création de la fenêtre. Nous mettrons à l'intérieur tout le code permettant de générer la fenêtre.

Pour le deuxième point, nous devrons initialiser tout ce qui concerne OpenGL (mis à part le contexte vu qu'il est créé juste avant). Pour le moment, nous n'avons que la librairie GLEW à initialiser.

Généralement, la fonction qui s'occupe d'initialiser OpenGL s'appelle initGL(), nous appellerons donc notre méthode de la même façon :

bool initGL();

Comme la méthode précédente, elle renverra un booléen pour savoir si l'initialisation s'est bien passée.

Pour le troisième et dernier point, nous devons gérer la boucle principale du programme. Nous créerons donc une méthode bouclePrincipale() qui s'occupera de gérer tout ça :

void bouclePrincipale();

Elle ne renverra aucune valeur.

Résumé du Header

Si on met tout ce que l'on vient de voir dans le header, on a : une classe SceneOpenGL, des includes pour gérer la SDL et OpenGL, 6 attributs et 3 méthodes :

#ifndef DEF_SCENEOPENGL
#define DEF_SCENEOPENGL


// Includes 

#ifdef WIN32
#include <GL/glew.h>

#else
#define GL3_PROTOTYPES 1
#include <GL3/gl3.h>

#endif

#include <SDL2/SDL.h>
#include <iostream>
#include <string>


// Classe

class SceneOpenGL
{
    public:

    SceneOpenGL(std::string titreFenetre, int largeurFenetre, int hauteurFenetre);
    ~SceneOpenGL();

    bool initialiserFenetre();
    bool initGL();
    void bouclePrincipale();


    private:

    std::string m_titreFenetre;
    int m_largeurFenetre;
    int m_hauteurFenetre;

    SDL_Window* m_fenetre;
    SDL_GLContext m_contexteOpenGL;	
    SDL_Event m_evenements;
};

#endif

Implémentation de la classe

Dans cette dernière sous-partie, on va se reposer un peu. En effet, on a déjà tout codé avant, on n'a plus qu'à jouer au puzzle en coupant notre code et en mettant les bons morceaux au bon endroit. :p

Constructeur et Destructeur

Pour le constructeur rien de plus simple, on initialise nos attributs sans oublier de passer les 3 paramètres du constructeur concernant la fenêtre :

SceneOpenGL::SceneOpenGL(std::string titreFenetre, int largeurFenetre, int hauteurFenetre) : m_titreFenetre(titreFenetre), m_largeurFenetre(largeurFenetre), 
                                                                                             m_hauteurFenetre(hauteurFenetre), m_fenetre(0), m_contexteOpenGL(0)
{

}

Pour le destructeur, on détruit simplement le contexte et la fenêtre, puis on quitte la librairie SDL :

SceneOpenGL::~SceneOpenGL()
{
    SDL_GL_DeleteContext(m_contexteOpenGL);
    SDL_DestroyWindow(m_fenetre);
    SDL_Quit();
}

Les méthodes initialiserFenetre() et initGL()

Ici on sait déjà ce que l'on va mettre. On va implémenter le code permettant de créer la fenêtre et le contexte OpenGL, nous connaissons ce code depuis le chapitre précédent. Pour migrer celui-ci on va :

Encore une fois rien de bien compliqué. ^^

En code, ça nous donne ceci :

bool SceneOpenGL::initialiserFenetre()
{
    // Initialisation de la SDL
	
    if(SDL_Init(SDL_INIT_VIDEO) < 0)
    {
        std::cout << "Erreur lors de l'initialisation de la SDL : " << SDL_GetError() << std::endl;
        SDL_Quit();
		
        return false;
    }
	
	
    // Version d'OpenGL
	
    SDL_GL_SetAttribute(SDL_GL_CONTEXT_MAJOR_VERSION, 3);
    SDL_GL_SetAttribute(SDL_GL_CONTEXT_MINOR_VERSION, 1);
	
	
    // Double Buffer
	
    SDL_GL_SetAttribute(SDL_GL_DOUBLEBUFFER, 1);
    SDL_GL_SetAttribute(SDL_GL_DEPTH_SIZE, 24);
	
	
    // Création de la fenêtre
	
    m_fenetre = SDL_CreateWindow(m_titreFenetre.c_str(), SDL_WINDOWPOS_CENTERED, SDL_WINDOWPOS_CENTERED, m_largeurFenetre, m_hauteurFenetre, SDL_WINDOW_SHOWN | SDL_WINDOW_OPENGL);

    if(m_fenetre == 0)
    {
        std::cout << "Erreur lors de la creation de la fenetre : " << SDL_GetError() << std::endl;
        SDL_Quit();

        return false;
    }


    // Création du contexte OpenGL

    m_contexteOpenGL = SDL_GL_CreateContext(m_fenetre);

    if(m_contexteOpenGL == 0)
    {
        std::cout << SDL_GetError() << std::endl;
        SDL_DestroyWindow(m_fenetre);
        SDL_Quit();

        return false;
    }

    return true;
}

On passe maintenant à la méthode initGL(). Pour le moment, nous n'avons pas grand chose à mettre à l’intérieur mise à part l'initialisation de la librairie GLEW pour Windows.

Et comme précédemment, il va falloir modifier le nom des attributs fenetre et contexteOpenGL en leur ajoutant le prefix "m_". Nous rajouterons également deux return dans la méthode :

bool SceneOpenGL::initGL()
{
    #ifdef WIN32

        // On initialise GLEW

        GLenum initialisationGLEW( glewInit() );


        // Si l'initialisation a échoué :

        if(initialisationGLEW != GLEW_OK)
        {
            // On affiche l'erreur grâce à la fonction : glewGetErrorString(GLenum code)

            std::cout << "Erreur d'initialisation de GLEW : " << glewGetErrorString(initialisationGLEW) << std::endl;


            // On quitte la SDL

            SDL_GL_DeleteContext(m_contexteOpenGL);
            SDL_DestroyWindow(m_fenetre);
            SDL_Quit();

            return false;
        }

    #endif


    // Tout s'est bien passé, on retourne true

    return true;
}

La méthode bouclePrincipale()

Allez on passe à la dernière méthode, c'est dans celle-ci que va se passer la quasi totalité du programme.

Dans cette méthode, on commence par déclarer le booléen terminer que vous devez déjà connaitre. :p On ne l'a pas déclaré en temps qu'attribut car il ne sert que dans la boucle while.

Après ce booléen, on va en profiter pour déclarer notre fameux tableau de vertices. Dans le futur, nous ferons des objets spécialement dédiés pour afficher nos modèles. Mais pour le moment, nous n'avons que de simples vertices à afficher, on peut donc se passer de classe.

Voici donc le début de la méthode bouclePrincipale() :

void SceneOpenGL::bouclePrincipale()
{
    // Variables

    bool terminer(false);
    float vertices[] = {-0.5, -0.5,   0.0, 0.5,   0.5, -0.5};
}

Pour le reste de la méthode, il suffit simplement d'ajouter la boucle while que nous avons déjà codé. :)

Encore une fois, je me répète mais n'oubliez pas d'ajouter le préfixe "m_" aux attributs evenements et fenetre quand vous copiez le code :

void SceneOpenGL::bouclePrincipale()
{
    // Variables
	
    bool terminer(false);
    float vertices[] = {-0.5, -0.5,   0.0, 0.5,   0.5, -0.5};
	
	
    // Boucle principale
	
    while(!terminer)
    {
        // Gestion des évènements
		
        SDL_WaitEvent(&m_evenements);
		
        if(m_evenements.window.event == SDL_WINDOWEVENT_CLOSE)
            terminer = 1;
		
		
        // Nettoyage de l'écran
		
        glClear(GL_COLOR_BUFFER_BIT);
		
		
        // On remplie puis on active le tableau Vertex Attrib 0
		
        glVertexAttribPointer(0, 2, GL_FLOAT, GL_FALSE, 0, vertices);
        glEnableVertexAttribArray(0);
	  	
		
        // On affiche le triangle
		
        glDrawArrays(GL_TRIANGLES, 0, 3);
		
		
        // On désactive le tableau Vertex Attrib puisque l'on n'en a plus besoin
		
        glDisableVertexAttribArray(0);
		
		
        // Actualisation de la fenêtre
		
        SDL_GL_SwapWindow(m_fenetre); 
    }
}

Le fichier main.cpp

Comme d'habitude en C++, la fonction main() sera la fonction la moins chargée du programme. Jusqu'à maintenant, nous codions tout à l'intérieur de cette fonction, ce qui la rendait un peu illisible.

Maintenant, nous allons juste déclarer un objet, l'initialiser et lancer sa boucle principale. ^^ Pour ça, il faut inclure le header de la classe SceneOpenGL dans le fichier main.cpp :

#include "SceneOpenGL.h"

Ensuite, on va déclarer un objet de type SceneOpenGL avec les bons paramètres :

int main(int argc, char **argv)
{
    // Création de la sène
	
    SceneOpenGL scene("Chapitre 3", 800, 600);
}

Maintenant, il faut appeler les deux méthodes qui permettent d'initialiser le programme correctement à savoir initialiserFenetre() et initGL(). De plus, il faut vérifier que ces méthodes retournent bien le booléen true et pas false. Si au moins une des deux initialisions échoue, alors on quitte le programme :

// Initialisation de la scène
	
if(scene.initialiserFenetre() == false)
    return -1;
	
if(scene.initGL() == false)
    return -1;

Enfin, on appelle la méthode bouclePrincipale() pour lancer la scène OpenGL :

// Boucle Principale
	
scene.bouclePrincipale();

N'oublions pas le return 0 lorsque l'on quittera le programme :

// Fin du programme

return 0;

Si on résume tout ça :

#include "SceneOpenGL.h"


int main(int argc, char **argv)
{
    // Création de la sène
	
    SceneOpenGL scene("Chapitre 3", 800, 600);
	
	
    // Initialisation de la scène
	
    if(scene.initialiserFenetre() == false)
	return -1;
	
    if(scene.initGL() == false)
	return -1;
	
	
    // Boucle Principale
	
    scene.bouclePrincipale();
	
	
    // Fin du programme
	
    return 0;
}

Et voilà ! Il ne vous reste plus qu'à compiler tout ça. Vous devriez avoir le même résultat qu'au dessus mais vous avez codée proprement une classe en C++ avec du code OpenGL à l'intérieur. ^^

Nous ferons plein de classes au fur et à mesure de ce tuto, vous allez vite en prendre l'habitude. ;)

Télécharger : Code Source C++ du Chapitre 3

Exercices

Énoncés

Tout au long de ce tutoriel, je vous ferai faire quelques petits exercices pour que vous appliquiez ce que nous aurons vu dans les chapitres. Ce seront des exercices assez simples, il n'y aura rien de farfelu je vous rassure. Évidemment, vous avez le droit de vous aider du cours, je ne vous demande pas de tout retenir d'un coup à chaque fois. D'ailleurs, les solutions sont fournies juste après les énoncés, ne les regardez pas avant sinon ça n'a aucun intérêt. ;)

Exercice 1 : Avec les notions vues dans ce chapitre, affichez un triangle ayant les coordonnées présentes ci-dessous. Vous n'avez besoin de modifier que les vertices par rapport aux exemples du cours, inutile de toucher au reste.

Image utilisateur

Exercice 2 : Reprenez le même triangle que l'exercice précédent mais modifiez ses vertices pour l'inverser :

Image utilisateur

Exercice 3 : On passe un cran au-dessus maintenant. Je vous demande d'afficher la forme suivante en utilisant deux triangles distincts (donc pas avec le paramètre GL_TRIANGLE_STRIP) :

Image utilisateur

Solutions

Exercice 1 :

La seule chose à modifier ici c'est le tableau de vertices. L’énoncé demandait un triangle avec des coordonnées spécifiques, le tableau de valeurs ressemble donc à ceci :

float vertices[] = {-0.5, 0.0,   0.5, -0.5,   0.5, 0.5};

Vous remarquerez que j'ai délimité les coordonnées de façon à bien différencier les vertices. ;)

Je devrais en théorie m’arrêter là pour la correction, mais pour ceux qui le souhaitent je donne en détail le code source de l'affichage des vertices. Celui-ci ne change absolument pas par rapport aux exemples du cours, mais si ça peut vous aider à comprendre un peu mieux je vais le ré-expliquer rapidement.

Premièrement, on reprend le code de la boucle principale avec sa gestion d'évènements et son actualisation de fenêtre :

// Boucle principale

while(!terminer)
{
    // Gestion des évènements

    SDL_WaitEvent(&m_evenements);

    if(m_evenements.window.event == SDL_WINDOWEVENT_CLOSE)
        terminer = true;




    // Actualisation de la fenêtre

    SDL_GL_SwapWindow(m_fenetre);
}

Le code d'affichage consiste simplement à appeler les fonctions :

// Nettoyage de l'écran

glClear(GL_COLOR_BUFFER_BIT);


// Tableau Vertex Attrib 0 pour envoyer les vertices

glVertexAttribPointer(0, 2, GL_FLOAT, GL_FALSE, 0, vertices);


// Affichage du triangle

glDrawArrays(GL_TRIANGLES, 0, 3);

Il ne faut bien sûr pas oublier d'activer le tableau Vertex Attrib au moment d'envoyer les vertices, puis de le désactiver quand on n'en a plus besoin :

// Nettoyage de l'écran

glClear(GL_COLOR_BUFFER_BIT);


// Tableau Vertex Attrib 0 pour envoyer les vertices

glVertexAttribPointer(0, 2, GL_FLOAT, GL_FALSE, 0, vertices);


// Activation du tableau Vertex Attrib

glEnableVertexAttribArray(0);


// Affichage du triangle

glDrawArrays(GL_TRIANGLES, 0, 3);


// Désactivation du tableau Vertex Attrib

glDisableVertexAttribArray(0);

Ce qui donne le code source suivant pour la boucle principale :

// Vertices

float vertices[] = {-0.5, 0.0,   0.5, -0.5,   0.5, 0.5};


// Boucle principale

while(!terminer)
{
    // Gestion des évènements

    SDL_WaitEvent(&m_evenements);

    if(m_evenements.window.event == SDL_WINDOWEVENT_CLOSE)
        terminer = true;


    // Nettoyage de l'écran

    glClear(GL_COLOR_BUFFER_BIT);


    // Tableau Vertex Attrib 0 pour envoyer les vertices

    glVertexAttribPointer(0, 2, GL_FLOAT, GL_FALSE, 0, vertices);


    // Activation du tableau Vertex Attrib

    glEnableVertexAttribArray(0);


    // Affichage du triangle

    glDrawArrays(GL_TRIANGLES, 0, 3);


    // Désactivation du tableau Vertex Attrib

    glDisableVertexAttribArray(0);


    // Actualisation de la fenêtre

    SDL_GL_SwapWindow(m_fenetre);
}

Exercice terminé. :)

Exercice 2 :

Pour cet exercice, il suffit juste de modifier notre tableau de vertices. On prend donc notre schéma pour en tirer les coordonnées suivantes :

// Vertices

float vertices[] = {0.5, 0.0,   -0.5, -0.5,   -0.5, 0.5};

Exercice 3 :

Cet exercice est un poil plus compliqué que les deux autres mais il n'y a rien de dur si on regarde dans le fond. :)

La forme demandée est évidemment constituée de deux triangles, il faut donc commencer par déclarer deux tableaux de vertices qui contiendront les coordonnées de ces deux triangles :

// Vertices

float vertices[] = {-0.5, 0.0,   0.0, 1.0,   0.5, 0.0,          // Triangle 1
                    -0.5, 0.0,   0.0, -1.0,   0.5, 0.0};        // Triangle 2

Il faut évidemment modifier l'appel à la fonction glDrawArrays() pour qu'elle prenne en compte les 6 vertices et non uniquement 3 :

// Affichage du triangle

glDrawArrays(GL_TRIANGLES, 0, 6);

Le reste du code ne change pas.

Ah, nous avons enfin pu afficher quelque chose (même si ce n'est un simple triangle), nous avons enfin pu faire bosser notre carte graphique qui commençait légèrement à s'endormir. :p

Rappelez-vous bien de ce que nous avons vu ici, nous réutiliserons tout ça dans les futurs chapitres.


Afficher un triangle Introduction aux shaders

Introduction aux shaders

La classe SceneOpenGL Qu'est-ce qu'un Shader ?

Ah c'est un vaste sujet que nous allons aborder aujourd'hui :) . Tellement vaste que nous allons le découper en 4 chapitres dont le premier sera celui-ci. Nous verrons les trois autres beaucoup plus tard, vous comprendrez pourquoi. Bref, il est temps de découvrir ce que sont ces mystérieux Shaders. :magicien:

Qu'est-ce qu'un Shader ?

Introduction aux shaders Utilisation des shaders

Introduction

Commençons par un peu de théorie. ;)

Comme vous le savez, OpenGL est une librairie qui tire sa puissance de la carte graphique. Or lorsque nous programmons, nous n'avons pas accès à cette carte mais uniquement au processeur et à la RAM. Comment fait notre programme pour l'exploiter me direz-vous ?

En réalité, OpenGL va bidouiller pas mal de choses dans la carte lorsque nous appelons certaines fonctions comme glDrawArrays(). Voyons d’ailleurs ce qui se passe entre le moment où l’on appelle cette fonction et le moment où la scène s’affiche à l’écran :

Image utilisateur

Cette suite d’opérations constitue ce que l’on appelle: le pipeline 3D. Les parties qui nous intéressent dans ce chapitre sont : le Vertex Shader et le Fragment Shader.

Euh qu'est-ce que c'est que ça ? o_O

Un shader est simplement un programme exécuté non pas par le processeur mais par la carte graphique. Il en existe deux types (enfin 3 mais seuls 2 sont réellement importants) :

A quoi servent les shaders ?

Étant donné la complexité de cette notion, nous ne devrions étudier les shaders que beaucoup plus tard dans le tutoriel. Dans les anciennes versions d'OpenGL, ils étaient optionnels, c'était l'API elle-même qui se chargeait d'effectuer ces opérations. Mais avec la version 3.0, le groupe Khronos a voulu introduire une nouvelle philosophie : le tout shader. En clair, ils nous imposent leur utilisation.

Euh ... Pourquoi nous imposer un truc aussi compliqué alors que c'était géré automatiquement avant ?

Ce qu'il faut comprendre, c'est que les jeux-vidéo ont beaucoup évolué depuis qu'OpenGL existe. Il y a quelques années, il était plus simple de laisser l'API faire tout le boulot, les jeux ne prenaient pas énormément de ressources et surtout il y avait moins de choses à calculer. Mais de nos jours, les graphismes, le réalisme et la vitesse sont devenus les principales préoccupations des développeurs (et des joueurs ;) ). L'API n'est plus capable de gérer tout ça rapidement car elle le fait avec ses vielles méthodes (trop lentes pour les jeux d'aujourd'hui).

L'avantage d'une gestion personnalisée est que l'on peut faire ce que l'on veut et surtout on peut y mettre uniquement ce dont on a besoin, ce qui peut nous faire gagner parfois pas mal de vitesse.

Exemples de Shaders

Ah c'est certainement la partie qui va le plus vous intéresser. :p

Les shaders ne sont pas uniquement des étapes embêtantes qui sont là pour vous compliquer la vie :colere2: . Leur première utilité vient du fait qu'ils permettent d'afficher nos objets dans un monde 2D ou 3D. En gros, voila ce qui se passe lorsque nous voulons afficher un objet :

Ça c'est la première utilité, passons maintenant à la deuxième qui est certainement la plus importante (et la plus intéressante :p ) : ils permettent de faire tous les effets 3D magnifiques que vous voyez dans un jeu-vidéo tels que : les lumières, l'eau, les ombres, les explosions ... Ce sont les shaders qui font d'un jeu un jeu plus réaliste.

Image utilisateur
Image utilisateur

Alors ne vous emballez pas, ce n'est pas maintenant que nous allons apprendre à faire tous ces effets mais nous y viendrons. ;)

Le principal problème avec les shaders est que lorsque l'on débute dans la programmation 3D, il est très difficile d'apprendre à les utiliser du fait de leur complexité. C'est pour cela que dans un premier temps, je vais vous fournir le code source pour la création des shaders. Nous consacrerons trois chapitres entiers pour apprendre à les gérer une fois que vous serez plus habitués avec OpenGL.

En bref ce qu’il faut retenir c’est que :


Introduction aux shaders Utilisation des shaders

Utilisation des shaders

Qu'est-ce qu'un Shader ? Un peu de couleurs

Passons maintenant à la partie programmation. :magicien:

Pour commencer, je vais vous demander de télécharger l’archive ci-dessous (pour Linux et Windows), elle contient un fichier « Shader.h », « Shader.cpp » et un dossier « Shaders » contenant plein de petits fichiers. Vous placerez tout ça dans le répertoire de chaque projet que vous ferez (donc dans chaque chapitre que nous ferons).

Télécharger : Code Source C++ Shaders - Windows & Linux

Une fois les fichiers ajoutés à votre dossier, il vous suffit simplement d’ajouter le header « Shader.h » et le fichier source « Shader.cpp » à votre projet.

Comme vous le savez maintenant, un shader est un programme, différent d’un programme normal certes mais un programme quand même. Il doit donc respecter plusieurs règles :

Nous ne verrons pas ces deux étapes maintenant mais sachez au moins que ce n’est pas si différent d'un programme normal. Les codes sources sont dans le dossier « Shaders » que vous devriez avoir placé dans le répertoire de votre projet.

Avant toute chose, pour pouvoir utiliser les shaders il va falloir utiliser la classe Shader dont voici le constructeur :

Shader(std::string vertexSource, std::string fragmentSource);

Alors attention, appeler le constructeur ne suffit pas. Si vous n'appelez que lui, votre shader ne sera pas exploitable. Pour le rendre exploitable, il faut utiliser la méthode charger() qui permet en gros de lire les fichiers sources, de les compiler, ...

bool charger();

Cette méthode retourne un booléen pour savoir si la création du shader s'est bien passée.

En bref, voici un petit exemple de création de shader :

// Création du shader

Shader shaderBasique("Shaders/basique_2D.vert", "Shaders/basique.frag");
shaderBasique.charger();


// Début de la bouble principale

while(!terminer)
{
    // Utilisation
}

Bien, passons à l'utilisation qui est ma foi assez simple puisque nous n'utilisons qu'une seule fonction :

glUseProgram(GLuint program) ;

Elle prend un paramètre : l'ID d'une certain "program", nous lui donnerons l'attribut : "m_programID" de la classe Shader grâce à la méthode :

GLuint getProgramID() const;

Ne vous posez pas de question sur ça pour le moment ;)

Cette fonction a deux utilités :

Cette fonction se place juste avant glDrawArrays() lorsque nous voulons activer notre shader, puis après avec le paramètre 0 pour le désactiver :

// Activation du shader

glUseProgram(shaderBasique.getProgramID());


    // Affichage du triangle

    glDrawArrays(GL_TRIANGLES, 0, 3);


// Désactivation du shader

glUseProgram(0);

Simple non ? :-° D'ailleurs on peut même intégrer, entre ces deux appels de la fonction glUseProgram(), le code relatif à l'envoi des vertices au tableau Vertex Attrib. En général, on fait cela pour bien différencier le code d'affichage du reste du programme, ce qui donnerait pour nous :

// Activation du shader

glUseProgram(shaderBasique.getProgramID());


    // On remplie puis on active le tableau Vertex Attrib 0

    glVertexAttribPointer(0, 2, GL_FLOAT, GL_FALSE, 0, vertices);
    glEnableVertexAttribArray(0);


    // Affichage du triangle

    glDrawArrays(GL_TRIANGLES, 0, 3);


    // On désactive le tableau Vertex Attrib puisque l'on n'en a plus besoin

    glDisableVertexAttribArray(0);


// Désactivation du shader

glUseProgram(0);

Dans le chapitre précédent, nous nous sommes permis de ne pas utiliser ces fameux shaders. Mais comme je vous l'ai dit tout à l'heure, on ne peut plus continuer ainsi. Reprenons notre ancien code pour y ajouter les fonctions que nous venons de voir :

void SceneOpenGL::bouclePrincipale()
{
    // Variables

    bool terminer(false);
    float vertices[] = {-0.5, -0.5,   0.0, 0.5,   0.5, -0.5};

    Shader shaderBasique("Shaders/basique_2D.vert", "Shaders/basique.frag");
    shaderBasique.charger();


    // Boucle principale

    while(!terminer)
    {
        // Gestion des évènements

        SDL_WaitEvent(&m_evenements);

        if(m_evenements.window.event == SDL_WINDOWEVENT_CLOSE)
            terminer = true;


        // Nettoyage de l'écran

        glClear(GL_COLOR_BUFFER_BIT);


        // Activation du shader

        glUseProgram(shaderBasique.getProgramID());


            // On remplie puis on active le tableau Vertex Attrib 0

            glVertexAttribPointer(0, 2, GL_FLOAT, GL_FALSE, 0, vertices);
            glEnableVertexAttribArray(0);


            // Affichage du triangle

            glDrawArrays(GL_TRIANGLES, 0, 3);


            // On désactive le tableau Vertex Attrib puisque l'on n'en a plus besoin

            glDisableVertexAttribArray(0);


        // Désactivation du shader

        glUseProgram(0);


        // Actualisation de la fenêtre

        SDL_GL_SwapWindow(m_fenetre);
    }
}

Vous devriez vous retrouver avec une fenêtre comme celle-la :

Image utilisateur

Quoi mais c’est nul ! C’est la même chose que dans le chapitre précédent mais en plus compliqué.

Oui c'est la même chose mais c'est comme cela que les choses doivent être faites ;). Pour le moment vous ne voyez pas trop l'intérêt d'utiliser les shaders mais vous allez vite voir que c'est indispensable.

D'ailleurs pourquoi attendons-nous ? Voyons dès maintenant ce qu'ils ont à nous offrir. :magicien:


Qu'est-ce qu'un Shader ? Un peu de couleurs

Un peu de couleurs

Utilisation des shaders Les matrices

Un peu de couleurs

Il est maintenant temps de faire passer notre triangle à la couleur, je le trouve un peu trop pâlot. :p

Comment fonctionnent les couleurs avec OpenGL ?

La réponse est simple, vous savez qu'avec la SDL, pour créer un rectangle coloré il fallait utiliser cette fonction :

SDL_MapRGB(SDL_Surface *surface, Uint8 red, Uint8 green, Uint8 blue);

Les trois paramètres étaient les composantes RGB (Rouge, Vert, Bleu). Il suffisait de combiner ces trois couleurs pour en former une seule au final. Bonne nouvelle, avec OpenGL c'est pareil. Pour fabriquer une couleur vous devez donner :

Si vous voulez faire des tests pour obtenir différentes couleurs, essayez la palette de couleurs Windows (ou équivalent sur Linux) :

Image utilisateur

Il y a deux façons de représenter les couleurs :

Malheureusement pour nous, nous allons devoir utiliser la seconde méthode. Mais pas de panique, nous allons utiliser une petite combine pour utiliser la première.

Jauger une couleur entre 0 et 255 est plus facile à comprendre, pour pouvoir utiliser cette méthode nous allons diviser la valeur de la couleur (par exemple : 128) par 255. De cette façon on se retrouve avec une valeur comprise entre 0 et 1 :

float rouge = 128.0/255.0; // = 0.50
float vert =  204.0/255.0; // = 0.80
float bleu =  36.0/255.0;  // = 0.141

La quantité de rouge sera de 128, le vert de 204 et le bleu de 36. De plus faites attention, nous travaillons avec des float donc n'oubliez pas de préciser les décimales même s'il n'y a en pas.

Au niveau du shader, on va changer le shader basique par le shader couleur2D car ce premier ne faisait qu'afficher ce que nous lui donnions en blanc. Maintenant que nous voulons de la couleur, il faut charger un autre shader gérer la couleur :

// Shader

Shader shaderCouleur("Shaders/couleur2D.vert", "Shaders/couleur2D.frag");
shaderCouleur.charger();

Vu que nous avons changé le nom du shader (shaderCouleur), il faut effectuer le même changement de nom lorsque l'on récupère le programID :

// Activation du shader

glUseProgram(shaderCouleur.getProgramID());


    // Envoi des données et affichage

    ....


// Désactivation du shader

glUseProgram(0);

Au niveau du code d'affichage, vous connaissez déjà presque tout. Les fonctions utilisées sont les mêmes que celles des coordonnées de vertex. Les couleurs se gèrent également de la même façon : on place la valeur de chaque couleur (RGB) les unes à la suite des autres dans un tableau.

Le seul changement sera le numéro du tableau, au lieu de placer nos couleurs dans le tableau 0 nous les placerons dans le tableau 1. Le premier tableau (indice 0) servira à stocker tous nos vertices et le deuxième tableau (indice 1) servira à stocker nos couleurs.

// On définie les couleurs 

float couleurs[] = {0.0, 204.0 / 255.0, 1.0,    0.0, 204.0 / 255.0, 1.0,    0.0, 204.0 / 255.0, 1.0};


while(...)
{
    ....


    // Activation du shader

    glUseProgram(shaderCouleur.getProgramID());


        // Envoi des vertices

        glVertexAttribPointer(0, 2, GL_FLOAT, GL_FALSE, 0, vertices);
        glEnableVertexAttribArray(0);


        // On rentre les couleurs dans le tableau Vertex Attrib 1

        glVertexAttribPointer(1, 3, GL_FLOAT, GL_FALSE, 0, couleurs);
        glEnableVertexAttribArray(1);


        ....


    // Désactivation du shader

    glUseProgram(0);


    ....
}

Voyons ce que donne toutes ces petites modifications sur un exemple concret :

void SceneOpenGL::bouclePrincipale()
{
    // Variables
	
    bool terminer(false);
    float vertices[] = {-0.5, -0.5,   0.0, 0.5,   0.5, -0.5};
    float couleurs[] = {0.0, 204.0 / 255.0, 1.0,    0.0, 204.0 / 255.0, 1.0,    0.0, 204.0 / 255.0, 1.0};
	
	
    // Shader
	
    Shader shaderCouleur("Shaders/couleur2D.vert", "Shaders/couleur2D.frag");
    shaderCouleur.charger();

	
    // Boucle principale
	
    while(!terminer)
    {
        // Gestion des évènements
		
        SDL_WaitEvent(&m_evenements);
		
        if(m_evenements.window.event == SDL_WINDOWEVENT_CLOSE)
            terminer = true;
		
		
        // Nettoyage de l'écran
		
        glClear(GL_COLOR_BUFFER_BIT);
		
		
        // Activation du shader

        glUseProgram(shaderCouleur.getProgramID());


            // Envoi des vertices
		
            glVertexAttribPointer(0, 2, GL_FLOAT, GL_FALSE, 0, vertices);
            glEnableVertexAttribArray(0);


            // Envoi des couleurs

            glVertexAttribPointer(1, 3, GL_FLOAT, GL_FALSE, 0, couleurs);
            glEnableVertexAttribArray(1);


            // Affichage du triangle

            glDrawArrays(GL_TRIANGLES, 0, 3);


            // Désactivation des tableaux Vertex Attrib

            glDisableVertexAttribArray(1);
            glDisableVertexAttribArray(0);


        // Désactivation du shader

        glUseProgram(0);
		
		
        // Actualisation de la fenêtre
		
        SDL_GL_SwapWindow(m_fenetre);
    }
}

Vous devriez obtenir un triangle coloré :

Image utilisateur

Vous commencez à voir l'intérêt des shaders ? ^^ Bon si vous n'êtes pas convaincus je vais vous montrer une autre façon de colorier notre triangle.

Si chaque sommet possède sa propre couleur alors OpenGL (avec l'aide des shaders) nous fera un joli petit dégradé entre les différentes couleurs. Prenons un exemple, nous allons définir une couleur différente pour chaque sommet :

// Remplaçons les couleurs par les suivantes ...

float couleurs[] = {1.0, 0.0, 0.0,  0.0, 1.0, 0.0,  0.0, 0.0, 1.0};


//... et voyons ce que ça donne;

Vous devriez avoir ceci :

Image utilisateur

Comme vous le constatez, les shaders ont calculé automatiquement la couleur de chaque pixel se trouvant entre les différents sommets.

Cette opération s’appelle l’interpolation. C’est-à-dire qu’OpenGL est capable de trouver la couleur de chaque pixel entre deux sommets ayant une couleur différente. Le gros avantage de l'interpolation c'est que nous ne nous en occupons pas :p . En effet, même si nous définissons nos shaders, nous ne nous occuperons pas de trouver la couleur de chaque pixel. Il nous suffira juste de donner notre code source pour seulement un et OpenGL se chargera de faire la même opération pour tous les autres. Magique n'est-ce pas ? :magicien:

Télécharger : Code Source C++ du Chapitre 4

Exercices

Énoncés

Au même titre que le chapitre précédent, vous avez maintenant le droit à votre petite série d'exercice. Votre objectif va être de colorier différents triangles avec une couleur spécifique.

Exercice 1 : Coloriez le triangle du haut avec les valeurs données ci-dessous :

Exercice 2 : Même consigne que précédemment mais avec les valeurs :

Exercice 3 : Coloriez le triangle uniquement avec la couleur vert (valeur 255.0). Simplifiez le tableau si possible.

Exercice 4 : Reprenez les 3 couleurs précédentes, au lieu de les appliquer au triangle appliquez en une pour chaque vertex. Le résultat final doit ressembler à ceci (ce n'est pas grave si les couleurs ne sont pas dans le même ordre) :

Image utilisateur

Exercice 5 : Le dernier exercice va allier ce que nous avons vu dans le chapitre précédent et celui-ci. L'objectif est d'afficher un losange multicolore avec les couleurs de l'exercice 4, le dernier vertex doit utiliser le bleu (255.0) :

Image utilisateur

Solutions

Exercice 1 :

Le but des exercices est de colorier un triangle, il n'y a donc que le tableau couleurs à modifier. Le reste du code ne change pas, on n'envoie toujours ce tableau à OpenGL grâce au Vertex Attrib 1. Pour ce premier exercice, il fallait trouver :

// Couleurs

float couleurs[] = {240.0 / 255.0, 210.0 / 255.0, 23.0 / 255.0,     // Vertex 1
                    240.0 / 255.0, 210.0 / 255.0, 23.0 / 255.0,     // Vertex 2
                    240.0 / 255.0, 210.0 / 255.0, 23.0 / 255.0};    // Vertex 3

Il ne fallait pas oublier de diviser les valeurs que je vous avais données par 255.0, sinon le code n'aurait pas fonctionné. ;)

Exercice 2 :

Le principe reste le même que le premier exercice, il suffit juste de modifier le tableau couleurs :

// Couleurs

float couleurs[] = {230.0 / 255.0, 0.0, 230.0 / 255.0,     // Vertex 1
                    230.0 / 255.0, 0.0, 230.0 / 255.0,     // Vertex 2
                    230.0 / 255.0, 0.0, 230.0 / 255.0};    // Vertex 3

Exercice 3 :

Encore une fois, on conserve le même principe que les exercices 1 et 2. La couleur demandée n'était que le vert ici, ce qui allège un peu notre tableau :

// Couleurs

float couleurs[] = {0.0, 255.0 / 255.0, 0.0,     // Vertex 1
                    0.0, 255.0 / 255.0, 0.0,     // Vertex 2
                    0.0, 255.0 / 255.0, 0.0};    // Vertex 3

Cependant il y avait un moyen de simplifier cette déclaration. En effet, je vous ai précisé dans le cours que l'on pouvait simplifier les divisions des couleurs brutes (rouge, vert et bleu). Donc au lieu de faire l'opération 255.0 / 255.0, on pouvait directement mettre la valeur 1.0. Ce qui allégeait encore plus le tableau final :

// Couleurs

float couleurs[] = {0.0, 1.0, 0.0,     // Vertex 1
                    0.0, 1.0, 0.0,     // Vertex 2
                    0.0, 1.0, 0.0};    // Vertex 3

Exercice 4 :

Le but de ce dernier exercice était bien évidemment d'appliquer chacune des couleurs mises en place précédemment sur un vertex en particulier. Nous avions déjà vu ce principe avec l'exemple du triangle multicolore :

float couleurs[] = {240.0 / 255.0, 210.0 / 255.0, 23.0 / 255.0,    // Vertex 1
                    230.0 / 255.0, 0.0, 230.0 / 255.0,             // Vertex 2
                    0.0, 1.0, 0.0};                                // Vertex 3

L'ordre des couleurs n'est pas important ici, ce n'est pas quelque chose de demandé.

Exercice 5 :

La seule difficulté ici était qu'il fallait reprendre la couleur de deux vertices pour le second triangle. En effet, ceux-ci sont doubler pour pouvoir afficher le triangle du bas, il fallait donc doubler leur couleur :

// Couleurs

float couleurs[] = {240.0 / 255.0, 210.0 / 255.0, 23.0 / 255.0,     // Vertex 1
                    230.0 / 255.0, 0.0, 230.0 / 255.0,              // Vertex 2
                    0.0, 1.0, 0.0,                                  // Vertex 3

                    240.0 / 255.0, 210.0 / 255.0, 23.0 / 255.0,     // Vertex 4 (Copie du 1)
                    0.0, 0.0, 1.0,                                  // Vertex 5
                    0.0, 1.0, 0.0};                                 // Vertex 6 (Copie du 3)

Il faut bien faire correspondre votre couleur avec votre vertex pour avoir un bon affichage. ;)

D'ailleurs, le tableau de vertices ne change absolument pas par rapport à avant.

// Vertices

float vertices[] = {-0.5, 0.0,   0.0, 1.0,   0.5, 0.0,          // Triangle 1
                    -0.5, 0.0,   0.0, -1.0,   0.5, 0.0};        // Triangle 2

Pensez à bien affecter la valeur 6 au paramètre count de la fonction glDrawArrays() pour afficher vos deux triangles, sinon elle n'en prendra en compte qu'un seul :

// Affichage des triangles

glDrawArrays(GL_TRIANGLES, 0, 6);

Ce chapitre (un peu compliqué je vous l'accorde) est enfin terminé. Vous savez maintenant ce que sont les shaders et à quoi ils servent. Je pense faire une partie entièrement consacrée aux effets assez sympas que l'on peut réaliser, mais bon ce n'est pas pour maintenant. ;)


Utilisation des shaders Les matrices

Les matrices

Un peu de couleurs Introduction

Alors là, nous allons aborder un chapitre assez compliqué. Nous allons découvrir ce que sont les matrices avec OpenGL, leur utilité, etc... C'est un chapitre assez technique et surtout rempli de mathématiques :-° . Je vous conseille de bien le relire plusieurs fois jusqu'à que vous ayez tout compris, car les matrices sont indispensables avec OpenGL. ;)

Introduction

Les matrices Partie théorique

Lançons nous tout de suite dans le monde des mathématiques. Je vous rappelle que si vous voulez développer des jeux-vidéo vous ne pouvez pas éviter les maths, elles sont indispensables au bon fonctionnement du jeu. Les premières notions que nous allons apprendre sont les transformations.

Qu'est-ce qu'une transformation vous allez me dire ? Au lieu d'une définition barbante que nous n'allons point retenir ( :p ) je vais vous donner des exemples de transformations et vous comprendrez tout de suite ce que c'est :

Une transformation est donc grosso-modo une modification apportée à un ensemble de points ou repère dans un espace donné (soit 2D, soit 3D, etc ...). Les 3 transformations que vous voyez là sont les principales transformations utilisées dans OpenGL, en particulier la translation.

Ok, on sait ce qu'est une transformation maintenant, mais à quoi ça sert ?

Elles vont nous servir à placer tous nos objets (personnages, arbres, maisons, ...) dans notre monde 3D. A chaque fois que nous voudrons placer un objet nous utiliserons les transformations. Elles seront essentiellement utilisées sur le repère.

Les matrices sous OpenGL 2.1

Avant de parler du fonctionnement des matrices dans la version 3, je vais vous parler de celui des anciennes versions, ce sera plus facile à comprendre. De plus le principe ne change absolument pas d'une version à l'autre.
Tout d'abord, qu'est-ce qu'une matrice ? C'est un tableau de nombres ordonnés en lignes et en colonnes entourés par des parenthèses. Sa syntaxe est semblable à celle d'un vecteur mais avec plus de nombres :

Image utilisateur

Une matrice n'est pas forcément un tableau de 9 cases, elle peut en contenir jusqu'à l'infini. Cependant ce n'est pas qu'un simple tableau, c'est une sorte de super-vecteur qui permet de faire pas mal de choses intéressantes. Un vecteur est en général utilisé en 3D pour gérer les points, les directions, les normales... Les matrices permettent de faire bien plus que ça. Elles servent principalement à convertir des données géométriques en données numériques. Il est plus facile de travailler avec des nombres qu'avec des compas et des équerres placés sur notre écran. :p Voyons d'ailleurs pourquoi OpenGL a besoin des matrices :

Ce sont les besoins fondamentaux d'OpenGL pour utiliser la 3D. Dans les anciennes versions, les matrices étaient gérées automatiquement, on n'utilisait que quelques fonctions pour les créer et les utiliser. Depuis la version 3.1, ces fonctions sont supprimées, car l'approche des jeux d'aujourd'hui est différente. Heureusement pour nous, nous avons en notre possession une librairie mathématique du nom de GLM qui permet de gérer les matrices (et bien plus), mais avant de commencer à les manipuler nous allons faire un peu de théorie pour bien comprendre ce que nous faisons.

En définitif, nous aurons besoin de deux matrices pour coder avec OpenGL :

Chaque vertex sera multiplié par ces deux matrices pour pouvoir être affiché sur notre écran, le tout en nous donnant une impression de 3D (magique n'est-ce pas :magicien: ).


Les matrices Partie théorique

Partie théorique

Introduction Transformations au niveau matricielle

Dans cette partie nous allons apprendre ce que sont les matrices et comment les utiliser pour nos programmes. Pour simplifier cet apprentissage, je ne vais vous montrer que la multiplication de matrices car c'est une notion que nous retrouverons assez souvent dans ce tuto. De plus, cela vous donnera une bonne idée des calculs matriciels sans pour autant voir les choses les plus compliquées (inversion, déterminant, etc.). :p

Matrice carrée

On commence tout de suite cette partie par les matrices carrées.

Une matrice carrée est une matrice ayant le même nombres de colonnes et de lignes :

Image utilisateur

Il y a 3 rangées de colonnes et 3 rangées de lignes, c'est donc ce que l'on appelle une matrice carrée. Son nom complet est d'ailleurs : matrice carrée d'ordre 3. Le chiffre à la fin permet de spécifier la taille. Si on avait mis le chiffre 4, alors la matrice aurait eu 4 colonnes et 4 lignes. Nous n'utiliserons que les matrices carrées dans OpenGL. Et tant mieux, car ça simplifie grandement les choses :-° .

Matrice d'identité

Sous ce nom barbare se cache en réalité la matrice la plus simple qu'il soit. Elle a la particularité d'avoir toutes ses valeurs égales à 0 hormis les valeurs de sa diagonale qui, elles, sont égales à 1. Quelle que soit la taille de la matrice, on retrouvera toujours cette particularité :

Image utilisateur
Image utilisateur

Si nous multiplions un vecteur par une telle matrice, le vecteur ne sera absolument pas changé :p :

Image utilisateur

Nous allons étudier la multiplication matricielle dans un instant. Mais vous pouvez déjà retenir ce principe : si un vecteur est multiplié par une matrice d'identité, alors il ne sera pas modifié.

Multiplication d'un vecteur par une matrice

Partie 1 : la vérification

Dans ce premier exemple, je vais prendre une matrice carrée d'ordre 3 pour simplifier les choses. Sachez cependant que le principe est le même quelle que soit la taille de la matrice.

Image utilisateur

Voyons comment arriver à ce résultat.
Premièrement, il faut vérifier que le nombre de colonnes de la matrice soit égal au nombre de coordonnées du vecteur. Si ce n'est pas le cas alors la multiplication est impossible.

Image utilisateur

La matrice possède 3 colonnes et le vecteur possède 3 coordonnées. La multiplication est donc possible.

Prenons un autre exemple :

Image utilisateur

La matrice possède 2 colonnes et le vecteur 3 coordonnées. La multiplication est impossible.
Vous avez compris le principe ? Bien, passons à la suite.

Partie 2 : La multiplication

Attaquons la partie la plus intéressante :diable: . La multiplication d'une matrice et d'un vecteur s'effectue comme ceci : pour une seule coordonnée (x, y, ou z) du vecteur résultat, nous allons faire la somme des multiplications de chaque nombre d'une ligne de la matrice par chaque nombre correspondant du vecteur. Un peu barbant comme explication, rien ne vaut un bon exemple :

Commençons déjà par la première ligne, vous devriez comprendre le principe une fois cet exemple fini :

Image utilisateur

Il faut multiplier les nombres de même couleur sur le schéma, puis additionner les différents résultats. Une ligne de la matrice ne donnera qu'une seule coordonnée du vecteur résultat, ici la coordonnée x. Passons à la deuxième ligne :

Image utilisateur

Vous comprenez le principe ? La première ligne nous a donné la première coordonnée, la deuxième ligne nous donne la deuxième coordonnée. Nous multiplions chaque ligne de la matrice par toutes les valeurs du vecteur. Passons à la troisième ligne :

Image utilisateur

La troisième ligne de la matrice nous donne la troisième coordonnée. Si la matrice avait eu 4 lignes (et donc 4 colonnes) alors il y aurait eu une quatrième opération du même type pour la quatrième coordonnée. Si on récapitule tout ça, on a :

Image utilisateur

Vous avez compris ? Je vous donne un autre exemple pour comparer les différents résultats :

Image utilisateur

N'hésitez pas à bien relire et essayez de comprendre ces deux exemples. C'est la base de la multiplication matricielle.

Passons à un pseudo-exemple, vous n'avez pas oublié ce qu'est la matrice d'identité j'espère :p , on sait qu'un vecteur multiplié par cette matrice ne changera pas. Maintenant que l'on connait un peu la multiplication on va voir pourquoi le vecteur n'est pas modifié :

Image utilisateur

Oh magie, le résultat ne change pas. Vous comprenez pourquoi cette matrice est la plus simple à utiliser. ;)
Je vais maintenant vous donner un exemple de multiplication avec une matrice carrée d'ordre 4. Le principe ne change absolument pas, nous allons voir cet exemple étape par étape pour bien comprendre. Commençons :

Image utilisateur

La matrice possède 4 colonnes et le vecteur 4 lignes, la multiplication est possible. Maintenant on passe à la première étape :

Image utilisateur

Vous ne voyez qu'une seule différence : on ajoute à la somme une multiplication supplémentaire. En effet, n'oubliez pas que l'on multiplie les nombres de la matrice avec les nombres correspondants du vecteur. Pour la deuxième ligne c'est pareil :

Image utilisateur

Pour la troisième ligne ça ne change pas :

Image utilisateur

Ah, une quatrième ligne, eh bien oui c'est plus long :p . Mais ça ne change toujours pas :

Image utilisateur

Ce qui nous donne au final :

Image utilisateur

Vous voyez, le principe de la multiplication ne change absolument pas.

Piouf, cette partie était un peu difficile à comprendre. Je vais vous donner quelques exercices pour vous entrainer à la multiplication. Faites-les sérieusement, vous avez besoin de comprendre ce que l'on vient de faire pour comprendre la suite. Sinon vous serez complétement largués :( .

Exercices de multiplications

Exercice 1 :

Image utilisateur

Exercice 2 :

Image utilisateur

Exercice 3 :

Image utilisateur

Solutions

Exercice 1 :

Image utilisateur

Exercice 2 :

La multiplication est impossible, la matrice possède 3 colonnes alors que le vecteur possède 4 coordonnées.

Exercice 3 :

Image utilisateur

Multiplication de deux matrices

La multiplication de deux matrices peut sembler plus compliquée à première vue mais si vous avez compris ce que l'on a fait avant, alors vous savez déjà multiplier deux matrices.

Partie 1

Avant tout, pour pouvoir multiplier deux matrices carrées entre-elles il faut absolument que les deux matrices soient de la même taille (donc du même ordre), c'est-à-dire qu'elles doivent avoir le même nombre de lignes et le même nombre de colonnes.

Image utilisateur

Les deux matrices ont la même taille, on peut donc les multiplier.
Prenons un autre exemple :

Image utilisateur

Ici, les deux matrices n'ont pas la même taille nous ne pouvons pas les multiplier.
Il ne devrait y avoir rien de compliqué pour le moment. :)

Partie 2

Pour pouvoir multiplier deux matrices carrées, nous allons utiliser une petite combine. Nous allons couper la deuxième matrice en 3 vecteurs (ou 4 selon la taille), puis nous appliquerons la multiplication que nous avons vue à l'instant pour chacun de ces vecteurs. Prenons deux matrices cobayes :

Image utilisateur

Bien, coupons la seconde matrice en 3 vecteurs :

Image utilisateur

Maintenant il nous suffit d'appliquer la multiplication d'une matrice et d'un vecteur pour chaque vecteur que nous venons de créer. Voici ce que ça donne pour le premier :

Image utilisateur

Au tour du deuxième :

Image utilisateur

Quand il y a un "0" dans une matrice ça nous facilite grandement le calcul :lol: . Bref, on fait la même chose avec le dernier vecteur :

Image utilisateur

Nous obtenons au final 3 vecteurs fraichement calculés. Il nous suffit ensuite de les assembler dans l'ordre de la division de la matrice !

Image utilisateur

Au final, nous obtenons :

Image utilisateur

Vous voyez, une fois que vous avez compris la première multiplication, vous savez déjà multiplier deux matrices.
Évidemment, la taille de la matrice ne change toujours pas le principe, voyons ensemble un exemple de multiplication de deux matrices carrées d'ordre 4.

Image utilisateur

Coupons la seconde matrice en 4 vecteurs (et oui car c'est une matrice carrée d'ordre 4 et pas 3) :

Image utilisateur

Il nous suffit maintenant d'appliquer la multiplication "Matrice - Vecteur" sur les 4 vecteurs que nous venons de créer. Voici le premier résultat :

Image utilisateur

Puis le second :

Image utilisateur

Le troisième :

Image utilisateur

Et enfin le quatrième et dernier vecteur :

Image utilisateur

Maintenant on réunit les vecteurs résultats dans le bon ordre :

Image utilisateur

Voici donc le résultat final :

Image utilisateur

Vous remarquez que la multiplication se passe exactement de la même façon que l'on soit en présence de matrices à 3 colonnes ou à 4 colonnes ou même à 1000 colonnes :p . Passons maintenant à quelques exercices pour vous entrainer. C'est important je le répète, essayez de faire ces exercices sérieusement.

Exercices de multiplications

Exercice 1 :

Image utilisateur

Exercice 2 :

Image utilisateur

Exercice 3 :

Image utilisateur

Solutions

Exercice 1 :

La multiplication est impossible, la première matrice possède 4 lignes et 4 colonnes alors que la seconde matrice ne possède que 3 lignes et 3 colonnes.

Exercice 2 :

Image utilisateur

Exercice 3 :

Image utilisateur

Et voilà, la partie la plus compliquée de ce chapitre est enfin terminée ! La multiplication matricielle est une notion difficile à comprendre (même s'il en existe bien d'autres plus complexes) mais vous êtes maintenant capables de la maitriser. :D


Introduction Transformations au niveau matricielle

Transformations au niveau matricielle

Partie théorique Transformations au niveau géométrique

Le but de la partie précédente était d'apprendre à multiplier deux matrices. J'ai volontairement inclus des exercices avec des matrices carrées d'ordre 4 car OpenGL aura besoin la plupart du temps de ce genre de matrices (et heureusement !). Dans cette partie, nous allons faire passer les transformations de la géométrie à l'algèbre (les nombres).

Comme vous le savez les transformations sont des outils géométriques, pour calculer une rotation par exemple nous avons besoin d'un rapporteur. Or c'est un peu compliqué de poser notre rapporteur sur l'écran, surtout si l'angle se trouve derrière le dos d'un personnage :lol: . Pour pouvoir utiliser les transformations numériquement nous devons utiliser... les matrices. ;)

La translation

La translation permet de déplacer un ensemble de points ou une forme dans un espace donné. En gros, on prend un vecteur qui servira de "rail" puis on fera glisser nos points sur ce rail. La forme finale ne sera pas modifiée, elle sera juste déplacée. :)

Une translation en 3 dimensions se traduit par la matrice suivante :

Image utilisateur

Vous remarquerez que cette matrice ressemble beaucoup à la matrice d'identité, il n'y a que les coordonnées du vecteur en plus.

L'homothétie

Une homothétie permet d'agrandir ou de réduire une forme géométrique, voici la matrice correspondante :

Image utilisateur

La rotation

Attention ! La matrice que vous allez voir est certainement la matrice la plus compliquée de tout le tutoriel :p . Cependant, il est inutile de la retenir, elle est trop complexe nous la verrons jamais directement :

Image utilisateur

Je vous avais dit que cette matrice était... particulière (pour vous dire, je ne la connais pas par cœur moi-même). Grâce à elle, nous pouvons faire pivoter en ensemble de points d'un angle thêta autour d'un axe défini par les coordonnées (x, y, z). Nul besoin de retenir cette matrice, je le répète. ;)


Partie théorique Transformations au niveau géométrique

Transformations au niveau géométrique

Transformations au niveau matricielle La troisième dimension (Partie 1/2)

Durant l'introduction, je vous ai brièvement parlé de deux matrices : la projection (qui permet de convertir un monde 3D en un monde 2D affichable sur notre écran) et la modelview (qui permet de placer nos objets dans ce même monde 3D).

C'est sur cette dernière matrice que l'on effectuera toutes les transformations que l'on a vues, à savoir : la translation, la rotation et l'homothétie. Voyons d'ailleurs comment placer un objet dans un monde 3D :

Voyons ce que cela donne si je fais pivoter un triangle de 90°...

Voici un triangle avant la rotation :

Image utilisateur

Et le revoilà après :

Image utilisateur

Vous voyez ce qui c'est passé ? Le triangle a pivoté de 90° grâce à une transformation.

Les Transformations sous OpenGL

Aaahh... on commence à relier OpenGL et les mathématiques (enfin !). Il est temps de voir le comportement des transformations dans un programme.

La première chose à savoir est que chaque transformation (rotation, ...) sera effectuée non pas sur un objet mais sur le REPÈRE du monde, c'est-à-dire que si l'on veut faire pivoter un objet de 120° alors il faudra faire pivoter non pas l'objet en lui-même mais son REPÈRE.

Par exemple, si vous voulez afficher un objet à 300 mètres d'un autre, vous n'allez pas ajouter 300 unités de longueur à chaque vertex de l'objet, autant garder les vertices déjà définis.

Hein ??? J'ai rien compris. o_O

Bon, mettons que vous ayez un méchant soldat ennemi de 500 vertices. Vous n'allez pas modifier ses 500 vertices pour afficher un autre ennemi deux mètres plus loin. Ça serait trop couteux en ressources, surtout si vous affichez une armée de 200 soldats...

A la place, on modifiera la position du repère (qui est en fait la matrice modelview) pour chaque objet que l'on veut dessiner. Un personnage gardera ses 500 vertices intactes quelque soit sa position.

Vous voyez la différence entre modifier toute une scène de dizaines de milliers de vertices et modifier une matrice de 16 valeurs.

Illustrations

Je vais vous donner quelques exemples de transformations effectuées sur un repère, ce sera plus simple à comprendre si vous voyez ce que donne chaque transformation.

Le repère de base

Le repère de base est en fait un repère qui n'a pas encore été modifié, c'est sur celui-ci que l'on effectuera notre première transformation. Graphiquement, on représente un repère comme ceci :

Image utilisateur

Au niveau des matrices, ce repère correspond simplement à une matrice d'identité d'ordre 4 :

Image utilisateur

La translation

La translation est la transformation la plus simple :p . N'oubliez pas que c'est le REPÈRE qui est modifié. Ici, on translate le repère par rapport au vecteur V(2, 1), soit deux unités de longueur sur l'axe X et 1 unité sur l'axe Y :

Image utilisateur

Avec les matrices on multiplierait la matrice modelview par la matrice de translation suivante :

Image utilisateur

La rotation

Le principe ne change pas pour la rotation, on effectue la transformation sur le repère. Voici un exemple d'une rotation de 45° sur l'axe Z :

Image utilisateur

Pour la rotation, on multipliera la matrice modelview par la matrice de rotation (toujours aussi effrayante :diable: ) :

Image utilisateur

L'homothétie

En temps normal, avec une homothétie on modifie la taille d'une forme géométrique. Sauf qu'ici on modifie la taille du repère, donc on modifie la taille de chaque unité de longueur. Voici ce que donne une homothétie de coordonnées (2, 2) sur le repère :

Image utilisateur

Vous voyez que la taille du repère à changé, désormais si on fait une translation par un vecteur(2, 1) alors la translation sera plus grande et le repère se retrouvera plus loin.

Pour ce qui est de la matrice modelview, il suffira de la multiplier par la matrice suivante :

Image utilisateur

Les matrices et la boucle principale

Vous n'êtes pas sans savoir qu'un jeu se passe en grande partie dans ce que l'on appelle la boucle principale, c'est une boucle qui va se répéter indéfiniment jusqu'à ce que le joueur arrête de jouer (enfin pas vraiment, mais partons de ce principe).

Il faudra à chaque tour de boucle réinitialiser la matrice modelview pour ne pas qu'elle garde les traces de transformations du tour précédent. Si c'était le cas, le jeu ne se redessinerait jamais au même endroit et serait totalement difforme.

Voici ce qui se passera à chaque tour de boucle :

Toutes ces étapes se répèteront indéfiniment dans notre programme. En général, on affiche tous les objets d'un niveau 50 à 60 fois par seconde, imaginez le fourbi que l'ordinateur doit calculer. :p

Accumulation de transformations

Attention, de même que l'ordre des matrices dans la multiplication, l'ordre des transformations a une importance capitale ! Si vous effectuez une translation puis une rotation, vous n'obtiendrez pas la même chose que si vous faisiez une rotation et une translation.

Comme d'habitude prenons un petit exemple. Dans un premier temps, je vais faire une translation du repère par rapport au vecteur V(2, 1), puis une rotation de 90° sur l'axe Z (l'axe Z est en fait pointé vers nous, c'est pour ça que nous ne le voyons pas) :

Image utilisateur

Maintenant je vais l'inverse, une rotation de 90° puis une translation de vecteur (2, 1) :

Image utilisateur

Oh tiens ! Les repères ne sont pas les mêmes. Et oui, les repères sont différents car l'ordre des transformations est important. Faites donc bien attention à ce que vous voulez faire et à l'ordre dans lequel effectuer ces transformations. ;)

Enfin ce chapitre est terminé, il nous aura fallu du temps mais n’oubliez pas que tout ce que je vous enseigne est nécessaire pour comprendre et utiliser OpenGL. Récapitulons ce que nous savons faire :

Bonne nouvelle ! Nous connaissons tout ce qui est nécessaire pour ajouter une troisième dimension à nos programmes. Il est d'ailleurs temps mes amis, attaquons-nous à cette nouvelle dimension qui s'offre à nous ! :pirate:


Transformations au niveau matricielle La troisième dimension (Partie 1/2)

La troisième dimension (Partie 1/2)

Transformations au niveau géométrique La matrice de projection

Le chapitre précédent était un peu compliqué. Mais grâce à lui, nous sommes maintenant capables d'utiliser les transformations pour façonner un monde 3D. Dans ce nouveau chapitre, nous allons mettre en commun ce que l'on sait sur OpenGL avec ce que l'on a appris concernant les matrices.

J'ai préféré diviser ce chapitre en deux parties, étant donné que nous allons aborder pas mal de nouvelles notions. Dans cette première partie, nous allons nous concentrer sur l'implémentation des matrices dans notre programme, puis dans la seconde partie, nous implémenterons la troisième dimension et surtout nous apprendrons à l'utiliser ! :p

La matrice de projection

La troisième dimension (Partie 1/2) Utilisation de la projection

Présentation

Dans le chapitre précédent, nous avons vu ce qu'étaient les matrices ainsi que leur fonctionnement. Nous nous sommes surtout concentrés sur la matrice modelview qui permet de placer nos objets dans un monde 3D. Les transformations que nous avons vues (translation, rotation et homothétie) sont appliquées sur elle.

Dans ce chapitre-la maintenant, nous allons nous concentrer sur une autre matrice : la matrice de projection.

Sa seule utilité est de permettre l'affichage d'un monde 3D sur notre écran qui lui ne possède que 2 dimensions. Cependant, vous vous imaginez bien que ce processus n'est pas aussi simple que cela, on a quand même besoin de quelques paramètres pour permettre une telle opération.

Pour expliquer son fonctionnement, je vais prendre une bonne vieille fonction connue des habitués d'OpenGL : la fonction gluPerspective().

Euh ouai, mais moi je viens ici pour apprendre OpenGL, je ne connais pas cette fonction. :colere2:

Ne vous inquiétez pas, je vais vous expliquer le fonctionnement de cette fonction en détails, et j'ai plutôt intérêt à le faire étant donné que nous allons la recoder entièrement. :p

Comme je vous l'ai dit dans les chapitres précédents, une bonne partie des anciennes fonctions d'OpenGL a disparu avec la nouvelle version. La fonction gluPerspective a elle aussi disparu (indirectement). Il nous faudra donc la coder de nos propres mains. Et pour vous faciliter la tâche, je vais vous expliquer en détails son fonctionnement.

Premièrement, voici le prototype de la fonction :

void gluPerspective(double angle, double ratio, double near, double far);

Hum tout plein de paramètres intéressants ^^ . Je vais commencer par les deux derniers paramètres : near et far.

Near

Le paramètre Near correspond à la distance entre votre écran et ce qui sera affiché.

Image utilisateur

La petite zone entre l'écran et la plaque est une zone où rien ne sera affiché. Même s'il y a un objet dans cet intervalle il ne sera pas affiché.

Pourquoi me direz-vous ? Simplement parce que les mathématiques nous l'imposent, il nous faut obligatoirement une zone non-affichable pour que le calcul de la projection puisse s'effectuer. Il se passe la même chose avec la division par zéro, c'est impossible. Il faut obligatoirement que le dénominateur soit au moins un peu plus grand (ou plus petit mais on s'en moque) que zéro.

Le paramètre near représente donc ce petit intervalle nécessaire au calcul de la projection.

Far

Le paramètre far est un peu plus simple, on peut dire que c'est l'inverse de near.

C'est également une distance entre votre écran et ce qui sera affiché. La différence est que tout objet se trouvant au delà de cette distance ne sera pas affiché.

Image utilisateur

Au final, pour qu'un objet puisse s'afficher sur l'écran, il faut qu'il se situe entre les zones near et far, sinon il ne sera pas affiché.

Ratio

Je pense que vous avez tous entendu parler des télévisions 4/3 (quatre tiers) et 16/9 (seize neuvièmes). Le ratio est le rapport entre la longueur de la télé et sa hauteur. Dans la plupart des cas nous avons soit un ratio de 4/3 soit un ratio de 16/9, voire 16/10 pour les jeux-vidéo.

Pour nous, le ratio s'appliquera à la fenêtre SDL que l'on a codée. Dans le chapitre 3, nous avions créé une fenêtre de 800 pixels par 600 pixels. Le ratio sera donc de 800/600, et si on simplifie la fraction on a un ratio de 4/3.

Dans les jeux-vidéo, on propose généralement plusieurs modes d'affichage afin de s'adapter à l'écran du joueur. En effet, tous les joueurs n'ont pas forcément le même écran. Nous donnerons au final comme paramètre la division entre la longueur de la fenêtre SDL et sa hauteur.

Angle

Ce paramètre est le plus spécial de la fonction. C'est en fait l'angle de vue avec lequel nous allons voir la scène. Plus cet angle sera petit, plus on aura l'impression de faire un effet de zoom sur la scène. Et à l'inverse, plus il sera grand, plus on aura l'impression que la scène s'éloigne et se déforme.

Voici trois exemples de la même scène avec trois angles de vue différents :

Image utilisateur
Image utilisateur
Image utilisateur

Merci à Kayl pour sa scène de test. ^^
Dans la première image, on utilise un angle de 70°, dans la deuxième un angle de 30° et dans la troisième un angle de 100°.

L'avantage d'un angle plus petit est que l'on a l'impression de faire un zoom de jumelle ou de sniper ;) . A l'inverse, un angle plus grand créera une ambiance plus particulière, mais ce genre d'angle s'utilise rarement.

En général, l'angle de vision "normal" est de 70° (70 degrés) et c'est d'ailleurs ce que l'on mettra dans notre code.

Utilisation de la librairie GLM

Dans les précédentes versions d'OpenGL, il existait une multitude de fonctionnalités mathématiques qui étaient gérées par OpenGL même, les matrices en faisait évidemment partie. Cependant, ces fonctionnalités sont maintenant supprimées et il faut trouver un autre moyen de gérer nos matrices nous-même.

Heureusement pour nous, il existe une librairie qui s'appelle GLM (pour OpenGLMathematics). Vous l'avez déjà téléchargée normalement donc vous n'avez rien à faire. Cette librairie nous permet d'utiliser les matrices, et bien plus encore, sans avoir à nous soucier de tout programmer à la main. Elle inclut même certaines fonctions dépréciées comme gluPerspective(). :)

Nous allons donc utiliser GLM pour simuler toutes les fonctions dont nous aurons besoin.


La troisième dimension (Partie 1/2) Utilisation de la projection

Utilisation de la projection

La matrice de projection Exemples de transformations

Inclusion des matrices

Toutes ces belles matrices (que vous adorez j'en suis sûr :p ) ne nous servent pas à grand chose pour l'instant. Nous allons maintenant les intégrer dans notre code OpenGL pour enfin voir ce qu'elles ont véritablement dans le ventre.

Reprenons le code de la boucle principale que nous avons laissé au chapitre 4 :

void SceneOpenGL::bouclePrincipale()
{
    // Variables
	
    bool terminer(false);
    float vertices[] = {-0.5, -0.5,   0.0, 0.5,   0.5, -0.5};
    float couleurs[] = {1.0, 0.0, 0.0,  0.0, 1.0, 0.0,  0.0, 0.0, 1.0};
	
	
    // Shader
	
    Shader shaderCouleur("Shaders/couleur2D.vert", "Shaders/couleur2D.frag");
    shaderCouleur.charger();
	
	
    // Boucle principale
	
    while(!terminer)
    {
        /* ***** Code d'affichage ***** */
    }
}

Je n'ai pas mis tout le code, seule cette partie nous intéresse pour le moment.

Les en-têtes de GLM

Vous savez maintenant que l'on a besoin de deux matrices pour faire fonctionner un jeu 3D : la matrice de projection et la modelview. Nous allons donc les déclarer dans notre code grâce à librairie GLM.

Pour commencer, veuillez inclure les en-têtes suivants dans le fichier SceneOpenGL.h qui permettent à notre programme d'utiliser les matrices :

// Includes OpenGL

....


// Includes GLM

#include <glm/glm.hpp>
#include <glm/gtx/transform.hpp>
#include <glm/gtc/type_ptr.hpp>


// Autres includes

#include <SDL2/SDL.h>
#include <iostream>
#include <string>
#include "Shader.h"

La première inclusion permet d'utiliser les fonctionnalités principales de GLM, la deuxième les transformations et la dernière permet de récupérer les valeurs des matrices (nous verrons cela dans un instant).

Elle est bizarre ton extension c'est marqué .hpp c'est normal ?

Oui tout à fait. :)

La particularité de GLM c'est qu'elle est codée directement dans les headers, il n'y a pas de librairie pré-compilée comme la SDL par exemple. Grâce à ce système, GLM est compatible avec toutes les plateformes et il n'y a pas besoin de fournir de fichier spécifique pour Linux, Windows, etc. Ni même pour compilateur (.a, .dll, etc.)

Inclusion des matrices

Après toute cette théorie nous pouvons enfin coder nos premières matrices. L'objectif est de créer deux matrices du nom de projection et modelview.

Pour cela, nous allons déclarer deux objets de type mat4, pour matrice carrée d'ordre 4. Il faut utiliser le namespace glm en même temps que la déclaration :

// Matrices projection et modelview

glm::mat4 projection;
glm::mat4 modelview;

Tous les objets et méthodes de GLM doivent utiliser le namespace glm. Pour éviter d'avoir à le taper à chaque fois, ajoutez la ligne de code suivante dans chaque classe où vous utiliser les matrices :

// Permet d'éviter la ré-écriture du namespace glm::

using namespace glm;

Avec cette ligne de code, la déclaration des matrices devient :

// Matrices projection et modelview

mat4 projection;
mat4 modelview;

Maintenant que les matrices sont déclarées, nous allons pouvoir les initialiser.

La matrice projection

Occupons-nous d’abord de la projection. Dans la partie précédente, nous avons parlé d'une ancienne fonction du nom de gluPerspective(). Celle-ci a disparu avec OpenGL 3 mais GLM l'a gentiment recoder pour nous sous la forme d'une méthode, voici son prototype :

mat4 perspective(double angle, double ratio, double near, double far);

On remarque qu'elle contient exactement les mêmes paramètres, pratique n'est-ce pas ? La seule différence est qu'elle renvoie un objet de type mat4, cet objet doit être affecté à la matrice projection.

Nous appellerons cette méthode avec les paramètres suivants :

Voici son appel :

// Matrices

mat4 projection;
mat4 modelview;


// Initialisation

projection = perspective(70.0, (double) m_largeurFenetre / m_hauteurFenetre, 1.0, 100.0);

La matrice modelview

Pour la matrice modelview c'est un peu plus simple. Pour l'initialiser, nous allons leur donner les valeurs d'une matrice d'identité (avec les 1 en diagonale). Elle ne doit pas avoir que des valeurs nulles car si nous multiplions des vecteurs par des 0, il risquerait d'y avoir un gros problème avec notre scène finale. :-°

Pour cela, nous allons utiliser un constructeur qui ne demande qu'une seule valeur : la valeur 1.0.

// Matrices

mat4 projection;
mat4 modelview;


// Initialisation

projection = perspective(70.0, (double) m_largeurFenetre / m_hauteurFenetre, 1.0, 100.0);
modelview = mat4(1.0);

Le constructeur sait tout seul qu'il doit utiliser une matrice d’identité, cela éviter d'avoir à écrire toutes les valeurs à la main pour mettre des 1.0 en diagonal. :p

La boucle principale

Vous vous souvenez qu'au début du chapitre je vous ai parlé du comportement des matrices avec la boucle principale du programme ? Je vous avais dit qu'à chaque tour de boucle, il fallait réinitialiser la matrice modelview pour ne pas avoir les anciennes valeurs du tour précédent.

Cette réinitialisation se fait exactement de la même façon que l'initialisation. C'est-à-dire que l'on affecte le résultat du constructeur mat4(1.0) à la matrice modelview. Nous devons faire ceci juste après le nettoyage de l'écran :

while(!terminer)
{
    // Gestion des évènements

    SDL_WaitEvent(&m_evenements);
		
    if(m_evenements.window.event == SDL_WINDOWEVENT_CLOSE)
        terminer = true;


    // Nettoyage de l'écran

    glClear(GL_COLOR_BUFFER_BIT);


    // Réinitialisation de la matrice modelview

    modelview = mat4(1.0);
}

Interaction entre le programme et les matrices

Notre code OpenGL devient de plus en plus beau :D . Mais les matrices ne nous servent toujours pas à grand chose elles n'interagissent toujours pas avec notre programme.

Je ne vais pas m'étaler sur le sujet pour le moment, mais sachez que l'interaction entre les matrices et le programme se fait dans le shader. C'est lui qui va faire tous les calculs pour projeter le monde 3D sur notre écran.

Pour le moment, le shader que nous avons chargé (couleur2D) est incapable de gérer la projection, il faut en charger un autre. Si vous n'avez rien modifié dans le dossier "Shaders" du chapitre 4, vous devriez trouver des codes sources qui s'appellent couleur3D.vert et couleur3D.frag(à ne pas confondre avec couleur2D). Si vous ne trouvez pas ces fichiers, re-téléchargez le dossier complet depuis le chapitre 4.

À la différence du premier shader, couleur3D est, lui, capable de gérer la projection. Nous allons donc le charger à la place de son prédécesseur :

// Shader gérant la couleur et les matrices

Shader shaderCouleur("Shaders/couleur3D.vert", "Shaders/couleur3D.frag");
shaderCouleur.charger();

Ne vous inquiétez pas si le fragment shader ne change pas, c'est normal. ;)

Le shader n'est pas le seul à devoir changer, les vertices doivent elles aussi subir une modification. Il faut leur ajouter une troisième dimension pour les rendre compatibles avec la projection.

Ça veut dire que nos triangles seront en 3D ?

Oui et non ... En fait, ils sont en 3D mais pour le moment nous sommes mal placés pour les voir de cette façon. Nous verrons dans la deuxième partie de ce chapitre comment "bien se placer". Ne vous inquiétez pas ça arrivera très vite. ;)

Bref au final, il suffit d'ajouter la coordonnée Z à tous les vertices pour qu'ils soient en 3D. Nous mettrons la valeur -1 pour le moment :

float vertices[] = {-0.5, -0.5, -1.0,   0.0, 0.5, -1.0,   0.5, -0.5, -1.0};

Vu que nous ajoutons une coordonnée à nos vertices, il va falloir modifier un paramètre dans la fonction glVertexAttribPointer. Le paramètre size permet de spécifier la taille d'un vertex, donc son nombre de coordonnées. On le passe désormais à 3 car nous avons 3 coordonnées :

glVertexAttribPointer(0, 3, GL_FLOAT, GL_FALSE, 0, vertices);

Revenons à notre shader, vu que c'est lui qui gère les calculs de projection, il va falloir lui envoyer les matrices que nous avons déclarées pour qu'il puisse travailler correctement. L'envoi de matrice au shader se fait avec cette fonction :

glUniformMatrix4fv(GLint location, GLsizei count, GLboolean transpose, const GLfloat* value);

Je vous expliquerai en détails le fonctionnement de cette fonction dans le chapitre sur les shaders. Sachez juste qu'elle nous permet d'envoyer nos matrices au shader.

Nous lui enverrons ces valeurs :

Grâce à cette fonction, notre shader va pouvoir travailler avec les matrices que nous avons déclarées dans le main.

Nous appellerons cette fonction deux fois vu que nous avons deux matrices à envoyer. Ces appels se feront juste avant une fonction que vous connaissez bien : glDrawArrays().

Dans notre cas, nous ferons ces appels toujours de la même façon :

// On envoie les matrices au shader

glUniformMatrix4fv(glGetUniformLocation(shaderCouleur.getProgramID(), "modelview"), 1, GL_FALSE, value_ptr(modelview));
glUniformMatrix4fv(glGetUniformLocation(shaderCouleur.getProgramID(), "projection"), 1, GL_FALSE, value_ptr(projection));

Si on les intègre au code d'affichage ça donne ceci :

// On spécifie quel shader utiliser

glUseProgram(shaderCouleur.getProgramID());


    // Envoi des vertices et des couleurs

    ....


    // On envoie les matrices au shader

    glUniformMatrix4fv(glGetUniformLocation(shaderCouleur.getProgramID(), "modelview"), 1, GL_FALSE, value_ptr(modelview));
    glUniformMatrix4fv(glGetUniformLocation(shaderCouleur.getProgramID(), "projection"), 1, GL_FALSE, value_ptr(projection));


    // On affiche le polygone

    glDrawArrays(GL_TRIANGLES, 0, 3);


    // Désactivation des Vertex Attrib

    ....


// On n'utilise plus le shader

glUseProgram(0);

Je pense vous avoir parlé de tout, compilons tout ça pour voir que ça donne :

void SceneOpenGL::bouclePrincipale()
{
    // Variables
	
    bool terminer(false);
    float vertices[] = {-0.5, -0.5, -1.0,   0.0, 0.5, -1.0,   0.5, -0.5, -1.0};
    float couleurs[] = {1.0, 0.0, 0.0,  0.0, 1.0, 0.0,  0.0, 0.0, 1.0};
	
	
    // Shader
	
    Shader shaderCouleur("Shaders/couleur3D.vert", "Shaders/couleur3D.frag");
    shaderCouleur.charger();


    // Matrices

    mat4 projection;
    mat4 modelview;

    projection = perspective(70.0, (double) m_largeurFenetre / m_hauteurFenetre, 1.0, 100.0);
    modelview = mat4(1.0);

	
    // Boucle principale
	
    while(!terminer)
    {
        // Gestion des évènements

        SDL_WaitEvent(&m_evenements);

        if(m_evenements.window.event == SDL_WINDOWEVENT_CLOSE)
            terminer = true;


        // Nettoyage de l'écran

        glClear(GL_COLOR_BUFFER_BIT);


        // Réinitialisation de la matrice modelview

        modelview = mat4(1.0);


        // On spécifie quel shader utiliser

        glUseProgram(shaderCouleur.getProgramID());


            // On remplie puis on active le tableau Vertex Attrib 0

            glVertexAttribPointer(0, 3, GL_FLOAT, GL_FALSE, 0, vertices);
            glEnableVertexAttribArray(0);


            // Même chose avec le tableau Vertex Attrib 1

            glVertexAttribPointer(1, 3, GL_FLOAT, GL_FALSE, 0, couleurs);
            glEnableVertexAttribArray(1);


            // On envoie les matrices au shader

            glUniformMatrix4fv(glGetUniformLocation(shaderCouleur.getProgramID(), "modelview"), 1, GL_FALSE, value_ptr(modelview));
            glUniformMatrix4fv(glGetUniformLocation(shaderCouleur.getProgramID(), "projection"), 1, GL_FALSE, value_ptr(projection));


            // On affiche le polygone

            glDrawArrays(GL_TRIANGLES, 0, 3);


            // On désactive les tableaux Vertex Attrib puisque l'on n'en a plus besoin

            glDisableVertexAttribArray(1);
            glDisableVertexAttribArray(0);


        // On n'utilise plus le shader

        glUseProgram(0);


        // Actualisation de la fenêtre

        SDL_GL_SwapWindow(m_fenetre);
    }
}

Vous devriez avoir cette fenêtre :

Image utilisateur

C'est tout ? C'est pratiquement la même chose qu'avant. :(

À première vue oui, il ne se passe rien de plus sauf peut-être une légère déformation de notre triangle. Mais sachez que dans votre carte graphique il se passe pas mal de choses. De plus, nous pouvons maintenant utiliser les transformations dans nos programmes et ce sont justement elles qui forment la base d'un jeu-vidéo. Sans transformations, nous serions encore en train de jouer au Pong. :lol:


La matrice de projection Exemples de transformations

Exemples de transformations

Utilisation de la projection La troisième dimension (Partie 2/2)

Introduction

On va se reposer un peu dans cette partie, il n'y a rien de nouveau, on utilisera juste ce que l'on a déjà codé.

Tout d'abord, on va changer un peu nos vertices pour avoir un triangle plus petit. Sinon nous ne pourrions pas vraiment voir ce que donnent les transformations :

float vertices[] = {0.0, 0.0, -1.0,  0.5, 0.0, -1.0,  0.0, 0.5, -1.0};

D'origine, voici la position du triangle :

Image utilisateur

Les transformations

La translation

Prenons un vecteur V de coordonnées (0.4, 0.0, 0.0) pour effectuer une translation du repère (matrice modelview) sur 0.4 unité sur l'axe X. Normalement, le triangle devrait se retrouver sur la gauche.

Pour faire une translation avec GLM, nous allons utiliser la méthode translate() dont voici le prototype :

mat4 translate(mat4 matrice, vec3 translation);

La méthode renvoie la matrice donnée en paramètre avec la translation ajoutée.

Pour contenter l'objet vec3, nous allons juste appeler le constructeur vec3 avec les coordonnées de la translation que l'on veut faire, ici (0.4, 0.0, 0.0).

L'appel à la méthode ressemble au final à ceci :

// Translation

modelview = translate(modelview, vec3(0.4, 0.0, 0.0));

On identifie bien ce que fait cette ligne de code. On appelle la méthode translate() qui va modifier la matrice modelview à l'aide du vecteur de coordonnées (0.4, 0.0, 0.0).

Nous devons inclure cette ligne juste avant l'envoi des matrices au shader :

// On spécifie quel shader utiliser

glUseProgram(shaderCouleur.getProgramID());


    // Remplissage des tableaux Vertex Attrib 0 et 1

    ....


    // Translation

    modelview = translate(modelview, vec3(0.4, 0.0, 0.0));


    // On envoie les matrices au shader

    glUniformMatrix4fv(glGetUniformLocation(shaderCouleur.getProgramID(), "modelview"), 1, GL_FALSE, value_ptr(modelview));
    glUniformMatrix4fv(glGetUniformLocation(shaderCouleur.getProgramID(), "projection"), 1, GL_FALSE, value_ptr(projection));


    // Affichage

    ....


// On n'utilise plus le shader

glUseProgram(0);

Ce qui nous donne :

Image utilisateur

Le triangle ne connait aucun changement, nous n'avons pas modifié ses coordonnées. En revanche, le repère lui a changé. On l'a translaté selon le vecteur V, le triangle se trouve donc un peu plus loin.

Bon, sur une si petite forme on ne voit pas trop l'intérêt, mais sur un personnage de plus de 1000 vectices on voit la différence croyez-moi. :p

La rotation

Nous allons maintenant faire pivoter le triangle d'un angle de 60° selon l'axe Z. L'axe Z est pointé vers nous mais nous ne le voyons pas, nous verrons cela dans la deuxième partie du chapitre.

Nous utiliserons pour cela la méthode GLMrotate() :

mat4 rotate(mat4 matrice, double angle, vec3 axis);

Les paramètres sont sensiblement les mêmes :

Pour effectuer une rotation de 60° sur l'axe Z, il suffit donc d'appeler la méthode rotate() de cette façon :

// Rotation

modelview = rotate(modelview, 60.0f, vec3(0.0, 0.0, 1.0));

On inclut cette ligne juste avant d'envoyer les matrices au shader :

// On spécifie quel shader utiliser

glUseProgram(shaderCouleur.getProgramID());


    // Remplissage des tableaux Vertex Attrib 0 et 1

    ....


    // Rotation

    modelview = rotate(modelview, 60.0f, vec3(0.0, 0.0, 1.0));


    // On envoie les matrices au shader

    glUniformMatrix4fv(glGetUniformLocation(shaderCouleur.getProgramID(), "modelview"), 1, GL_FALSE, value_ptr(modelview));
    glUniformMatrix4fv(glGetUniformLocation(shaderCouleur.getProgramID(), "projection"), 1, GL_FALSE, value_ptr(projection));


    // Affichage

    ....


// On n'utilise plus le shader

glUseProgram(0);
Image utilisateur

Hop, le triangle a pivoté de 60° (dans le sens trigonométrique). Encore une fois, on modifie le repère, on ne touche pas aux coordonnées du triangle.

L'homothétie

Allez encore une petit exemple. Nous allons faire une homothétie en multipliant par 2 les unités de mesure du repère. 1 unité sera plus longue, donc le triangle paraitra plus gros.

On appellera pour cela la méthode scale() :

mat4 scale(mat4 matrice, vec3 factors);

On appellera cette méthode ainsi pour agrandir le repère de 2 unités sur les axes X et Y. L'axe Z n'est pas encore visible pour nous, on le laisse donc comme ça.

// Homothétie

modelview = scale(modelview, vec3(2, 2, 1));

Et comme d'habitude, on l'appelle juste avant d'envoyer les matrices au shader :

// On spécifie quel shader utiliser

glUseProgram(shaderCouleur.getProgramID());


    // Remplissage des tableaux Vertex Attrib 0 et 1

    ....


    // Homothétie

    modelview = scale(modelview, vec3(2, 2, 1));


    // On envoie les matrices au shader

    glUniformMatrix4fv(glGetUniformLocation(shaderCouleur.getProgramID(), "modelview"), 1, GL_FALSE, value_ptr(modelview));
    glUniformMatrix4fv(glGetUniformLocation(shaderCouleur.getProgramID(), "projection"), 1, GL_FALSE, value_ptr(projection));


    // Affichage

    ....


// On n'utilise plus le shader

glUseProgram(0);
Image utilisateur

Le triangle est tellement gros qu'il sort de la fenêtre :lol: . Bref vous avez compris le principe.

Je vais même vous montrer un truc sympa avec les homothéties, on va inverser le triangle. C'est une technique utilisée dans les jeux-vidéo pour les effets de reflets (comme un effet de miroir, d'eau, ...) :

// Inversion du repère

modelview = scale(modelview, vec3(1, -1, 1));

Les axes X et Z ne sont pas modifiés, ils sont multipliés par 1. Mais l'axe Y lui est inversé, voici ce que ça donne :

Image utilisateur

Ordre des transformations

Je vous ai dit au tout début que l'ordre des transformations était important. Vous pouvez désormais le constater par vous-même. Tout d'abord, on va translater notre triangle selon le vecteur V de coordonnées (0.4, 0.0, 0.0) puis on va le faire pivoter d'un angle de 60° sur l'axe Z :

// Translation puis rotation

modelview = translate(modelview, vec3(0.4, 0, 0));
modelview = rotate(modelview, 60.0f, vec3(0, 0, 1));

Voici le rendu :

Image utilisateur

Maintenant, on fait l'inverse :

// Rotation puis translation

modelview = rotate(modelview, 60.0f, vec3(0, 0, 1));
modelview = translate(modelview, vec3(0.4, 0, 0));

Rendu :

Image utilisateur

On n'obtient pas la même chose dans les deux exemples. Faites attention à l'ordre des transformations c'est important. ;)

Multi-affichage

Courage on aborde le dernier point :p . Dans le deuxième chapitre nous avons vu comment afficher plusieurs triangles sans les transformations. Maintenant que nous les avons, on va voir comment se faciliter la vie.

Si vous affichez plusieurs fois la même chose, pas besoin de remplacer les valeurs du tableau car les valeurs sont toutes les mêmes :p . On ne fait qu'appliquer les transformations sur le repère puis on ré-affiche le triangle. Bien sûr, si on change les valeurs de la matrice modelview alors il faut la ré-envoyer au shader :

// On spécifie quel shader utiliser

glUseProgram(shaderCouleur.getProgramID());


    // On translate le premier triangle

    modelview = translate(modelview, vec3(0.4, 0, 0));


    // On envoie les matrices au shader

    glUniformMatrix4fv(glGetUniformLocation(shaderCouleur.getProgramID(), "modelview"), 1, GL_FALSE, value_ptr(modelview));
    glUniformMatrix4fv(glGetUniformLocation(shaderCouleur.getProgramID(), "projection"), 1, GL_FALSE, value_ptr(projection));


    /* ***** Affichage du premier triangle ***** */

    glDrawArrays(GL_TRIANGLES, 0, 3);




    // On fait pivoter le deuxième triangle puis on le translate

    modelview = rotate(modelview, 60.0f, vec3(0, 0, 1));
    modelview = translate(modelview, vec3(0.4, 0, 0));


    // On envoie une deuxième fois les matrices au shader

    glUniformMatrix4fv(glGetUniformLocation(shaderCouleur.getProgramID(), "modelview"), 1, GL_FALSE, value_ptr(modelview));
    glUniformMatrix4fv(glGetUniformLocation(shaderCouleur.getProgramID(), "projection"), 1, GL_FALSE, value_ptr(projection));


    /* ***** Affichage du deuxième triangle ***** */

    glDrawArrays(GL_TRIANGLES, 0, 3);


// On n'utilise plus le shader

glUseProgram(0);

Je vous conseille de faire des petits tests avec les transformations, entrainez-vous avec avant de passer à la deuxième partie de ce chapitre. ;)

Télécharger : Code Source C++ du Chapitre 6

Nous arrivons à la fin de cette première partie. Nous avons vu pas mal de notions et il est important que vous les compreniez. Encore une fois, amusez-vous à faire des transformations pour vous familiariser avec OpenGL. Si vous vous sentez prêts, passez à la deuxième partie (qui est plus facile à comprendre que cette partie ;) ).


Utilisation de la projection La troisième dimension (Partie 2/2)

La troisième dimension (Partie 2/2)

Exemples de transformations La caméra

Dans cette deuxième partie, nous allons enfin faire ce que vous attendez tous : de la 3D. :D Cette partie sera plus facile que la première, il y aura de nouvelles notions à apprendre mais rien de bien compliqué. Encore une fois, si vous n'avez pas tout compris jusque là, je vous conseille de relire à tête reposée les chapitres précédents.

La caméra

La troisième dimension (Partie 2/2) Affichage d'un Cube

Introduction

Dans le chapitre précédent, nous avons appris à faire interagir les matrices avec OpenGL et nous avons par la même occasion créé la matrice de projection. La bonne nouvelle, c'est que l'on connait déjà presque tout pour faire de la 3D. En effet, la troisième dimension est déjà implémentée dans nos programmes, nous l'avons vu en ajoutant la coordonnée Z à nos vertices. Seulement, nous sommes mal placés pour voir ce rendu en relief. Pour régler ce problème, il va falloir placer une chose indispensable à OpenGL : la caméra.

Eh oui, :p OpenGL fonctionne avec une caméra, exactement comme les films. Il faut donc placer une caméra qui va fixer un point pour que le spectateur (ou le joueur dans notre cas) puisse voir la scène.

Dans les versions précédentes d'OpenGL, la caméra était gérée par la même librairie que celle qui gérait la projection : la librairie GLU. Mais comme vous vous en douter, nous allons utiliser GLM pour la remplacer. :)

La méthode lookAt

L'ancienne fonction

Avant d'utiliser la librairie GLM, nous allons étudier l'ancienne fonction GLU qui gérait la caméra. Celle-ci permettait de placer la caméra au niveau d'un point dans l'espace. Ce point de vue nous permet de voir une scène en 3 dimensions au lieu des 2 dimensions dont nous avons l'habitude depuis le début du tuto.

La fonction en question s'appelle gluLookAt() et voici son prototype :

void gluLookAt(double eyeX, double eyeY, double eyeZ, double centerX, double centerY, double centerZ, double upX, double upY, double upZ);

Hola y'a trop de paramètres. :o

Si on les prend à part oui, mais vous remarquerez que les noms se ressemblent plus ou moins. En fait, il n'y a que 3 paramètres. Si on les prend par groupe de 3, on se retrouve avec 3 vecteurs bien distincts :

Petite précision pour le dernier vecteur. En théorie, l'axe vertical est l'axe Y mais dans pas mal de jeux-vidéo on prend souvent l'axe Z. Personnellement, je fais de la résistance et je préfère utiliser l'axe Y comme axe vertical comme on nous l'a toujours appris depuis le collège. ;)

La nouvelle méthode

Pour remplacer cette ancienne fonction, nous allons utiliser une méthode de la librairie GLM qui s'appelle lookAt(). Son prototype est un peu plus compact que la fonction GLU :

mat4 lookAt(vec3 eye, vec3 center, vec3 up);

Vous remarquez que la méthode prend bien les 9 paramètres de gluLookAt(), elle les place juste dans 3 objets de type vec3. ;)

Par ailleurs, elle renvoie une matrice toute neuve, elle ne modifie donc pas le contenu d'une matrice existante comme le font les méthodes de transformations.

Utilisation

Grâce à cette méthode, nous pouvons tout de même utiliser notre caméra.

On va d'ailleurs faire un petit test dès maintenant. Vous vous souvenez des deux triangles du chapitre précédent ? On va voir ce que ça donne si on adopte un "point de vue" en 3 dimensions. Bon je vous préviens, avec des triangles 2D ça va être moche mais ce sera déjà notre premier pas dans la 3D. ;)

Nous allons placer notre caméra au point de coordonnées (1, 1, 1) et celle-ci fixera le centre du repère, donc le point de coordonnées (0, 0, 0). Enfin, nous utiliserons l'axe Y comme axe vertical (vous pouvez utiliser celui que vous voulez). L'appel à la méthode lookAt() sera donc :

// Placement de la caméra

modelview = lookAt(vec3(1, 1, 1), vec3(0, 0, 0), vec3(0, 1, 0));

Nous ajoutons cette ligne de code juste après avoir ré-initialisé la matrice modelview :

// Boucle principale

while(!terminer)
{
    /* Gestion des évènements .... */


    // Nettoyage de la fenêtre

    glClear(GL_COLOR_BUFFER_BIT);


    // Ré-initialisation de la matrice et placement de la caméra

    modelview = mat4(1.0);
    modelview = lookAt(vec3(1, 1, 1), vec3(0, 0, 0), vec3(0, 1, 0));


    /* Rendu ... */
}

D'ailleurs, vous pouvez maintenant supprimer la ligne qui ré-initialise la matrice modelview avec les valeurs d'une matrice d'identité car la méthode lookAt() écrase complétement son ancien contenu et fait donc office de ré-initialisation. La ligne est donc inutile. :)

// Boucle principale

while(!terminer)
{
    /* Gestion des évènements .... */


    // Nettoyage de la fenêtre

    glClear(GL_COLOR_BUFFER_BIT);


    // Placement de la caméra

    modelview = lookAt(vec3(1, 1, 1), vec3(0, 0, 0), vec3(0, 1, 0));


    /* Rendu ... */
}

Voici ce que vous devriez obtenir :

Image utilisateur

Bon je vous avais prévenu c'est laid. :p Et pourtant on est bien en 3D :

Image utilisateur

Avec des triangles 2D on n'ira pas très loin mais ça va vite changer. Commençons enfin la partie la plus intéressante. :diable:


La troisième dimension (Partie 2/2) Affichage d'un Cube

Affichage d'un Cube

La caméra La classe Cube

Introduction

Cette fois ça y est, enfin de la 3D ! :D

La première bonne nouvelle est que l'on va se débarrasser enfin du repère que l'on a utilisé jusqu'à maintenant :

Image utilisateur

Nous allons désormais utiliser celui-ci :

Image utilisateur

Nos polygones ne seront plus limités à des coordonnées comprises entre 0 et 1.

Concrètement, qu'est-ce qu'il faut pour passer à la 3D ?

Vous ne vous en êtes peut-être pas rendu compte, mais depuis le début du tutoriel, vous avez déjà appris pas mal de choses. Petit à petit, vous avez appris tout ce qui est nécessaire pour commencer la programmation 3D :

En réunissant intelligemment tout ça, on peut intégrer une troisième dimension à nos programmes. ;)

Affichage d'un cube

La partie théorique

On va commencer par un exercice simple qui réunira tout ce que l'on connait déjà ainsi que ce que l'on va voir maintenant. A la fin, on sera en mesure d'afficher notre premier modèle 3D : un cube (en couleur s'il vous plaît ;) ).

Avant de s'attaquer à la programmation, il est essentiel de faire un peu de théorie en voyant de quoi est composé un cube. Il suffit d'ouvrir un manuel de géométrie pour y lire une des propriétés principales du cube : "un cube est composé de 8 sommets".

Image utilisateur

Les chiffres en parenthèses représentent les coordonnées de chaque sommet. Une arrête mesure donc 2 unités.

Hum intéressant, on retrouve le mot sommet ( = vertex). Il y a 8 sommets, nous aurons donc besoin de 8 vertices :

Image utilisateur

Bien évidemment, il faudra les dédoubler pour afficher toutes nos faces comme nous le faisions avec le losange par exemple. Nous allons les étudier ensemble une par une en expliquant bien les étapes nécessaires.

D'ailleurs en parlant de ça, dans les anciennes versions d'OpenGL, on utilisait une primitive spécifique pour afficher un carré (comme GL_TRIANGLES pour les triangles) que l'on utilisait avec la fonction glDrawArrays(). Cependant, cette primitive a également été supprimée au même titre que les fonctions lentes vu que les cartes graphiques ne savent gérer nativement que des triangles.

Il existe heureusement une petite combine pour afficher des carrés sans cette primitive : il suffit de coller deux triangles rectangles entre eux :

Image utilisateur

Ne vous inquiétez pas, ce n'est pas plus lent à l'affichage même si on affiche deux choses au lieu d'une. Pour vous dire, que ce soit des sphères, des cubes ou des personnages, absolument tous les modèles 3D ne sont composés uniquement que de triangles. ;)

La première face

Allez on attaque la partie programmation. :D

Pour le moment, on va tout coder dans la boucle principale, ce sera plus simple à comprendre. Ensuite, nous migrerons proprement le code dans une classe dédiée.

On va commencer notre cube en affichant sa première face (celle du fond) :

Image utilisateur

Pour cela, nous aurons besoin de 6 sommets vu que nous avons besoin de deux triangles pour faire un carré. Si on regarde le schéma ci-dessus, on remarque que l'on peut faire un triangle avec les vertices 0, 1 et 2, et un autre avec les vertices 2, 3 et 0. Le tableau dont nous avons besoin ressemblera donc à ceci :

void SceneOpenGL::bouclePrincipale()
{
    // Vertices

    float vertices[] = {-1.0, -1.0, -1.0,   1.0, -1.0, -1.0,   1.0, 1.0, -1.0,     // Triangle 1
                        -1.0, -1.0, -1.0,   -1.0, 1.0, -1.0,   1.0, 1.0, -1.0};    // Triangle 2
}

Avant d'intégrer ce tableau, nous allons reprendre ensemble la boucle principale pour voir ce que donnerait le nouvel affichage. On commence par évidemment par déclarer les matrices projection et modelview :

void SceneOpenGL::bouclePrincipale()
{
    // Booléen terminer

    bool terminer(false);


    // Matrices

    mat4 projection;
    mat4 modelview;

    projection = perspective(70.0, (double) m_largeurFenetre / m_hauteurFenetre, 1.0, 100.0);
    modelview = mat4(1.0);


    // Boucle principale

    while(!terminer)
    {
        /* Rendu */
    }
}

Nous pouvons maintenant intégrer le tableau de vertices que l'on a trouvé juste avant. On le place après la déclaration des matrices :

void SceneOpenGL::bouclePrincipale()
{
    // Booléen terminer

    bool terminer(false);


    // Matrices

    mat4 projection;
    mat4 modelview;

    projection = perspective(70.0, (double) m_largeurFenetre / m_hauteurFenetre, 1.0, 100.0);
    modelview = mat4(1.0);


    // Vertices

    float vertices[] = {-1.0, -1.0, -1.0,   1.0, -1.0, -1.0,   1.0, 1.0, -1.0,     // Triangle 1
                        -1.0, -1.0, -1.0,   -1.0, 1.0, -1.0,   1.0, 1.0, -1.0};    // Triangle 2


    // Boucle principale

    while(!terminer)
    {
        /* Rendu */
    }
}

Pour admirer le rendu final il ne manque plus qu'à colorier les deux triangles. Nous utiliserons le rouge vu qu'elle est présente dans le schéma un peu plus haut.

Le tableau à utiliser pour cela doit permettre d'affecter une couleur pour chaque vertex. Nous en avons 6 pour le moment donc nous aurons besoin de 6 couleurs :

// Couleurs

float couleurs[] = {1.0, 0.0, 0.0,   1.0, 0.0, 0.0,   1.0, 0.0, 0.0,           // Triangle 1
                    1.0, 0.0, 0.0,   1.0, 0.0, 0.0,   1.0, 0.0, 0.0};          // Triangle 2

On en profite au passage pour déclarer le shader qui permettra de colorier nos faces :

// Couleurs

float couleurs[] = {1.0, 0.0, 0.0,   1.0, 0.0, 0.0,   1.0, 0.0, 0.0,           // Triangle 1
                    1.0, 0.0, 0.0,   1.0, 0.0, 0.0,   1.0, 0.0, 0.0};          // Triangle 2


// Shader

Shader shaderCouleur("Shaders/couleur3D.vert", "Shaders/couleur3D.frag");
shaderCouleur.charger();

Une fois toutes ces déclarations faites, nous devrons nous occuper de la caméra. Nous devons la déclarer juste avant la boucle principale et la placer à chaque tour de boucle au point de coordonnées (0, 0, 1). Elle sera en mode 'affichage 2D' temporairement pour nous permettre de voir le carré correctement :

// Boucle principale

while(!terminer)
{   
    // Gestion des évènements

    SDL_WaitEvent(&m_evenements);

    if(m_evenements.window.event == SDL_WINDOWEVENT_CLOSE)
        terminer = true;


    // Nettoyage de l'écran

    glClear(GL_COLOR_BUFFER_BIT);


    // Placement de la caméra

    modelview = lookAt(vec3(0, 0, 1), vec3(0, 0, 0), vec3(0, 1, 0));


    // Rendu

    ....


    // Actualisation de la fenêtre

    SDL_GL_SwapWindow(m_fenetre);
}

Pour le rendu en lui-même, il n'y a pas de grand changement à faire. On commence par activer le shader puis on envoie nos données aux tableaux Vertex Attrib, on sait le faire depuis un moment grâce à la fonction glVertexAttribPointer() :

// Activation du shader

glUseProgram(shaderCouleur.getProgramID());


    // Envoi des vertices

    glVertexAttribPointer(0, 3, GL_FLOAT, GL_FALSE, 0, vertices);
    glEnableVertexAttribArray(0);


    // Envoi de la couleur

    glVertexAttribPointer(1, 3, GL_FLOAT, GL_FALSE, 0, couleurs);
    glEnableVertexAttribArray(1);


    ....


// Désactivation du shader

glUseProgram(0);

Il ne nous reste plus qu'à envoyer les matrices projection et modelview au shader à l'aide des grosses fonctions. On pensera également à afficher le rendu grâce à la fonction glDrawArrays() et à désactiver les tableaux Vertex Attrib :

// Envoi des matrices

glUniformMatrix4fv(glGetUniformLocation(shaderCouleur.getProgramID(), "projection"), 1, GL_FALSE, value_ptr(projection));
glUniformMatrix4fv(glGetUniformLocation(shaderCouleur.getProgramID(), "modelview"), 1, GL_FALSE, value_ptr(modelview));


// Rendu

glDrawArrays(GL_TRIANGLES, 0, 6);


// Désactivation des tableaux

glDisableVertexAttribArray(1);
glDisableVertexAttribArray(0);

Si on résume tout ça :

void SceneOpenGL::bouclePrincipale()
{
    // Booléen terminer

    bool terminer(false);


    // Matrices

    mat4 projection;
    mat4 modelview;

    projection = perspective(70.0, (double) m_largeurFenetre / m_hauteurFenetre, 1.0, 100.0);
    modelview = mat4(1.0);


    // Vertices

    float vertices[] = {-1.0, -1.0, -1.0,   1.0, -1.0, -1.0,   1.0, 1.0, -1.0,     // Triangle 1
                        -1.0, -1.0, -1.0,   -1.0, 1.0, -1.0,   1.0, 1.0, -1.0};    // Triangle 2


    // Couleurs

    float couleurs[] = {1.0, 0.0, 0.0,   1.0, 0.0, 0.0,   1.0, 0.0, 0.0,           // Triangle 1
                        1.0, 0.0, 0.0,   1.0, 0.0, 0.0,   1.0, 0.0, 0.0};          // Triangle 2


    // Shader

    Shader shaderCouleur("Shaders/couleur3D.vert", "Shaders/couleur3D.frag");
    shaderCouleur.charger();


    // Boucle principale

    while(!terminer)
    {
        // Gestion des évènements

        SDL_WaitEvent(&m_evenements);

        if(m_evenements.window.event == SDL_WINDOWEVENT_CLOSE)
            terminer = true;


        // Nettoyage de l'écran

        glClear(GL_COLOR_BUFFER_BIT);


        // Placement de la caméra

        modelview = lookAt(vec3(0, 0, 1), vec3(0, 0, 0), vec3(0, 1, 0));


        // Activation du shader

        glUseProgram(shaderCouleur.getProgramID());


            // Envoi des vertices

            glVertexAttribPointer(0, 3, GL_FLOAT, GL_FALSE, 0, vertices);
            glEnableVertexAttribArray(0);


            // Envoi de la couleur

            glVertexAttribPointer(1, 3, GL_FLOAT, GL_FALSE, 0, couleurs);
            glEnableVertexAttribArray(1);


            // Envoi des matrices

            glUniformMatrix4fv(glGetUniformLocation(shaderCouleur.getProgramID(), "projection"), 1, GL_FALSE, value_ptr(projection));
            glUniformMatrix4fv(glGetUniformLocation(shaderCouleur.getProgramID(), "modelview"), 1, GL_FALSE, value_ptr(modelview));


            // Rendu

            glDrawArrays(GL_TRIANGLES, 0, 6);


            // Désactivation des tableaux

            glDisableVertexAttribArray(1);
            glDisableVertexAttribArray(0);



        // Désactivation du shader

        glUseProgram(0);


        // Actualisation de la fenêtre

        SDL_GL_SwapWindow(m_fenetre);
    }
}

Si vous compilez ce code, vous devriez obtenir votre premier carré avec OpenGL :

Image utilisateur

Notre première face du cube est maintenant prête. :D

La deuxième face

Passons maintenant à la deuxième face du cube.

Pour commencer, on va placer la caméra un peu différemment de façon à voir la scène en 3 dimensions. Nous la positionnerons au point de coordonnées (3, 3, 3) et la ferons fixer l'origine du repère (0, 0, 0) :

// Placement de la caméra

modelview = lookAt(vec3(3, 3, 3), vec3(0, 0, 0), vec3(0, 1, 0));

La deuxième face que nous devons afficher doit ressembler à ceci :

Image utilisateur

On remarque qu'il faut prendre les vertices 5, 1 et 2 pour afficher le premier triangle, puis les vertices 2, 6 et 5 pour le second. Si on fait correspondre leurs coordonnées avec le schéma du début, on trouve les deux triangles suivants :

// Vertices

float vertices[] = {-1.0, -1.0, -1.0,   1.0, -1.0, -1.0,   1.0, 1.0, -1.0,     // Face 1
                    -1.0, -1.0, -1.0,   -1.0, 1.0, -1.0,   1.0, 1.0, -1.0,     // Face 1

                    1.0, -1.0, 1.0,   1.0, -1.0, -1.0,   1.0, 1.0, -1.0,       // Face 2
                    1.0, -1.0, 1.0,   1.0, 1.0, 1.0,   1.0, 1.0, -1.0};        // Face 2

Évidemment, si nous utilisons de nouveaux vertices il faut leur associer une couleur. On ajoute donc 6 triplets au tableau couleurs spécialement pour eux. Nous utiliserons le vert pour différencier les deux faces :

// Couleurs

float couleurs[] = {1.0, 0.0, 0.0,   1.0, 0.0, 0.0,   1.0, 0.0, 0.0,           // Face 1
                    1.0, 0.0, 0.0,   1.0, 0.0, 0.0,   1.0, 0.0, 0.0,           // Face 1

                    0.0, 1.0, 0.0,   0.0, 1.0, 0.0,   0.0, 1.0, 0.0,           // Face 2
                    0.0, 1.0, 0.0,   0.0, 1.0, 0.0,   0.0, 1.0, 0.0};          // Face 2

Pour afficher la nouvelle face, il suffit de modifier le fameux paramètre count pour qu'il prenne en compte les 6 nouveaux sommets. On lui donne donc la valeur 6 + 6 = 12 :

// Affichage des triangles

glDrawArrays(GL_TRIANGLES, 0, 12);

Si vous compilez tout ça, vous devriez obtenir :

Image utilisateur

On a maintenant la deuxième face, et en 3D s'il vous plaît. ;)

La troisième face

Allez, on continue avec la troisième face. On commence par définir les sommets dont nous aurons besoin :

Image utilisateur

Comme d'habitude, on fait correspondre ces sommets avec leurs coordonnées pour trouver le tableau suivant :

// Vertices

float vertices[] = {-1.0, -1.0, -1.0,   1.0, -1.0, -1.0,   1.0, 1.0, -1.0,     // Face 1
                    -1.0, -1.0, -1.0,   -1.0, 1.0, -1.0,   1.0, 1.0, -1.0,     // Face 1

                    1.0, -1.0, 1.0,   1.0, -1.0, -1.0,   1.0, 1.0, -1.0,       // Face 2
                    1.0, -1.0, 1.0,   1.0, 1.0, 1.0,   1.0, 1.0, -1.0,         // Face 2

                    -1.0, -1.0, 1.0,   1.0, -1.0, 1.0,   1.0, -1.0, -1.0,      // Face 3
                    -1.0, -1.0, 1.0,   -1.0, -1.0, -1.0,   1.0, -1.0, -1.0};   // Face 3

Ensuite, on fait correspondre une nouvelle couleur aux deux nouveaux triangles formés par les vertices. On utilisera le bleu comme sur le schéma :

// Couleurs

float couleurs[] = {1.0, 0.0, 0.0,   1.0, 0.0, 0.0,   1.0, 0.0, 0.0,           // Face 1
                    1.0, 0.0, 0.0,   1.0, 0.0, 0.0,   1.0, 0.0, 0.0,           // Face 1

                    0.0, 1.0, 0.0,   0.0, 1.0, 0.0,   0.0, 1.0, 0.0,           // Face 2
                    0.0, 1.0, 0.0,   0.0, 1.0, 0.0,   0.0, 1.0, 0.0,           // Face 2

                    0.0, 0.0, 1.0,   0.0, 0.0, 1.0,   0.0, 0.0, 1.0,           // Face 3
                    0.0, 0.0, 1.0,   0.0, 0.0, 1.0,   0.0, 0.0, 1.0};          // Face 3

Pour finir, on doit modifier une fois de plus le paramètre count pour prendre en compte les nouveaux vertices. Sa valeur passe de 12 à 18 :

// Affichage des triangles

glDrawArrays(GL_TRIANGLES, 0, 18);

En compilant le nouveau code, on obtient :

Image utilisateur

Pourquoi ça s'affiche comme ça ? Y'a un bug ? o_O

Non, ce n'est pas un bug, et vous allez vite comprendre pourquoi la face ne s'affiche pas correctement. ^^

Le Depth Buffer

C'est la première fois que nous avons un problème d'affichage, et c'est tout à fait normal puisqu'avant nous n'avions jamais eu de formes superposées l'une sur l'autre. Ici, la face bleue et la face verte se superposent, et pour OpenGL c'est un problème car il ne sait pas quelle forme doit être visible et quelle forme doit être cachée. N'oubliez pas qu'un ordinateur est très bête, il ne sait rien faire à part calculer.

Le Depth Buffer (ou Tampon de profondeur) est ce qui va permettre à OpenGL de comprendre ce qu'il doit afficher et ce qu'il doit masquer. Si un pixel de modèle se trouve derrière un autre alors le Depth Buffer indiquera à OpenGL : "N'affiche pas ce pixel, mais affiche celui-ci car il est devant".

Je vous avais déjà parlé brièvement de cette notion dans le chapitre sur les shaders, notamment avec ce schéma :

Image utilisateur

La dernière étape du pipeline 3D était le Test de profondeur. C'est justement là qu'intervient le Depth Buffer. Heureusement pour nous, il ne faudra pas gérer ce tampon par nous-même, cette fonctionnalité n'a pas été supprimée avec la nouvelle version d'OpenGL. :) Avant que l'API puisse se servir de ce tampon, il faut l'activer grâce à la fonction glEnable().

void glEnable(GLenum cap);

Nous reverrons plusieurs fois cette fonction qui permet d'activer certaines fonctionnalités d'OpenGL. Le paramètre cap est justement la fonctionnalité à activer. Pour le Depth Buffer, on lui donne le paramètre GL_DEPTH_TEST. On va donc appeler la fonction comme ceci dans la méthode initGL() juste après l'initialisation de la librairie GLEW :

bool SceneOpenGL::initGL()
{
    #ifdef WIN32

        /* ***** Initialisation de la librairie GLEW ***** */

    #endif


    // Activation du Depth Buffer

    glEnable(GL_DEPTH_TEST);


    // Tout s'est bien passé, on retourne true

    return true;

A chaque tour de boucle, il faudra (comme avec les couleurs et la matrice modelview) ré-initialiser le Depth Buffer afin de vider toute traces de l'affichage précédent. Pour ça, il suffit d'ajouter un paramètre à une fonction que l'on utilise déjà : glClear(). Rappelez-vous que cette fonction permet de vider les buffers qu'on lui donne en paramètre.

Pour le moment, on ne lui donne que le paramètre GL_COLOR_BUFFER_BIT pour effacer ce qui se trouve à l'écran. Maintenant, on va ajouter le paramètre GL_DEPTH_BUFFER_BIT pour effacer le Depth Buffer :

// Nettoyage de la fenêtre et du Depth Buffer

glClear(GL_COLOR_BUFFER_BIT | GL_DEPTH_BUFFER_BIT);

Maintenant que l'on sait ce qu'est le Depth Buffer, on peut régler notre problème d'affichage. Après avoir placé la fonction glEnable(), vous devriez obtenir ceci :

Image utilisateur

Les trois dernières faces

Courage nous sommes presque au bout, il ne reste plus qu'à afficher les 3 dernières faces. Et je fais bien de vous dire courage car je vais vous demander de terminer les trois dernières faces tous seuls. :p

Je vais vous donner les schémas contenant les vertices et la couleur dont vous aurez besoin pour chaque face, pour le reste ce sera à vous de le faire. Il n'y a rien de compliqué en plus, nous avons déjà fait la moité du cube ensemble et vous n'aurez pas de surprise d'affichage car nous savons maintenant gérer le Depth Buffer.

Les tableaux finaux peuvent vous paraitre gros et moches, c'est tout à fait normal. Pour vous dire, les vertices de personnages ou de décors sont infiniment plus moches au vu de leur nombre de données. :lol: Mais l'avantage avec eux c'est que nous n'avons pas à les coder à la main, nous ne les voyons même pas d'ailleurs. Mais bon, ça ça sera pour plus tard. Pour le moment, je vous demande de finir notre fameux cube à l'aide des schémas suivants :

Image utilisateur
Image utilisateur
Image utilisateur

Allez hop à votre clavier !

.....

On passe à la correction. Le principe reste le même, il faut juste faire correspondre les vertices et les couleurs. Voici ce que donne les tableaux finaux :

Vos vertices peuvent parfaitement être déclarés dans un ordre différent de celui que je donne. Ce n'est pas grave du moment que vous affichez des carrés correctement :

float vertices[] = {-1.0, -1.0, -1.0,   1.0, -1.0, -1.0,   1.0, 1.0, -1.0,     // Face 1
                    -1.0, -1.0, -1.0,   -1.0, 1.0, -1.0,   1.0, 1.0, -1.0,     // Face 1

                    1.0, -1.0, 1.0,   1.0, -1.0, -1.0,   1.0, 1.0, -1.0,       // Face 2
                    1.0, -1.0, 1.0,   1.0, 1.0, 1.0,   1.0, 1.0, -1.0,         // Face 2

                    -1.0, -1.0, 1.0,   1.0, -1.0, 1.0,   1.0, -1.0, -1.0,      // Face 3
                    -1.0, -1.0, 1.0,   -1.0, -1.0, -1.0,   1.0, -1.0, -1.0,    // Face 3

                    -1.0, -1.0, 1.0,   1.0, -1.0, 1.0,   1.0, 1.0, 1.0,        // Face 4
                    -1.0, -1.0, 1.0,   -1.0, 1.0, 1.0,   1.0, 1.0, 1.0,        // Face 4

                    -1.0, -1.0, -1.0,   -1.0, -1.0, 1.0,   -1.0, 1.0, 1.0,     // Face 5
                    -1.0, -1.0, -1.0,   -1.0, 1.0, -1.0,   -1.0, 1.0, 1.0,     // Face 5

                    -1.0, 1.0, 1.0,   1.0, 1.0, 1.0,   1.0, 1.0, -1.0,         // Face 6
                    -1.0, 1.0, 1.0,   -1.0, 1.0, -1.0,   1.0, 1.0, -1.0};      // Face 6

L'ordre des couleurs peut, lui aussi, être différent. Ce qui compte, c'est que les lignes de couleur correspondent à leurs lignes de vertex :

// Couleurs

float couleurs[] = {1.0, 0.0, 0.0,   1.0, 0.0, 0.0,   1.0, 0.0, 0.0,           // Face 1
                    1.0, 0.0, 0.0,   1.0, 0.0, 0.0,   1.0, 0.0, 0.0,           // Face 1

                    0.0, 1.0, 0.0,   0.0, 1.0, 0.0,   0.0, 1.0, 0.0,           // Face 2
                    0.0, 1.0, 0.0,   0.0, 1.0, 0.0,   0.0, 1.0, 0.0,           // Face 2

                    0.0, 0.0, 1.0,   0.0, 0.0, 1.0,   0.0, 0.0, 1.0,           // Face 3
                    0.0, 0.0, 1.0,   0.0, 0.0, 1.0,   0.0, 0.0, 1.0,           // Face 3

                    1.0, 0.0, 0.0,   1.0, 0.0, 0.0,   1.0, 0.0, 0.0,           // Face 4
                    1.0, 0.0, 0.0,   1.0, 0.0, 0.0,   1.0, 0.0, 0.0,           // Face 4

                    0.0, 1.0, 0.0,   0.0, 1.0, 0.0,   0.0, 1.0, 0.0,           // Face 5
                    0.0, 1.0, 0.0,   0.0, 1.0, 0.0,   0.0, 1.0, 0.0,           // Face 5

                    0.0, 0.0, 1.0,   0.0, 0.0, 1.0,   0.0, 0.0, 1.0,           // Face 6
                    0.0, 0.0, 1.0,   0.0, 0.0, 1.0,   0.0, 0.0, 1.0};          // Face 6

Au niveau de la fonction glDrawArrays(), vous devriez avoir la valeur du paramètre count à 36 :

// Affichage des triangles

glDrawArrays(GL_TRIANGLES, 0, 36);

A la fin, vous devriez avoir votre premier modèle 3D !

Image utilisateur

Magnifique n'est-ce pas ? ^^


La caméra La classe Cube

La classe Cube

Affichage d'un Cube Le Frame Rate

La classe Cube

Le header

Après tous les efforts que nous avons fournis dans la partie précédente, nous avons enfin pu afficher notre premier modèle 3D. :D
Vous avez remarqué que, mises à part les matrices, le processus était le même que pour les modèles 2D. C'est-dire-à qu'il nous a suffi d'activer un shader, d'envoyer les données aux tableaux Vertex Attrib, puis d'afficher le tout avec glDrawArrays().

Ce que nous allons faire maintenant va nous permettre de nettoyer un peu la boucle principale. En effet, comme je vous l'ai précisé dans la correction du cube, les tableaux de vertices et de couleurs sont assez indigestes. Il serait donc judicieux de créer une classe dédiée au cube de façon à enfermer ces lignes de code à l'intérieur. Nous gagnerions en lisibilité et de plus, nous pourrions créer des cubes à l'infini en seulement quelques lignes de code !

Notre nouvel objectif va donc être la création d'une classe Cube dont on se servira pour la suite du tutoriel.

Et nous allons commencer tout de suite par le header. Celui-ci sera placé dans un fichier que nous appellerons Cube.h et devra contenir la déclaration de la classe ainsi que les inclusions nécessaires pour OpenGL, les shaders et les matrices :

#ifndef DEF_CUBE
#define DEF_CUBE


// Includes OpenGL

#ifdef WIN32
#include <GL/glew.h>

#else
#define GL3_PROTOTYPES 1
#include <GL3/gl3.h>

#endif


// Includes GLM

#include <glm/glm.hpp>
#include <glm/gtx/transform.hpp>
#include <glm/gtc/type_ptr.hpp>


// Includes

#include "Shader.h"


// Classe Cube

class Cube
{
    public:


    private:
};

#endif

Au niveau des attributs, cette classe devra contenir tous les éléments dont nous avons eu besoin pour afficher notre modèle, à savoir :

Les matrices ne font pas partie de cette liste car nous n'en avons besoin qu'au moment de l'affichage, inutile donc de créer des attributs pour elles. Nous les enverrons en tant que paramètres dans une méthode.

Si on rassemble tout ça, on trouve :

// Attributs

Shader m_shader;
float m_vertices[108];
float m_couleurs[108];

La taille 108 des deux tableaux vient de la multiplication du nombre de vertices nécessaires pour un cube (36) par leur nombre de coordonnées (3), ce qui fait 36 vertices x 3 coordonnées = 108 cases.

Passons maintenant au constructeur, celui-ci aura besoin de trois paramètres : la taille du cube que l'on veut afficher ainsi que les deux codes sources du shader à utiliser.

Nous n'avons pas intégré la possibilité de choisir les dimensions avant afin d'éviter d’alourdir le code qui était déjà assez dense. Mais vu qu'à présent nous codons une classe, il serait quand même plus agréable de pouvoir créer des cubes de n'importe quelle taille en modifiant simplement une seule valeur. :)

Nous prendrons une variable de type float pour gérer cette taille. Quant aux autres paramètres, vous savez déjà que ce seront des string :

Cube(float taille, std::string const vertexShader, std::string const fragmentShader);

On profite de ce passage pour déclarer le destructeur de la classe :

~Cube();

Après tous ces petits ajouts, nous nous retrouvons devant le header complet de la classe Cube :

#ifndef DEF_CUBE
#define DEF_CUBE


// Includes OpenGL

#ifdef WIN32
#include <GL/glew.h>

#else
#define GL3_PROTOTYPES 1
#include <GL3/gl3.h>

#endif


// Includes GLM

#include <glm/glm.hpp>
#include <glm/gtx/transform.hpp>
#include <glm/gtc/type_ptr.hpp>


// Includes

#include "Shader.h"


// Classe Cube

class Cube
{
    public:

    Cube(float taille, std::string const vertexShader, std::string const fragmentShader);
    ~Cube();


    private:

    Shader m_shader;
    float m_vertices[108];
    float m_couleurs[108];
};

#endif

Le constructeur

Passons maintenant à l'implémentation de la classe avec en premier lieu le constructeur.

Celui-ci débute avec l'initialisation des attributs. Nous en avons 3 mais seul le shader peut vraiment être initialisé ici car les vertices et les couleurs sont des tableaux, nous ne pouvons donc pas le faire directement après les deux points ":". Nous lui donnons les deux codes sources reçus en paramètres :

Cube::Cube(float taille, std::string const vertexShader, std::string const fragmentShader) : m_shader(vertexShader, fragmentShader)
{

}

Ce qui se trouve entre les accolades commence également par le shader car nous devons appeler sa méthode charger() de façon à le charger complétement :

Cube::Cube(float taille, std::string const vertexShader, std::string const fragmentShader) : m_shader(vertexShader, fragmentShader)
{
    // Chargement du shader

    m_shader.charger();
}

Le shader est maintenant initialisé et prêt à l'emploi.

On passe maintenant au plus délicat : l'initialisation des tableaux de vertices et de couleurs. Il y a deux manières de faire en C++ :

Si on utilise la première méthode, il nous faudrait 108 lignes de code juste pour initialiser les vertices, et le double si on s'occupe aussi des couleurs. Avouez tout de même que c'est méchamment fastidieux, surtout si on doit le faire deux fois. Je pense donc que vous serez d'accord pour utiliser la seconde méthode. :lol:

Nous devons donc utiliser un tableau temporaire qui va contenir tous les vertices du cube, nous l'appellerons verticesTmp[] :

// Vertices temporaires

float verticesTmp[] = {-1.0, -1.0, -1.0,   1.0, -1.0, -1.0,   1.0, 1.0, -1.0,     // Face 1
                       -1.0, -1.0, -1.0,   -1.0, 1.0, -1.0,   1.0, 1.0, -1.0,     // Face 1

                       1.0, -1.0, 1.0,   1.0, -1.0, -1.0,   1.0, 1.0, -1.0,       // Face 2
                       1.0, -1.0, 1.0,   1.0, 1.0, 1.0,   1.0, 1.0, -1.0,         // Face 2

                       -1.0, -1.0, 1.0,   1.0, -1.0, 1.0,   1.0, -1.0, -1.0,      // Face 3
                       -1.0, -1.0, 1.0,   -1.0, -1.0, -1.0,   1.0, -1.0, -1.0,    // Face 3

                       -1.0, -1.0, 1.0,   1.0, -1.0, 1.0,   1.0, 1.0, 1.0,        // Face 4
                       -1.0, -1.0, 1.0,   -1.0, 1.0, 1.0,   1.0, 1.0, 1.0,        // Face 4

                       -1.0, -1.0, -1.0,   -1.0, -1.0, 1.0,   -1.0, 1.0, 1.0,     // Face 5
                       -1.0, -1.0, -1.0,   -1.0, 1.0, -1.0,   -1.0, 1.0, 1.0,     // Face 5

                       -1.0, 1.0, 1.0,   1.0, 1.0, 1.0,   1.0, 1.0, -1.0,         // Face 6
                       -1.0, 1.0, 1.0,   -1.0, 1.0, -1.0,   1.0, 1.0, -1.0};      // Face 6

Les vertices en l'état n'ont que bien peu d'intérêt car ils ne prennent pas en compte le paramètre taille du constructeur. Pour régler ce problème, nous allons simplement remplacer toutes les occurrences de la valeur 1.0 par le paramètre taille lui-même. C'est un peu long à faire mais la fonctionnalité "Find and Replace" de votre IDE devrait vous faciliter un peu la tâche. ;)

Le tableau remanié devrait ressembler à celui-ci :

// Vertices temporaires

float verticesTmp[] = {-taille, -taille, -taille,   taille, -taille, -taille,   taille, taille, -taille,     // Face 1
                       -taille, -taille, -taille,   -taille, taille, -taille,   taille, taille, -taille,     // Face 1

                       taille, -taille, taille,   taille, -taille, -taille,   taille, taille, -taille,       // Face 2
                       taille, -taille, taille,   taille, taille, taille,   taille, taille, -taille,         // Face 2

                       -taille, -taille, taille,   taille, -taille, taille,   taille, -taille, -taille,      // Face 3
                       -taille, -taille, taille,   -taille, -taille, -taille,   taille, -taille, -taille,    // Face 3

                       -taille, -taille, taille,   taille, -taille, taille,   taille, taille, taille,        // Face 4
                       -taille, -taille, taille,   -taille, taille, taille,   taille, taille, taille,        // Face 4

                       -taille, -taille, -taille,   -taille, -taille, taille,   -taille, taille, taille,     // Face 5
                       -taille, -taille, -taille,   -taille, taille, -taille,   -taille, taille, taille,     // Face 5

                       -taille, taille, taille,   taille, taille, taille,   taille, taille, -taille,         // Face 6
                       -taille, taille, taille,   -taille, taille, -taille,   taille, taille, -taille};      // Face 6

Il reste encore une petite modification à faire. Si on regarde de plus près nos données, on remarque que les vertices vont de -taille à +taille. Cet intervalle fait que notre cube est multiplié par 2. :(

Pour éviter cela, il faut diviser le paramètre taille par 2 avant de remplir le tableau. Ainsi, notre cube qui devait être multiplié par 2 ne le sera plus :

// Division du paramètre taille

taille /= 2;


// Vertices temporaires

float verticesTmp[] = {-taille, -taille, -taille,   taille, -taille, -taille,   taille, taille, -taille,     // Face 1
                       -taille, -taille, -taille,   -taille, taille, -taille,   taille, taille, -taille,     // Face 1

                       taille, -taille, taille,   taille, -taille, -taille,   taille, taille, -taille,       // Face 2
                       taille, -taille, taille,   taille, taille, taille,   taille, taille, -taille,         // Face 2

                       -taille, -taille, taille,   taille, -taille, taille,   taille, -taille, -taille,      // Face 3
                       -taille, -taille, taille,   -taille, -taille, -taille,   taille, -taille, -taille,    // Face 3

                       -taille, -taille, taille,   taille, -taille, taille,   taille, taille, taille,        // Face 4
                       -taille, -taille, taille,   -taille, taille, taille,   taille, taille, taille,        // Face 4

                       -taille, -taille, -taille,   -taille, -taille, taille,   -taille, taille, taille,     // Face 5
                       -taille, -taille, -taille,   -taille, taille, -taille,   -taille, taille, taille,     // Face 5

                       -taille, taille, taille,   taille, taille, taille,   taille, taille, -taille,         // Face 6
                       -taille, taille, taille,   -taille, taille, -taille,   taille, taille, -taille};      // Face 6

Piouf le plus dur est derrière nous. :)

Le tableau de couleurs quant à lui est plus simple à faire puisqu'il suffit juste de reprendre celui que nous utilisions avant. Nous modifierons juste son nom en l'appelant couleursTmp vu qu'il s'agit de données temporaires :

// Couleurs temporaires

float couleursTmp[] = {1.0, 0.0, 0.0,   1.0, 0.0, 0.0,   1.0, 0.0, 0.0,           // Face 1
                       1.0, 0.0, 0.0,   1.0, 0.0, 0.0,   1.0, 0.0, 0.0,           // Face 1

                       0.0, 1.0, 0.0,   0.0, 1.0, 0.0,   0.0, 1.0, 0.0,           // Face 2
                       0.0, 1.0, 0.0,   0.0, 1.0, 0.0,   0.0, 1.0, 0.0,           // Face 2

                       0.0, 0.0, 1.0,   0.0, 0.0, 1.0,   0.0, 0.0, 1.0,           // Face 3
                       0.0, 0.0, 1.0,   0.0, 0.0, 1.0,   0.0, 0.0, 1.0,           // Face 3

                       1.0, 0.0, 0.0,   1.0, 0.0, 0.0,   1.0, 0.0, 0.0,           // Face 4
                       1.0, 0.0, 0.0,   1.0, 0.0, 0.0,   1.0, 0.0, 0.0,           // Face 4

                       0.0, 1.0, 0.0,   0.0, 1.0, 0.0,   0.0, 1.0, 0.0,           // Face 5
                       0.0, 1.0, 0.0,   0.0, 1.0, 0.0,   0.0, 1.0, 0.0,           // Face 5

                       0.0, 0.0, 1.0,   0.0, 0.0, 1.0,   0.0, 0.0, 1.0,           // Face 6
                       0.0, 0.0, 1.0,   0.0, 0.0, 1.0,   0.0, 0.0, 1.0};          // Face 6

Maintenant que nos données sont déclarées, il ne manque plus qu'à les transférer dans nos attributs.

Pour cela, nous allons utiliser une boucle qui va s'exécuter 108 fois, ce qui permettra donc de copier non seulement les coordonnées des sommets mais aussi les composantes des couleurs. En effet, les tableaux font tous les deux la même taille, on peut alors n'utiliser qu'une seule boucle. :)

// Copie des valeurs dans les tableaux finaux

for(int i(0); i < 108; i++)
{
    m_vertices[i] = verticesTmp[i];
    m_couleurs[i] = couleursTmp[i];
}

Si on réunit tous les bouts de code :

Cube::Cube(float taille, std::string const vertexShader, std::string const fragmentShader) : m_shader(vertexShader, fragmentShader)
{
    // Chargement du shader

    m_shader.charger();


    // Division de la taille

    taille /= 2;


    // Vertices temporaires

    float verticesTmp[] = {-taille, -taille, -taille,   taille, -taille, -taille,   taille, taille, -taille,     // Face 1
                           -taille, -taille, -taille,   -taille, taille, -taille,   taille, taille, -taille,     // Face 1

                           taille, -taille, taille,   taille, -taille, -taille,   taille, taille, -taille,       // Face 2
                           taille, -taille, taille,   taille, taille, taille,   taille, taille, -taille,         // Face 2

                           -taille, -taille, taille,   taille, -taille, taille,   taille, -taille, -taille,      // Face 3
                           -taille, -taille, taille,   -taille, -taille, -taille,   taille, -taille, -taille,    // Face 3

                           -taille, -taille, taille,   taille, -taille, taille,   taille, taille, taille,        // Face 4
                           -taille, -taille, taille,   -taille, taille, taille,   taille, taille, taille,        // Face 4

                           -taille, -taille, -taille,   -taille, -taille, taille,   -taille, taille, taille,     // Face 5
                           -taille, -taille, -taille,   -taille, taille, -taille,   -taille, taille, taille,     // Face 5

                           -taille, taille, taille,   taille, taille, taille,   taille, taille, -taille,         // Face 6
                           -taille, taille, taille,   -taille, taille, -taille,   taille, taille, -taille};      // Face 6


    // Couleurs temporaires

    float couleursTmp[] = {1.0, 0.0, 0.0,   1.0, 0.0, 0.0,   1.0, 0.0, 0.0,           // Face 1
                           1.0, 0.0, 0.0,   1.0, 0.0, 0.0,   1.0, 0.0, 0.0,           // Face 1

                           0.0, 1.0, 0.0,   0.0, 1.0, 0.0,   0.0, 1.0, 0.0,           // Face 2
                           0.0, 1.0, 0.0,   0.0, 1.0, 0.0,   0.0, 1.0, 0.0,           // Face 2

                           0.0, 0.0, 1.0,   0.0, 0.0, 1.0,   0.0, 0.0, 1.0,           // Face 3
                           0.0, 0.0, 1.0,   0.0, 0.0, 1.0,   0.0, 0.0, 1.0,           // Face 3

                           1.0, 0.0, 0.0,   1.0, 0.0, 0.0,   1.0, 0.0, 0.0,           // Face 4
                           1.0, 0.0, 0.0,   1.0, 0.0, 0.0,   1.0, 0.0, 0.0,           // Face 4

                           0.0, 1.0, 0.0,   0.0, 1.0, 0.0,   0.0, 1.0, 0.0,           // Face 5
                           0.0, 1.0, 0.0,   0.0, 1.0, 0.0,   0.0, 1.0, 0.0,           // Face 5

                           0.0, 0.0, 1.0,   0.0, 0.0, 1.0,   0.0, 0.0, 1.0,           // Face 6
                           0.0, 0.0, 1.0,   0.0, 0.0, 1.0,   0.0, 0.0, 1.0};          // Face 6


    // Copie des valeurs dans les tableaux finaux

    for(int i(0); i < 108; i++)
    {
        m_vertices[i] = verticesTmp[i];
        m_couleurs[i] = couleursTmp[i];
    }
}

Le destructeur

Comme vous le savez déjà, un destructeur est une méthode appelée au moment de la destruction de l'objet. Il permet de libérer la mémoire prise par l'objet au cours de sa vie, en particulier la mémoire allouée dynamiquement.

Heureusement pour nous, dans notre cas nous ne faisons aucune allocation dynamique. :p Le destructeur va donc être vide :

Cube::~Cube()
{

}

La méthode afficher

Comme son nom l'indique, la méthode afficher() va nous permettre ... d'afficher notre cube. ^^ Son prototype est assez simple :

void afficher(glm::mat4 &projection, glm::mat4 &modelview);

Elle prend en paramètre une référence sur les deux matrices que l'on connait si bien maintenant. Elles sont indispensables pour afficher un modèle 3D. Dans cette méthode, nous en avons besoin pour les envoyer au shader.

Son implémentation va être ultra simple pour nous : il suffit juste de copier le code contenu entre l'activation et la désactivation du shader. Ce qui comprend :

Le code à copier est le suivant :

// Activation du shader

glUseProgram(shaderCouleur.getProgramID());


    // Envoi des vertices

    glVertexAttribPointer(0, 3, GL_FLOAT, GL_FALSE, 0, vertices);
    glEnableVertexAttribArray(0);


    // Envoi de la couleur

    glVertexAttribPointer(1, 3, GL_FLOAT, GL_FALSE, 0, couleurs);
    glEnableVertexAttribArray(1);


    // Envoi des matrices

    glUniformMatrix4fv(glGetUniformLocation(shaderCouleur.getProgramID(), "projection"), 1, GL_FALSE, value_ptr(projection));
    glUniformMatrix4fv(glGetUniformLocation(shaderCouleur.getProgramID(), "modelview"), 1, GL_FALSE, value_ptr(modelview));


    // Rendu

    glDrawArrays(GL_TRIANGLES, 0, 36);


    // Désactivation des tableaux

    glDisableVertexAttribArray(1);
    glDisableVertexAttribArray(0);


// Désactivation du shader

glUseProgram(0);

Avant d'aller plus loin, il nous faut modifier le nom des variables anciennement utilisées. Ainsi :

Une fois le nom des variables modifié, on se retrouve avec la méthode afficher() suivante :

void Cube::afficher(glm::mat4 &projection, glm::mat4 &modelview)
{
    // Activation du shader

    glUseProgram(m_shader.getProgramID());


        // Envoi des vertices

        glVertexAttribPointer(0, 3, GL_FLOAT, GL_FALSE, 0, m_vertices);
        glEnableVertexAttribArray(0);


        // Envoi de la couleur

        glVertexAttribPointer(1, 3, GL_FLOAT, GL_FALSE, 0, m_couleurs);
        glEnableVertexAttribArray(1);


        // Envoi des matrices

        glUniformMatrix4fv(glGetUniformLocation(m_shader.getProgramID(), "projection"), 1, GL_FALSE, value_ptr(projection));
        glUniformMatrix4fv(glGetUniformLocation(m_shader.getProgramID(), "modelview"), 1, GL_FALSE, value_ptr(modelview));


        // Rendu

        glDrawArrays(GL_TRIANGLES, 0, 36);


        // Désactivation des tableaux

        glDisableVertexAttribArray(1);
        glDisableVertexAttribArray(0);


    // Désactivation du shader

    glUseProgram(0);
}

J'adore quand le copier-coller fonctionne aussi facilement. ^^ Nous avions déjà fait le plus gros avant, il ne nous restait plus qu'à adapter le nom des attributs.

La boucle principale

Il ne reste plus qu'une seule chose à faire : déclarer un objet de type Cube et utiliser sa méthode afficher() dans la boucle principale. On efface donc tout ce qu'on à fait avant (vertices, couleurs, affichage, ...). On ne doit garder que ceci :

void SceneOpenGL::bouclePrincipale()
{
    // Variable

    bool terminer(false);


    // Matrices

    mat4 projection;
    mat4 modelview;

    projection = perspective(70.0, (double) m_largeurFenetre / m_hauteurFenetre, 1.0, 100.0);
    modelview = mat4(1.0);


    // Boucle principale

    while(!terminer)
    {
        // Gestion des évènements

        SDL_WaitEvent(&m_evenements);

        if(m_evenements.window.event == SDL_WINDOWEVENT_CLOSE)
            terminer = true;


        // Nettoyage de l'écran

        glClear(GL_COLOR_BUFFER_BIT | GL_DEPTH_BUFFER_BIT);


        // Placement de la caméra

        modelview = lookAt(vec3(3, 3, 3), vec3(0, 0, 0), vec3(0, 1, 0));

    
        // Rendu (Rien pour le moment)

        ....



        // Actualisation de la fenêtre

        SDL_GL_SwapWindow(m_fenetre);
    }
}

Ensuite, on déclare notre objet de type Cube qui sera initialisé automatiquement avec le constructeur. Nous lui donnerons la valeur 2.0 pour le paramètre taille (ou une autre qui vous plaira :p ) ainsi que les string"Shaders/couleur3D.vert" et "Shaders/couleur3D.frag" pour le shader.

void SceneOpenGL::bouclePrincipale()
{
    // Variable

    bool terminer(false);


    // Matrices

    mat4 projection;
    mat4 modelview;

    projection = perspective(70.0, (double) m_largeurFenetre / m_hauteurFenetre, 1.0, 100.0);
    modelview = mat4(1.0);


    // Déclaration d'un objet Cube

    Cube cube(2.0, "Shaders/couleur3D.vert", "Shaders/couleur3D.frag");


    // Boucle principale

    while(!terminer)    
    {
        ....
    }
}

Enfin, on utilise la méthode afficher() dans la boucle principale en donnant les matrices en paramètres :

while(!terminer)
{
    // Gestion des évènements

    SDL_WaitEvent(&m_evenements);

    if(m_evenements.window.event == SDL_WINDOWEVENT_CLOSE)
        terminer = true;


    // Nettoyage de l'écran

    glClear(GL_COLOR_BUFFER_BIT | GL_DEPTH_BUFFER_BIT);


    // Placement de la caméra

    modelview = lookAt(vec3(3, 3, 3), vec3(0, 0, 0), vec3(0, 1, 0));


    // Affichage du cube

    cube.afficher(projection, modelview);


    // Actualisation de la fenêtre

    SDL_GL_SwapWindow(m_fenetre);
}

Si vous compilez tout ça, vous obtiendrez le même résultat que tout à l'heure mais cette fois-ci, vous avez un véritable objet C++ permettant d'afficher un cube. ^^

Pseudo-animation

Attention, cette sous-partie s'appelle bien "pseudo-animation" et pas animation tout court. On va apprendre à faire pivoter notre cube pour voir toutes ses faces, et ce grâce à la méthode rotate() de la librairie GLM.

Le principe est simple : on incrémente un angle à chaque tour de boucle puis on fait pivoter le cube avec cet angle qui change sans arrêt donnant ainsi une impression de mouvement. Pour le moment, il faudra bouger la souris dans la fenêtre SDL pour constater la rotation puisque nous utilisons la fonction SDL_WaitEvent() qui bloque le programme quand il n'y a pas d'évènements.

On commence par déclarer un angle de type float que l'on incrémentera à chaque tour boucle :

void SceneOpenGL::bouclePrincipale()
{
    ....


    // Variable angle

    float angle(0.0);


    // Boucle principale

    while(!terminer)
    {
        .... 
    }
}

Ensuite, on incrémente l'angle de rotation à chaque tour de boucle. Petite précision, l'angle atteindra forcément les 360° vu qu'on l'incrémente sans arrêt. A chaque fois qu'il atteindra 360°, il faudra donc le remettre à zéro. Il est inutile d'avoir un angle incompréhensible de 1604°. :lol:

// Incrémentation de l'angle

angle += 4.0;

if(angle >= 360.0)
    angle -= 360.0;

Une fois l'angle défini, il suffit de faire pivoter le repère en appelant la méthode rotate() de la matrice modelview :

// Rotation du repère

modelview = rotate(modelview, angle, vec3(0, 1, 0));

Si on place ce code au bon endroit :

while(!terminer)
{
    // Gestion des évènements

    ....



    // Placement de la caméra

    modelview = lookAt(vec3(3, 3, 3), vec3(0, 0, 0), vec3(0, 1, 0));


    // Incrémentation de l'angle

    angle += 4.0;

    if(angle >= 360.0)
        angle -= 360.0;


    // Rotation du repère

    modelview = rotate(modelview, angle, vec3(0, 1, 0));


    // Affichage du cube

    cube.afficher(projection, modelview);



    // Fin de la boucle

    ....
}

Avec ce code, votre cube devrait tourner sur lui-même. :p


Affichage d'un Cube Le Frame Rate

Le Frame Rate

La classe Cube Push et Pop

Calcul du FPS

Je profite de ce chapitre pour vous introduire une nouvelle notion : celle du Frame Rate.

Le Frame Rate est le nombre de fois par seconde où la boucle principale est exécutée. En France, on prend généralement une valeur 50 fps (Frames Per Second ou Frames par seconde). Pour le moment, notre jeu fonctionne avec 0 fps étant donné que l'on utilise une fonction qui bloque le programme : SDL_WaitEvent(). La boucle ne s'exécute que si on fait quelque chose, sinon le jeu est bloqué.

Or, dans un jeu-vidéo, si on ne touche pas à la souris il se passe quand même quelque chose. Nous allons régler ce problème en introduisant la notion de frame rate. La première chose à faire est de changer la fonction SDL_WaitEvent() par la fonction SDL_PollEvent() qui, elle, ne bloque pas le programme :

SDL_PollEvent(&m_evenements);

L'utilisation de cette fonction va cependant nous poser un problème : le CPU va être totalement surchargé. Heureusement, le frame rate est là pour nous aider. Grâce à lui, nous n'exécuterons pas la boucle principale des centaines de fois par seconde mais uniquement quelques dizaines de fois, ce qui est pour le CPU largement calculable. :) Pour imposer cette limitation, il suffit de bloquer le programme quelques millisecondes à un certain moment. Ce petit intervalle dépend du nombre de FPS que l'on souhaite afficher.

Pour calculer ce temps de blocage, il suffit de diviser 1000 millisecondes (soit une seconde) par le nombre de FPS que l'on veut. Par exemple, si on veut 50 FPS il faut faire : 1000 / 50 = 20 millisecondes.

Pour 50 FPS, la boucle principale devra mettre 20 millisecondes à s'exécuter, quitte à mettre le programme en pause jusqu'à atteindre cet intervalle de 20 ms.

Programmation

La théorie c'est bien mais il faut maintenant adapter la notion de FPS dans notre code. Le principe est simple : on calcule le temps écoulé entre le début et la fin de la boucle. Si ce temps est inférieur à 20 ms alors on met en pause le programme jusqu'à atteindre les 20 ms.

L'implémentation se fait en plusieurs étapes :

Pour capturer le temps, on utilise une fonction de la SDL : SDL_GetTicks(). Elle retourne le temps actuel de l'ordinateur dans une structure de type Uint32 :

Uint32 SDL_GetTicks(void);

Une autre fonction qui va nous être utile est la fonction SDL_Delay(). Cette fonction va nous permettre de mettre en pause le programme lorsque nous en aurons besoin. Elle prend un seul paramètre : le temps en millisecondes durant lequel elle va bloquer le programme :

void SDL_Delay(Uint32 ms);

Bref, commençons déjà par déclarer nos variables juste après le booléen terminer de la méthode bouclePrincipale() :

void SceneOpenGL::bouclePrincipale()
{
    // Variables relatives à la boucle

    bool terminer(false);
    unsigned int frameRate (1000 / 50);
    Uint32 debutBoucle(0), finBoucle(0), tempsEcoule(0);


    /* **** Reste du code **** */
}

N'oubliez pas que le temps de blocage est égal à : 1000 / Frame Rate.

Occupons-nous maintenant de la limitation. La première chose à faire est de déterminer le temps où la boucle commence :

// Boucle principale

while(!terminer)
{
    // On définit le temps de début de boucle

    debutBoucle = SDL_GetTicks();


    /* ***** Boucle Principale ***** */
}

Ensuite, il faut déterminer le temps qu'a mis la boucle pour s'exécuter. Pour ça, on enregistre le temps de fin de boucle que l'on soustrait par le temps du début :

while(!terminer)
{
    /* ***** Boucle Principale ***** */


    // Calcul du temps écoulé

    finBoucle = SDL_GetTicks();
    tempsEcoule = finBoucle - debutBoucle;
}

Enfin, si le temps est inférieur à 20 ms, on met en pause le programme jusqu'à atteindre les 20 ms :

// Si nécessaire, on met en pause le programme

if(tempsEcoule < frameRate)
    SDL_Delay(frameRate - tempsEcoule);

Si on résume tout ça :

void SceneOpenGL::bouclePrincipale()
{
    // Variables relatives à la boucle

    bool terminer(false);
    unsigned int frameRate (1000 / 50);
    Uint32 debutBoucle(0), finBoucle(0), tempsEcoule(0);


    // Boucle principale

    while(!terminer)
    {
        // On définit le temps de début de boucle

        debutBoucle = SDL_GetTicks();


        // Gestion des évènements

        SDL_PollEvent(&m_evenements);

        if(m_evenements.window.event == SDL_WINDOWEVENT_CLOSE)
            terminer = true;
    



        /* ***** Rendu OpenGL ***** */

    


        // Calcul du temps écoulé

        finBoucle = SDL_GetTicks();
        tempsEcoule = finBoucle - debutBoucle;


        // Si nécessaire, on met en pause le programme

        if(tempsEcoule < frameRate)
            SDL_Delay(frameRate - tempsEcoule);
    }
}

Avec ce code, la boucle principale ne s'exécutera que 50 fois par seconde. Si vous observez l'activité de votre processeur, vous remarquerez que le programme ne le monopolise pas malgré l'utilisation de la fonction SDL_PollEvent(). Maintenant, nous ne sommes plus obligés de toucher la souris pour voir quelque chose bouger à l'écran. Essayez avec votre cube, il tourne même si vous ne faites rien. :p

Télécharger : Code Source C++ du Chapitre 7

Et voilà, nous avons fait nos premiers pas dans la 3D. Nous avons vu les principes de base et nous sommes maintenant capables d'afficher des polygones en 3 dimensions avec OpenGL. :p
Dans le chapitre suivant, nous allons nous reposer un peu et étudier quelques points divers dont je n'ai pas encore parlés. Ce chapitre sera un peu plus court que les autres mais tout aussi important. ;)


La classe Cube Push et Pop

Push et Pop

Le Frame Rate La problématique

Les chapitres les plus compliqués de la partie 1 sont enfin derrière nous, les suivants le seront moins. Aujourd'hui, on va s'intéresser aux piles de matrices.

Retenez bien ce que nous allons voir, et profitez de ce chapitre assez soft pour vous reposer. :magicien:

La problématique

Push et Pop Sauvegarde et Restauration

Introduction

Je profite de cette partie vous faire un aparté sur la matrice modelview. En effet, pour le moment il y a un petit problème avec notre façon de l'utiliser, nous allons étudier un cas pour voir ce qui ne va pas. Jusqu'à maintenant, nous ne nous en sommes pas vraiment rendus compte car nos modèles 3D sont assez simples. Mais maintenant que nous avons fait nos premiers pas dans la 3D, il vaut mieux prendre les bonnes habitudes dès le début. :)

Un problème bien ennuyeux ...

Pour comprendre le problème, nous allons revenir un peu sur les transformations. Vous savez maintenant que chaque transformation que vous faites sera appliquée sur le repère de votre espace 3D et pas seulement sur l'objet que vous voulez afficher. Si vous faites une translation puis une rotation c'est le repère entier qui va être modifié.

Imaginez que vous vouliez afficher un toit pour une maison. Il faudra tout d'abord se placer en haut de la maison, puis faire une rotation pour que le toit soit légèrement penché et afficher le tout.

Maintenant si vous voulez afficher le jardin, comment faites-vous pour revenir en bas de la maison ? Comment faites-vous pour annuler la translation et la rotation qui permettaient d'arriver jusqu'au toit ?

Pour ça, nous avons trois solutions :

La première solution peut vous paraitre la plus simple à mettre en œuvre et sur un exemple comme celui-ci on peut le penser. Mais imaginez une maison de 500 vertices, l'afficher nécessitera plusieurs transformations. Vous pensez vraiment refaire toutes ces transformations dans le sens inverse pour retrouver votre position ?

La réponse est bien sûr non, d'une part parce que se rappeler de toutes les transformations est trop fastidieux et d'autre part parce que ça vous couterait trop de ressources pour refaire tout dans le sens inverse. Surtout que votre maison sera affichée 50 fois par seconde, imaginez le fourbi. :o

La deuxième solution nous pose les mêmes problèmes, réinitialiser la matrice et se replacer nous fait perdre du temps et des ressources.

Nous utiliserons donc la troisième solution qui nous permet de sauvegarder la matrice quand nous en avons besoin. De cette façon, on peut modifier le repère à volonté sans être obligé de retenir sur toutes les transformations. Une fois que nous voudrons revenir à la position sauvegardée, il suffira simplement de restaurer la sauvegarde du repère. :D

Les piles

Avec OpenGL 2

Dans les précédentes versions d'OpenGL, il existait deux fonctions qui permettaient de sauvegarder et de restaurer les matrices facilement. Celles-ci s’appelaient :

Ces deux fonctions fonctionnaient sur un système de pile qui permettait de stocker les sauvegardes les unes sur les autres.

Le principe d'une pile en programmation est d'entasser des variables ou des objets de même type les uns sur les autres comme une pile d'assiettes. Le but de la fonction glPush() était justement d'empiler des matrices entre elles pour former une pile de matrices :

Image utilisateur

On utilisait généralement les piles sur la matrice modelview, étant donné que c'est elle la plus utilisée. Elles étaient basées sur le principe LIFOLIFO (Last In First Out), littéralement sur le principe du dernier arrivé premier sorti. C'est-à-dire que la dernière sauvegarde était la première restaurée.

Prenons l'exemple des assiettes. Si vous empilez 18 assiettes et que vous voulez laver celle la plus en dessous. Il faudra d'abord laver les 17 premières assiettes qui sont au dessus. En revanche, si vous voulez laver la dernière arrivée, elle se trouvera en haut de la pile (l'endroit le plus simple à accéder).

Ok on sait ce qu'est une pile maintenant. :) Mais à quoi ça pouvait bien servir ?

Bonne question, les piles permettaient de sauvegarder la matrice modelview à un état donné pour pouvoir la restaurer plus tard. L'intérêt principal était de pouvoir empiler des matrices pour avoir un système de restauration assez simple : la dernière sauvegarde était la première restaurée.

De cette façon, nous n'avions plus besoin de réinitialiser la matrice modelview ou de retenir toutes les transformations pour savoir où se trouvait le repère.

Avec OpenGL 3

Comme beaucoup d'autres fonctions, OpenGL a déprécié l'utilisation de glPush() et glPop() mais bon il n'y a rien de surprenant là-dedans. En revanche, ce qui est surprenant c'est que la librairie GLM n'inclut pas de méthodes de substitution à ces fonctions. Nous ne pouvons donc pas utiliser les piles de matrices.

Ceci est dû au fait que les matrices sont maintenant des objets au sens propre du terme. C'est-à-dire que nous pouvons les manipuler, utiliser l'allocation dynamique dessus, intégrer la POO, etc. L'usage des piles n'est donc plus utile. C'est assez perturbant pour ceux qui les ont toujours utilisées mais lorsque l'on connait la puissance du C++, on se rend compte que ce n'est pas une si mauvaise idée que ça. :)

Au final, nous allons utiliser une autre manière de faire pour sauvegarder nos matrices. Les piles ne sont plus indispensables mais les sauvegardes, elles, le sont toujours. On ne peut pas résoudre notre problème de toit sinon. :p


Push et Pop Sauvegarde et Restauration

Sauvegarde et Restauration

La problématique Les évènements avec la SDL 2.0

Substitution aux piles

Comme nous l'avons vu à l'instant, les piles ne sont maintenant inutilisables, cependant les sauvegardes doivent quand même être faites.

Pour les faire, nous allons utiliser une des propriétés magiques du C++ : l'opérateur =. En effet, lorsque cet opérateur est surchargé, il permet de pouvoir copier un objet dans un autre objet. C'est ainsi que l'on peut, par exemple, copier deux voitures sans problème :

// Copie d'une voiture

Voiture maCopie = voitureOriginale;

Pour notre problème de matrices, nous allons faire exactement la même chose :

En code, cela donnerait :

// Sauvegarde de la matrice

mat4 sauvegardeModelview = modelview;


// Restauration de la matrice

modelview = sauvegardeModelview;

Facile non ? Je dirais même que c'est plus facile à comprendre que les piles. :p

Quand sauvegarder ?

Le problème des transformations

Maintenant que nous avons une méthode de substitution aux piles, nous allons pouvoir sauvegarder nos matrices dans nos programmes. En théorie, nous devrions faire cela à chaque fois que l'on fait une transformation. Par exemple, le cube du chapitre du chapitre précédent utilise une transformation, et plus précisément une rotation, qui nous permet de faire une pseudo-animation. Nous devons donc utiliser la sauvegarde de matrice ici.

Pourquoi me direz-vous ? Simplement parce que le prochain modèle que nous voudrons afficher (comme un autre cube) sera automatiquement affecté par la rotation. Ce qui fait qu'au lieu de faire pivoter le cube initial, nous les ferons pivoter tous les deux. Essayez ce code pour voir :

// Rotation du repère

modelview = rotate(modelview, angle, vec3(0, 1, 0));


// Affichage du premier cube

cube.afficher(projection, modelview);


// Affichage du second cube un peu plus loin

modelview = translate(modelview, vec3(10, 0, 0));
cube.afficher(projection, modelview);

Reculez votre caméra avant en la plaçant au point de coordonnées suivantes :

// Placement de la caméra

modelview = lookAt(vec3(6, 6, 6), vec3(3, 0, 0), vec3(0, 1, 0));

Compilez pour voir.

Vous verrez que les deux cubes sont affectés par la rotation.

Dans un jeu-vidéo, ça serait assez problématique si une simple rotation de caméra faisait pivoter tout un bâtiment. :p

Pour éviter ça, il faut sauvegarder l'état de la matrice modelview avant la rotation, puis la restaurer une fois le modèle affiché :

// Sauvegarde de la matrice modelview

mat4 sauvegardeModelview = modelview;


    // Rotation du repère

    modelview = rotate(modelview, angle, vec3(0, 1, 0));


    // Affichage du premier cube

    cube.afficher(projection, modelview);


// Restauration de la matrice

modelview = sauvegardeModelview;


// Affichage du second cube plus loin

modelview = translate(modelview, vec3(10, 0, 0));
cube.afficher(projection, modelview);

Si vous essayez ce code, vous remarquerez que le second cube ne pivote plus. La rotation n'est valable que pour le premier car la matrice avait été sauvegardée avant.

Un autre exemple

Bien entendu, le système de sauvegarde/restauration ne doit pas être utilisé seulement pour les rotations mais bien pour toutes les transformations (translation et homothétie comprises).

Ce qui fait que le code précédent est encore incomplet car la translation du second cube affectera les objets affichés après. Il faut donc réutiliser la sauvegarde de matrice :

// Affichage du premier cube

....


// Sauvegarde de la matrice modelview

mat4 sauvegardeModelview = modelview;


    // Affichage du second cube plus loin

    modelview = translate(modelview, vec3(2, 0, 0));
    cube.afficher(projection, modelview);


// Restauration de la matrice

modelview = sauvegardeModelview;

Le cas des objets proches

Ce système de sauvegarde nous permet de revenir à chaque fois au centre du repère. Nos modèles sont donc placés sans erreur vu que nous partons toujours du point de coordonnées (0, 0, 0). Aucune transformation ne les affecte.

Le seul cas où vous pourrez vous permettre de ne pas restaurer la matrice immédiatement est le cas où des objets se situeraient près les uns des autres. Par exemple, imaginez que votre cube devienne une caisse et que vous souhaitez en afficher plusieurs côte à côte. Vous n'allez pas sauvegarder votre matrice à chaque fois pour revenir quasiment au même point après.

Si elles sont assez proches, vous pourrez les afficher les unes à la suite des autres sans problème et ce même si vous utilisez d'autres transformations :

// Sauvegarde de la matrice modelview

mat4 sauvegardeModelview = modelview;


    // Affichage du premier cube (au centre du repère)

    cube.afficher(projection, modelview);


    // Affichage du deuxième cube

    modelview = translate(modelview, vec3(3, 0, 0));
    cube.afficher(projection, modelview);


    // Affichage du troisième cube

    modelview = translate(modelview, vec3(3, 0, 0));
    cube.afficher(projection, modelview);


// Restauration de la matrice

modelview = sauvegardeModelview;
Image utilisateur

Vous voyez ici que les cubes sont assez proches, il est donc inutile de revenir au centre du repère pour repartir afficher la caisse suivante.

Ce qu'il faut retenir

Pour résumer tout ce blabla un peu confus :

C'est tout ce qu'il faut retenir dans ce chapitre. :)

Télécharger : Code Source C++ du Chapitre 8

Nous voici à la fin de ce chapitre. Nous avons appris à coder et à utiliser les sauvegardes de matrice. C'était un chapitre un peu technique mais il concernait une notion indispensable de la programmation avec OpenGL. N'oubliez pas qu'à partir de maintenant, nous utiliserons toujours les piles de matrices pour afficher nos modèles. ;)

Pour la suite du tuto je vous propose de vous reposer encore un peu, le prochain chapitre que nous allons aborder sera assez facile à comprendre. Il concernera les évènements avec la SDL 2.0. :)


La problématique Les évènements avec la SDL 2.0

Les évènements avec la SDL 2.0

Sauvegarde et Restauration Différences entre la SDL 1.2 et 2.0

Depuis le début du tutoriel, les évènements sont gérés automatiquement et sans contrôle sur le clavier et la souris. Nous pourrions continuer à coder ainsi, sans se préoccuper de rien mais on va profiter de ce petit chapitre pour créer une classe à part entière qui s'occupera de gérer tout ça pour nous. Avec elle, nous pourrons retrouver facilement les évènements qui nous intéressent comme les touches ou les boutons de souris qui sont utilisés, ...

Bien entendu, notre code devra respecter la règle de l'encapsulation. Il faudra donc faire attention à protéger les attributs pour ne pas accéder directement aux évènements.

Différences entre la SDL 1.2 et 2.0

Les évènements avec la SDL 2.0 La classe Input

Nous avons déjà eu l’occasion de constater les différences qu'ils existaient entre l'ancienne et la nouvelle version de la SDL, notamment lors de la création de fenêtre. Nous allons voir maintenant celles qui concernent les évènements car ils sont indispensables au développement d'un jeu vidéo. D'ailleurs, on les a déjà utilisés lorsque nous voulions savoir si une fenêtre devait se fermer ou pas.

En effet, à chaque tour de la boucle principale, on vérifie si l'évènement SDL_WINDOWEVENT_CLOSE est déclenché, ce qui nous permet de continuer ou d’arrêter la boucle :

// Boucle principale

bool terminer(false);

while(!terminer)
{
    // Gestion des évènements

    SDL_PollEvent(&m_evenements);

    if(m_evenements.window.event == SDL_WINDOWEVENT_CLOSE)
        terminer = true;
}

Ce bout de code est pratique mais il ne nous permet pas de gérer la pression des touches. On pourrait par exemple appuyer sur la touche ECHAP pour terminer la boucle, ou utiliser un de souris.

Si vous vous rappelez du chapitre sur les évènements de la SDL 1.2 dans le cours de M@téo, vous vous souvenez surement de la façon de gérer les touches du clavier. Par exemple, pour gérer la pression des touches T ou ECHAP il fallait faire ceci :

// Structure

SDL_Event evenements;


// Récupération d'un évènement

SDL_PollEvent(&evenements);


// Switch sur le type d'évènement

switch(evenements.type)
{
    case SDL_KEYDOWN:
        
        // Gestion des touches

        switch(evenements.key.keysym.sym)
        {
            case SDLK_T:
                ....
            break;

            case SDLK_ESCAPE:
                ....
            break;
        }

    break;
}

Voilà comment on gérait les évènements avec la SDL 1.2, et la bonne nouvelle c'est qu'avec la version 2.0 ça se passe de la même façon. :p

Seulement deux choses vont être modifiées :

Si on modifie le code précédent on trouve :

// Structure

SDL_Event evenements;


// Récupération d'un évènement

SDL_PollEvent(&evenements);


// Switch sur le type d'évènement

switch(evenements.type)
{
    case SDL_KEYDOWN:
        
        // Gestion des touches

        switch(evenements.key.keysym.scancode)
        {
            case SDL_SCANCODE_T:
                ....
            break;

            case SDL_SCANCODE_ESCAPE:
                ....
            break;
        }

    break;
}

Aucun gros changement. ;)

Je ne peux vous parler plus explicitement des scancodes mais sachez simplement que mis à part le nom des constantes, le code restera le même pour nous. Si on veut aller plus loin au niveau du fonctionnement de la SDL on remarque que les scancodes sont une modification majeur de la librairie car on change de norme pour identifier les touches en interne. Mais bon dans le fond on s'en moque un peu. :p

Concernant la souris, il n'y a rien à signaler. Il n'y a pas de grands changements par rapport à la SDL 1.2. La gestion se fera de la même façon pour nous.


Les évènements avec la SDL 2.0 La classe Input

La classe Input

Différences entre la SDL 1.2 et 2.0 Les méthodes indispensables

La classe Input

Maintenant que nous avons vu les différences qu'il existait entre les deux versions de la SDL, nous allons passer à l'implémentation d'une classe qui gèrera tous les évènements toute seule. :)

Ça veut dire qu'on va remplacer la structure SDL_Event par une classe ?

Alors oui et non, car la structure SDL_Event existera toujours quelque part. Mais au lieu de l'utiliser dans la classe SceneOpenGL, on l’utilisera dans une classe à part. Grâce à ça, les évènements seront protégés par la règle de l'encapsulation et seront aussi plus simples à utiliser. Seul l'appel à une méthode nous permettra de savoir si telle ou telle touche est enfoncée. :)

On appellera cette classe : la classe Input.

En informatique, les inputs sont des systèmes qui permettent d'apporter à l'ordinateur des actions venant de l'utilisateur. Elles peuvent prendre la forme d'un mouvement de souris, d'une pression sur une touche du clavier, d'un geste de doigt sur un écran tactile, ... D'où le nom Input pour la classe qui gèrera tous ces évènements. :)

Voici sa déclaration :

#ifndef DEF_INPUT
#define DEF_INPUT

// Include

#include <SDL2/SDL.h>


// Classe

class Input
{
    public:

    Input();
    ~Input();


    private:
};

#endif

Les attributs

La classe Input possèdera plusieurs attributs :

On va directement s’intéresser aux tableaux de booléens. Chaque case de ces tableaux pourra prendre deux valeurs : si une touche, ou un bouton, est enfoncé(e) elle prendra la valeur true, dans le cas contraire ce sera la valeur false. Au début du programme, toutes les cases sont initialisées à false, vu que l'on appuie sur aucune des touches.

Pour définir la taille de ces tableaux on pourrait croire qu'il faille utiliser l'allocation dynamique - vu qu'il existe plusieurs types de claviers - mais pas du tout. En effet, la SDL gère toute seule les différents claviers. Elle est capable de nous fournir une seule et unique constante (SDL_NUM_SCANCODES) représentant le nombre maximal de touches d'un clavier, et par conséquent la taille du tableau m_touches[]. Grâce à elle, on pourra gérer toutes les touches automatiquement. ;)

Pour la souris, ce sera un peu différent. Il n'existe pas de constante que l'on peut donner au tableau. En revanche, on peut savoir que la SDL ne peut gérer que 7 boutons pour la souris. On donnera donc une taille de 7 cases au tableau m_boutonsSouris[].

Si on regroupe les attributs on a :

#ifndef DEF_INPUT
#define DEF_INPUT

// Include

#include <SDL2/SDL.h>


// Classe

class Input
{
    public:

    Input();
    ~Input();


    private:

    SDL_Event m_evenements;
    bool m_touches[SDL_NUM_SCANCODES];
    bool m_boutonsSouris[8];

    int m_x;
    int m_y;
    int m_xRel;
    int m_yRel;

    bool m_terminer;
};

#endif

Avec ces attributs, on pourra récupérer tous les évènements dont on aura besoin. On verra en dernière partie de ce chapitre quelques méthodes qui nous permettront d'accéder à ces attributs.

Le constructeur et le destructeur

Maintenant qu'on a défini la classe Input, on doit s'occuper d'initialiser ses attributs avec le constructeur. Dans cette classe, on aura besoin que d'un constructeur : la constructeur par défaut.

Input();

Il s'occupera de mettre tous les attributs soit à 0 soit à false.

Son implémentation commence par l'initialisation de tous les attributs (sauf les tableaux) :

Input::Input() : m_x(0), m_y(0), m_xRel(0), m_yRel(0), m_terminer(false)
{

}

Pour initialiser les tableaux de bool, il faudra juste faire une boucle pour affecter la valeur false aux différentes cases :

Input::Input() : m_x(0), m_y(0), m_xRel(0), m_yRel(0), m_terminer(false)
{
    // Initialisation du tableau m_touches[]

    for(int i(0); i < SDL_NUM_SCANCODES; i++)
        m_touches[i] = false;


    // Initialisation du tableau m_boutonsSouris[]

    for(int i(0); i < 8; i++)
        m_boutonsSouris[i] = false;
}

Voilà pour le constructeur. :)

On profite également de cette partie pour créer le destructeur. Même si on ne met rien dedans, on l'implémente quand même. C'est une bonne habitude à prendre. ;)

Input::~Input()
{

}

La boucle d'évènements

Pour la partie qui va suivre, je vais vous demander toute votre attention. Nous allons voir la notion la plus importante du chapitre : la boucle d'évènements.

Euh c'est quoi cette boucle ? Ça a un rapport avec les évènements SDL ?

Oui tout à fait. Il s'agit d'une boucle qui récupère tous les évènements à un moment donné, quelque soit leur nature (touche de clavier, mouvement de souris, ...).

Si je vous parle de cette boucle, c'est parce qu'à l'heure actuelle nous avons un gros problème : nous ne sommes pas capables de gérer plusieurs évènements à la fois. Je vais vous donner un exemple pour que vous compreniez bien le problème.

Dans votre vie, vous avez probablement déjà joué à un jeu-vidéo, comme Mario par exemple. Les jeux Mario sont en général des jeux de plateformes où notre petit plombier doit sauter et avancer sur des plateformes, tuyaux et autres éléments de l'environnement.

La plupart du temps, sans même vous en rendre compte, vous appuyez sur plusieurs touches (ou boutons) en même temps. Par exemple, un personnage saute et avance en même temps, il se passe deux actions : sauter et avancer. On peut même rajouter des actions à ça : tirer, sprinter, ... Dans ce cas, le programme doit gérer 4 évènements en même temps.

A l'heure actuelle, notre problème c'est qu'avec la SDL nous ne pouvons gérer qu'un seul et unique évènement à la fois. Si nous programmions un Mario avec la SDL, le personnage ne pourrait même pas avancer et sauter en même, ce qui est un peu contraignant ... :p

Le problème vient de la SDL alors ? Elle est un peu nulle cette librairie :(

Non pas du tout, car ça ne vient pas vraiment d'elle mais de notre code. Vous vous souvenez du switch au début du chapitre ? Celui-ci :

// Structure

SDL_Event evenements;


// Attente d'un évènement

SDL_PollEvent(&evenements);


// Switch sur le type d'évènement

switch(evenements.type)
{
    case SDL_KEYDOWN:
        
        // Gestion des touches

        switch(evenements.key.keysym.scancode)
        {
            case SDL_SCANCODE_T:
                ....
            break;

            case SDL_SCANCODE_ESCAPE:
                ....
            break;
        }

    break;
}

Avec ce code, on ne peut gérer qu'un seul évènement par tour de boucle OpenGL.

Pour régler ce problème, on va se servir d'une petite astuce de la fonction SDL_PollEvent(). En effet, si on s’intéresse à son prototype on peut remarquer une chose :

int SDL_PollEvent(SDL_Event *event);

La fonction SDL_PollEvent() renvoie une valeur (un int).

On ne s'est jamais servi de cette valeur (on ne savait même pas qu'elle existait d'ailleurs) et pourtant c'est elle qui va régler notre problème. Cet integer retourné peut prendre deux valeurs :

Pour capturer tous les évènements, il suffit de piéger la fonction SDL_PollEvent() dans une boucle. Tant qu'il reste quelque chose à récupérer dans la file d'attente, la fonction retourne 1, donc on continue de récupérer les évènements jusqu'à qu'il n'y en ait plus.
Grâce à cette astuce, on sera capable de gérer plusieurs touches/boutons en même temps. Le petit Mario de tout à l'heure pourra donc avancer, sauter, sprinter, tirer des boules de feu ... et tout ça en même temps. ;)
D'où la boucle d'évènements dont je vous ai parlée tout à l'heure. :p

Au niveau du code, il suffit d'enfermer la fonction SDL_PollEvent() dans une boucle while. Tant que la fonction retourne 1 on continue la boucle :

// Structure

SDL_Event evenements;


// Boucle d'évènements

while(SDL_PollEvent(&evenements) == 1)
{
    // Switch sur le type d'évènement

    switch(evenements.type)
    {
        case SDL_KEYDOWN:
        
            // Gestion des touches

            switch(evenements.key.keysym.scancode)
            {
                case SDL_SCANCODE_T:
                    ....
                break;

                case SDL_SCANCODE_ESCAPE:
                    ....
                break;
            }

        break;
    }
}

On peut même simplifier le while en enlevant la condition ' == 1 ' :

// Boucle d'évènements

while(SDL_PollEvent(&evenements))
{
    ...
}

Vous savez maintenant ce qu'est la boucle d'évènements. C'est une boucle qui permet de capturer toutes les actions qui concernent le clavier, la souris, ... en même temps.

Nous allons maintenant revenir à la classe Input pour intégrer cette boucle dans une méthode. :)

La méthode updateEvenements()

La méthode qui va implémenter cette boucle s'appellera updateEvenements(). Voici son prototype :

void updateEvenements();

Commençons cette méthode en codant la fameuse boucle while qui prendra en "condition" la valeur retournée par la fonction SDL_PollEvent().

D'ailleurs, on donnera à cette dernière l'adresse de l'attribut m_evenements - car oui la structure SDL_Event existe toujours quelque part, elle n'a pas disparue. :p

void Input::updateEvenements()
{
    // Boucle d'évènements

    while(SDL_PollEvent(&m_evenements))
    {

    }
}

La suite du code ne changera pas beaucoup par rapport à la SDL 1.2. On met en place un gros switch qui va tester la valeur du champ m_evenements.type . On commencera par gérer les conditions relatives au clavier.

Deux cas doivent être gérés par le clavier :

Dans les deux cas, on actualisera l'état de la touche correspondante dans le tableau m_touches[]. D'ailleurs, on utilisera le champ m_evenements.key.keysym.scancode qui nous servira d'indice pour retrouver la bonne case :

// Actualisation de l'état de la touche

m_touches[m_evenements.key.keysym.scancode] = true;

Le gros avantage du tableau de booléens c'est que, quelque soit la touche enfoncée, nous n'avons besoin que d'une seule ligne de code pour actualiser son état. Que ce soit la touche A, B, C, ESPACE, ... une seule ligne suffit. :D

En définitif, pour gérer les touches du clavier nous devons :

void Input::updateEvenements()
{
    // Boucle d'évènements

    while(SDL_PollEvent(&m_evenements))
    {
        // Switch sur le type d'évènement

        switch(m_evenements.type)
        {
            // Cas d'une touche enfoncée

            case SDL_KEYDOWN:
                m_touches[m_evenements.key.keysym.scancode] = true;
            break;


            // Cas d'une touche relâchée

            case SDL_KEYUP:
                m_touches[m_evenements.key.keysym.scancode] = false;
            break;


            default:
            break;
        }
    }
}

Grâce à ce code, toutes les touches du clavier peuvent être mises à jour en même temps (enfin, en une boucle :p ).

Gestion de la souris

Nous avons déjà fait la plus grosse part du travail, on sait désormais gérer toutes les touches du clavier. Nous allons maintenant passer à la gestion de la souris.

La bonne nouvelle, c'est que les boutons de la souris se gèrent de la même façon que les touches du clavier. Il suffit de rajouter deux cases au switch : un pour les boutons qui seront pressés (ce case utilisera la constante SDL_MOUSEBUTTONDOWN) et un autre pour les boutons qui seront relâchés (il utilisera la constante SDL_MOUSEBUTTONUP).

Pour récupérer l'indice du bouton dans le tableau m_boutonsSouris[], nous n'utiliserons pas le champ m_evenements.key.keysym.scancode, car ce champ ne concerne uniquement que le clavier. A la place, nous utiliserons le champ evenements.button.button qui lui est réservé à la souris.

On ajoute donc les deux cases suivants au switch :

// Cas de pression sur un bouton de la souris

case SDL_MOUSEBUTTONDOWN:

    m_boutonsSouris[m_evenements.button.button] = true;

break;


// Cas du relâchement d'un bouton de la souris

case SDL_MOUSEBUTTONUP:

    m_boutonsSouris[m_evenements.button.button] = false;

break;

Ça c'était la partie des boutons. Maintenant il faut s'occuper des mouvements de la souris.

Lorsque la souris est en mouvement, un évènement est déclenché dans la SDL. Cet évènement va permettre de mettre à jour les coordonnées (x, y) du pointeur ainsi que ses coordonnées relatives. Nous allons pouvoir détecter ces mouvements grâce à la constante SDL_MOUSEMOTION. Lorsque cet évènement sera déclenché, on mettra à jour les attributs qui concernent les coordonnées. On prendra les nouvelles valeurs dans le champ m_evenements.motion :

// Cas d'un mouvement de souris

case SDL_MOUSEMOTION:

    m_x = m_evenements.motion.x;
    m_y = m_evenements.motion.y;

    m_xRel = m_evenements.motion.xrel;
    m_yRel = m_evenements.motion.yrel;

break;

Fermeture de la fenêtre

Il ne reste plus qu'un seul évènement à gérer dans cette boucle : le cas de la fermeture de la fenêtre (la croix rouge en haut à droite sous Windows). Depuis le début du tutoriel, on utilise cet évènement dans la boucle principale d'OpenGL pour savoir si on doit quitter le programme :

if(m_evenements.window.event == SDL_WINDOWEVENT_CLOSE)
    terminer = true;

Il faut maintenant enlever ce code pour le migrer dans la méthode updateEvenements(). N'oubliez pas que c'est elle et uniquement elle qui doit mettre à jour tous les évènements.

Nous allons donc ajouter un nouveau case dans le switch pour gérer cette fermeture. On utilisera la constante SDL_WINDOWSEVENT pour savoir si cet évènement a été déclenché. N'oubliez pas de modifier la variable terminer en m_terminer, car on met à jour non plus une variable mais un attribut :

// Cas de la fermeture de la fenêtre

case SDL_WINDOWEVENT:

    if(m_evenements.window.event == SDL_WINDOWEVENT_CLOSE)
        m_terminer = true;

break;

Si réunie tous ces cases dans la méthode, on trouve :

void Input::updateEvenements()
{
    // Boucle d'évènements

    while(SDL_PollEvent(&m_evenements))
    {
        // Switch sur le type d'évènement

        switch(m_evenements.type)
        {
            // Cas d'une touche enfoncée

            case SDL_KEYDOWN:
                m_touches[m_evenements.key.keysym.scancode] = true;
            break;


            // Cas d'une touche relâchée

            case SDL_KEYUP:
                m_touches[m_evenements.key.keysym.scancode] = false;
            break;


            // Cas de pression sur un bouton de la souris

            case SDL_MOUSEBUTTONDOWN:

                m_boutonsSouris[m_evenements.button.button] = true;

            break;


            // Cas du relâchement d'un bouton de la souris

            case SDL_MOUSEBUTTONUP:

                m_boutonsSouris[m_evenements.button.button] = false;

            break;


            // Cas d'un mouvement de souris

            case SDL_MOUSEMOTION:

                m_x = m_evenements.motion.x;
                m_y = m_evenements.motion.y;

                m_xRel = m_evenements.motion.xrel;
                m_yRel = m_evenements.motion.yrel;

            break;


            // Cas de la fermeture de la fenêtre

            case SDL_WINDOWEVENT:

                if(m_evenements.window.event == SDL_WINDOWEVENT_CLOSE)
                    m_terminer = true;

            break;


            default:
            break;
        }
    }
}

Problème des coordonnées relatives

Cette méthode est presque complète, il reste juste un petit point à régler qui concerne les coordonnées relatives. Ces coordonnées représentent la différence entre la position actuelle et l'ancienne position, elles seront très utiles dans le chapitre sur la caméra.

Le problème avec ces coordonnées c'est que : s'il n'y a aucun évènement alors elles ne sont pas mises à jour, elles conservent donc leurs anciennes valeurs. Ce qui veut dire que le programme considère que la souris continue de bouger, même si elle est inactive.

Pour régler ce problème, on va ré-initialiser les coordonnées avec la valeur 0 au début de la méthode. Ne vous inquiétez pas, si les coordonnées doivent être mises à jour avec de vraies valeurs elles le seront dans le switch.

Grâce à cette astuce, nous n'aurons aucun problème de mouvement fictif. On rajoute donc ces deux lignes de code au début de la méthode :

// Pour éviter des mouvements fictifs de la souris, on réinitialise les coordonnées relatives

m_xRel = 0;
m_yRel = 0;

Notre méthode donne donc au final :

void Input::updateEvenements()
{
    // Pour éviter des mouvements fictifs de la souris, on réinitialise les coordonnées relatives

    m_xRel = 0;
    m_yRel = 0;


    // Boucle d'évènements

    while(SDL_PollEvent(&m_evenements))
    {
        // Switch sur le type d'évènement

        switch(m_evenements.type)
        {
            // Cas d'une touche enfoncée

            case SDL_KEYDOWN:
                m_touches[m_evenements.key.keysym.scancode] = true;
            break;


            // Cas d'une touche relâchée

            case SDL_KEYUP:
                m_touches[m_evenements.key.keysym.scancode] = false;
            break;


            // Cas de pression sur un bouton de la souris

            case SDL_MOUSEBUTTONDOWN:

                m_boutonsSouris[m_evenements.button.button] = true;

            break;


            // Cas du relâchement d'un bouton de la souris

            case SDL_MOUSEBUTTONUP:

                m_boutonsSouris[m_evenements.button.button] = false;

            break;


            // Cas d'un mouvement de souris

            case SDL_MOUSEMOTION:

                m_x = m_evenements.motion.x;
                m_y = m_evenements.motion.y;

                m_xRel = m_evenements.motion.xrel;
                m_yRel = m_evenements.motion.yrel;

            break;


            // Cas de la fermeture de la fenêtre

            case SDL_WINDOWEVENT:

                if(m_evenements.window.event == SDL_WINDOWEVENT_CLOSE)
                    m_terminer = true;

            break;


            default:
            break;
        }
    }
}

Voilà ! Maintenant nous sommes capables de mettre à jour tous nos évènements, peu importe leur nombre ils seront tous gérés simultanément par la classe Input. :D

La méthode terminer()

Il ne reste plus qu'une chose à ajouter dans la classe : une méthode qui permet de dire si oui ou non l'utilisateur veut quitter le programme. Jusqu'à maintenant, on utilisait un booléen terminer pour fermer la fenêtre, mais maintenant ce booléen se trouve dans la classe Input.

Or, avec la règle de l'encapsulation on ne peut pas directement vérifier cet attribut. Il nous faut donc coder un accesseur pour récupérer la valeur du booléen.

Le prototype est terriblement simple. :p

bool terminer() const;

Son implémentation l'est tout autant :

bool Input::terminer() const
{
    return m_terminer;
}

Modification de la classe SceneOpenGL

On passe maintenant à l'utilisation de la classe Input dans notre scène 3D. Pour cela, on va remplacer l'ancien code de gestion des évènements par nos nouvelles méthodes.

On commence donc par déclarer un objet de type Input dans la classe SceneOpenGL qui viendra remplacer l'ancien attribut m_evenements :

#include "Input.h"

class SceneOpenGL
{
    public:

    /* *** Méthodes *** */


    private:

    /* *** Attributs *** */

    // Objet Input pour la gestion des évènements

    Input m_input;
}

On n'oublie pas de l'initialiser dans le constructeur :

SceneOpenGL::SceneOpenGL(std::string titreFenetre, int largeurFenetre, int hauteurFenetre) : m_titreFenetre(titreFenetre), m_largeurFenetre(largeurFenetre),
                                                                                             m_hauteurFenetre(hauteurFenetre), m_fenetre(0), m_contexteOpenGL(0), m_input()

Dans la boucle principale, on ne vérifie donc plus le booléen terminer mais la valeur retournée par la méthode terminer() :

// Boucle principale

while(!m_input.terminer())
{
    /* ***** RENDU ***** */
}

Enfin, on supprime notre ancien code de gestion d'évènements que l'on remplace par la méthode updateEvenements() de la classe Input :

// Boucle principale

while(!m_input.terminer())
{
    // On définit le temps de début de boucle

    debutBoucle = SDL_GetTicks();


    // Gestion des évènements

    m_input.updateEvenements();


    /* *** Rendu *** */
}

Voilà pour la classe Input ! Grâce à elle, tous nos évènements seront mis à jour automatiquement. :)

Maintenant que l'on a fait cela, on va pouvoir passer à l'implémentation de plusieurs méthodes "indispensables" qui vont nous permettre de connaitre l'état du clavier, de la souris, ... Nous devons passer par ces méthodes pour respecter la règle de l'encapsulation, sans quoi nous serions obligés d’accéder directement aux attributs pour avoir nos valeurs.


Différences entre la SDL 1.2 et 2.0 Les méthodes indispensables

Les méthodes indispensables

La classe Input Les textures

Méthodes

Cette dernière partie sera consacrée à une série de méthodes qui seront utilisées tout au long du tuto. Je vais vous donner une petite liste des fonctionnalités que l'on va implémenter. Il nous faudra une méthode pour :

Houla on va devoir coder tout ça ? o_O

Et bien oui. Mais sachez pour vous rassurer que la plus grosse méthode de cette liste ne fera que 4 lignes. :p

Ces méthodes ne se contenteront que de faire une simple action (renvoyer un booléen par exemple) avec parfois des bloc if else. Rien de compliqué ne vous inquiétez pas.

La méthode getTouche()

On commence par la méthode la plus importante : celle qui permet de savoir si une touche a été enfoncée (ou non). En gros, on va coder un getter sur le tableau m_touches[]. :p Elle prendra en paramètre une variable de type SDL_Scancode correspondant à la touche demandée :

bool getTouche(const SDL_Scancode touche) const;

Cette méthode renverra true si la touche est pressée ou false si elle ne l'est pas. N'oubliez pas de la déclarer en tant que méthode constante, vu que l'on ne modifie aucun attribut :

bool Input::getTouche(const SDL_Scancode touche) const
{
    return m_touches[touche];
}

Fini. :)

Bonus : On va utiliser cette nouvelle méthode dès maintenant. Désormais, je veux que chacune de vos fenêtres SDL de chaque projet que vous ferez puisse se fermer en appuyant sur la touche ECHAP.

Comment feriez-vous ça avec le getter que l'on vient de coder ? Je vous laisse réfléchir un peu. :p

Vous avez trouvé ?

// Boucle principale

while(!m_input.terminer())
{
    // On définit le temps de début de boucle

    debutBoucle = SDL_GetTicks();


    // Gestion des évènements

    m_input.updateEvenements();

    if(m_input.getTouche(SDL_SCANCODE_ESCAPE))
       break;


    /* *** Rendu *** */
}

Il suffit simplement d'appeler le getter getTouche() avec le scancode SDL_SCANCODE_ESCAPE. Si le getter retourne true, on casse la boucle avec le mot-clef break.

Bonus 2 : Pour savoir si deux touches sont enfoncées simultanément, il suffira d'utiliser un bloc if avec les deux touches demandées :

// Est-ce que les touches Z et D sont pressées ?

if(m_input.getTouche(SDL_SCANCODE_Z) && m_input.getTouche(SDL_SCANCODE_D))
{
    ...
}

La méthode getBoutonSouris()

La méthode, ou plutôt le getter, getBoutonSouris() fera la même chose que getTouche(). C'est-à-dire qu'elle permettra de savoir si un bouton spécifié est enfoncé ou pas. La seule différence avec la méthode précédente c'est que cette fois-ci, on lui donnera en paramètre non pas un SDL_Scancode mais une variable de type Uint8 correspondant au bouton demandé (En réalité, ce sera une constante comme avec les scancodes).

bool getBoutonSouris(const Uint8 bouton) const;

Elle renverra l'état du bouton demandé dans le tableau m_boutonsSouris[] :

bool Input::getBoutonSouris(const Uint8 bouton) const
{
    return m_boutonsSouris[bouton];
}

La méthode mouvementSouris()

La méthode suivante nous permettra de savoir si le pointeur de la souris a bougé. Grâce à elle, nous pourrons déclencher une action dès que la souris bougera. On appellera cette méthode : mouvementSouris(), elle renverra un booléen.

bool mouvementSouris() const;

Pour détecter un mouvement de souris il suffit de comparer la position relative du pointeur grâce aux attributs m_xRel et m_yRel. Si ces deux attributs sont égals à 0, alors le pointeur n'a pas bougé. Si en revanche ils ont une valeur non nulle, alors c'est que le pointeur a bougé.

bool Input::mouvementSouris() const
{
    if(m_xRel == 0 && m_yRel == 0)
        return false;

    else
        return true;
}

Les Getters du pointeur

Les méthodes suivantes sont des getters, elles renvoient chacune un attribut qui concerne la position du pointeur. Vous savez déjà comment fonctionne un getter, je vous épargne donc les explications. :)

Voici leur constructeur :

// Getters

int getX() const;
int getY() const;

int getXRel() const;
int getYRel() const;

Implémentation :

// Getters concernant la position du curseur

int Input::getX() const
{
    return m_x;
}

int Input::getY() const
{
    return m_y;
}

int Input::getXRel() const
{
    return m_xRel;
}

int Input::getYRel() const
{
    return m_yRel;
}

La méthode afficherPointeur()

Les méthodes suivantes peuvent vous paraitre inutiles pour le moment, mais dès que nous utiliserons une caméra mobile pour comprendrez vite leur utilité.

La méthode afficherPointeur() va permettre d'afficher ou de cacher le pointeur à l'écran. Elle prendra en paramètre un booléen qui :

void afficherPointeur(bool reponse) const;

Cette méthode va faire appel à une fonction SDL pour afficher ou cacher le pointeur :

int SDL_ShowCursor(int toggle);

Cette fonction prend en paramètre une constante qui peut être égale soit à SDL_ENABLE soit à SDL_DISABLE, ce paramètre se comporte un peu comme un booléen. On ne s'occupera pas de la valeur retournée par la fonction.

Voici l'implémentation de la méthode :

void Input::afficherPointeur(bool reponse) const
{
    if(reponse)
        SDL_ShowCursor(SDL_ENABLE);

    else
        SDL_ShowCursor(SDL_DISABLE);
}

La méthode capturerPointeur()

La dernière méthode va permettre d'utiliser le Mode Relatif de la Souris. Ce mode permet de piéger le pointeur dans la fenêtre, il ne pourra pas en sortir. C'est utile voir obligatoire dans un jeu-vidéo par exemple. On appellera cette méthode : capturerPointeur().

Faites attention à cette méthode, si vous l'appelez dans votre code vous devrez prévoir quelque chose pour fermer votre programme. Utilisez un getTouche() par exemple. Si vous ne faites pas ça, vous ne pourrez plus fermer votre fenêtre. Vous devrez alors utiliser les combinaisons CTRL + MAJ + SUPPR ou WINDOWS + TAB (si vous êtes sous Windows) pour pouvoir ré-utiliser la souris.

Le prototype de la méthode est le suivant :

void capturerPointeur(bool reponse) const;

Elle se comportera exactement de la même manière que la méthode précédente. Elle utilisera la fonction SDL_SetRelativeMousseMode() de la SDL pour activer le mode relatif de la souris :

int SDL_SetRelativeMouseMode(SDL_bool enabled);

Cette fonction prendra en paramètre un SDL_bool. Sa valeur peut être soit SDL_TRUE soit SDL_FALSE. Voici son implémentation :

void Input::capturerPointeur(bool reponse) const
{
    if(reponse)
        SDL_SetRelativeMouseMode(SDL_TRUE);

    else
        SDL_SetRelativeMouseMode(SDL_FALSE);
}

Voilà pour l'implémentation des méthodes "indispensables". :)

Télécharger : Code Source C++ du Chapitre 9

Exercices

Énoncés

Je vais vous donner des exercices assez simples pour vous habituez à utiliser votre nouvelle classe. Ceux-ci seront axés sur la pseudo-animation du cube (celle qui permettait de le faire tourner). Vous n'aurez besoin d'utiliser que les méthodes qui sont déjà codées, vous n'aurez donc pas besoin d'en rajouter.

Il est préférable que vous incluiez le code relatif aux évènements avant la fonction glClear(). En effet, vous verrez dans le futur que nous aurons parfois de faire plusieurs affichages de la même scène. Pour économiser du temps de calcul les inputs doivent se gérer avant ces affichages. La seule chose qui peut se trouver après la fonction c'est la méthode rotate() car elle ne fait pas partie des évènements mais des matrices (et donc de l'affichage).

Autant prendre les bonnes habitudes dès maintenant, surtout que ça ne mange pas de pain. :)

Exercice 1 : L'animation initiale du cube permettait de le faire pivoter selon un angle et par rapport à l'axe Y. Votre objectif est de dé-automatiser cette rotation pour qu'elle réponde aux touches du clavier Flèche Gauche et Droite (SDL_SCANCODE_LEFT et SDL_SCANCODE_RIGHT). Vous pouvez vous aider du code que l'on avait utilisé dans le chapitre 7 :

// Incrémentation de l'angle

angle += 4.0;

if(angle >= 360.0)
    angle -= 360.0;


// Sauvegarde de la matrice

mat4 sauvegardeModelview = modelview;


    // Rotation du repère

    modelview = rotate(modelview, angle, vec3(0, 1, 0));


    // Affichage du cube

    cube.afficher(projection, modelview);


// Restauration de la matrice

modelview = sauvegardeModelview;

Exercice 2 : Même exercice que précédemment sauf que l'axe concerné n'est plus Y mais X et les touches sont Flèche Haut et Bas (SDL_SCANCODE_UP et SDL_SCANCODE_DOWN).

Exercice 3 : Rassemblez les deux animations précédentes pour le même cube. C'est-à-dire que vous devez pouvoir appuyer sur les 4 touches directionnelles pour le faire pivoter selon l'axe XetY (Petit indice : vous aurez besoin de deux angles).

Solution

Exercice 1 :

Le but de l'exercice était de "manualiser" la rotation en fonction des touches Haut et Bas. Pour cela, il fallait simplement appeler la méthode getTouche() de l'objet m_input deux fois avec les constantes SDL_SCANCODE_LEFT et SDL_SCANCODE_RIGHT :

// Gestion des évènements

....


// Rotation du cube vers la gauche

if(m_input.getTouche(SDL_SCANCODE_LEFT))
{

}


// Rotation du cube vers la droite

if(m_input.getTouche(SDL_SCANCODE_RIGHT))
{

}


// Nettoyage de l'écran

glClear(GL_COLOR_BUFFER_BIT | GL_DEPTH_BUFFER_BIT);

....

Une fois la vérification des touches pressées faite, il ne manquait plus qu'à copier le code de rotation. Bien entendu, il fallait additionner l'angle dans un cas et le soustraire dans l'autre :

// Gestion des évènements

....


// Rotation du cube vers la gauche

if(m_input.getTouche(SDL_SCANCODE_LEFT))
{
    // Modification de l'angle

    angle -= 4.0;


    // Limitation

    if(angle >= 360.0)
        angle -= 360.0;
}


// Rotation du cube vers la droite

if(m_input.getTouche(SDL_SCANCODE_RIGHT))
{
    // Modification de l'angle

    angle += 4.0;


    // Limitation

    if(angle >= 360.0)
        angle -= 360.0;
}


// Nettoyage de l'écran

glClear(GL_COLOR_BUFFER_BIT | GL_DEPTH_BUFFER_BIT);

....

Enfin, il ne manquait plus qu'à appeler la méthode rotate() avec l'angle de rotation en paramètre et afficher le cube. Le tout encadré par la sauvegarde et la restauration de la matrice modelview. ;)

// Sauvegarde de la matrice modelview

mat4 sauvegardeModelview = modelview;


    // Rotation du repère

    modelview = rotate(modelview, angle, vec3(0, 1, 0));


    // Affichage du premier cube

    cube.afficher(projection, modelview);


// Restauration de la matrice

modelview = sauvegardeModelview;

Exercice 2 :

Cet exercice reprend le même principe que le précédent sauf qu'il fallait, d'une part, modifier les constantes utilisées :

// Rotation du cube vers le bas

if(m_input.getTouche(SDL_SCANCODE_DOWN))
{
    // Modification de l'angle

    angle -= 4.0;


    // Limitation

    if(angle >= 360.0)
        angle -= 360.0;
}


// Rotation du cube vers le haut

if(m_input.getTouche(SDL_SCANCODE_UP))
{
    // Modification de l'angle

    angle += 4.0;


    // Limitation

    if(angle >= 360.0)
        angle -= 360.0;
}

Et d'autre part, il fallait également modifier l'axe de rotation de la méthode rotate() :

// Rotation du repère

modelview = rotate(modelview, angle, vec3(0, 1, 0));

Exercice 3 :

Le dernier exercice était un poil plus dur que les deux autres, il fallait utiliser deux angles et gérer 4 touches du clavier.

Vous pouviez donner n'importe quel nom aux angles :

// Angles de la rotation

float angleX(0.0);
float angleY(0.0);

La gestion des 4 touches n'était pas compliquée du moment que vous utilisiez le bon angle avec le bon axe de rotation :

// Rotation du cube vers la gauche

if(m_input.getTouche(SDL_SCANCODE_LEFT))
{
    angleY -= 5;

    if(angleY > 360)
        angleY -= 360;
}


// Rotation du cube vers la droite

if(m_input.getTouche(SDL_SCANCODE_RIGHT))
{
    angleY += 5;

    if(angleY < -360)
        angleY += 360;
}
// Rotation du cube vers le haut

if(m_input.getTouche(SDL_SCANCODE_UP))
{
    angleX -= 5;

    if(angleX > 360)
        angleX -= 360;
}


// Rotation du cube vers le bas

if(m_input.getTouche(SDL_SCANCODE_DOWN))
{
    angleX += 5;

    if(angleX < -360)
        angleX += 360;
}

J'ai divisé le code en deux pour le rendre plus lisible. Il fallait évidemment tout coder au même endroit. ;)

Enfin, pour gérer les deux rotations, il fallait simplement appeler la méthode rotate() deux fois. Un appel prenait en compte l'angle angleX et l'autre l'angle angleY :

// Sauvegarde de la matrice modelview

mat4 sauvegardeModelview = modelview;


    // Rotation du repère

    modelview = rotate(modelview, angleY, vec3(0, 1, 0));
    modelview = rotate(modelview, angleX, vec3(1, 0, 0));


    // Affichage du premier cube

    cube.afficher(projection, modelview);


// Restauration de la matrice

modelview = sauvegardeModelview;

Encore une fois, n'oubliez pas d'utiliser la sauvegarde/restauration lorsque vous faites une transformation. :)

Notre classe Input est maintenant complète et prête à l'emploi. Avec elle, nous pourrons gérer tous nos évènements simplement. Nous serons capable de gérer la pression de plusieurs touches, des mouvements de la souris, etc. Et tout ça de manière simultanée.
Pour utiliser les évènements, il suffira juste de passer un objet de type Input aux modèles que l'on veut afficher.
De plus, l'avantage d'avoir une classe à part entière c'est que l'on pourra ajouter de nouvelles méthodes au fur et à mesure du tutoriel. Nous n'aurons pas besoin de revenir en arrière pour modifier le code, il suffira d'ajouter ce qu'il faut dans la classe Input.

Après ce chapitre repos, je vous propose de passer à un chapitre hyper méga important qui concerne les Textures avec OpenGL ! :D


La classe Input Les textures

Les textures

Les méthodes indispensables Introduction

Après le chapitre quelque peu compliqué sur les piles de matrices, nous allons passer aujourd'hui à un chapitre beaucoup plus concret (et plus intéressant :p ) qui concerne le Texturing avec OpenGL. Avec ceci, nous pourrons rendre notre scène 3D plus réaliste. Nous verrons comment charger des textures stockées sur votre disque dur (ou SSD) et comment les appliquer à une surface 3D.

Introduction

Les textures Chargement

Introduction

Avant de commencer ce chapitre très intéressant, on va définir ensemble un mot que vous avez déjà probablement entendu quelque part : le mot Texture.

Une texture est simplement une sorte de papier peint que l'on va "coller" sur les modèles (2D ou 3D). Dans un jeu vidéo, toutes les surfaces que vous voyez (sols, herbe, murs, personnages, ...) sont constituées de simples images collées sur des formes géométriques. Pour un mur par exemple, il suffit de créer une surface carrée puis de coller une image représentant des briques.

Image utilisateur

L'objectif de ce chapitre sera d'apprendre à créer une texture OpenGL de A à Z. Pour ceux qui auraient suivi le cours de M@téo sur la SDL, vous devriez déjà avoir une petite idée sur la façon de charger les images. Vous vous apercevrez cependant que le chargement de texture est assez différent avec OpenGL. Mais il permet de faire des choses beaucoup plus avancées.

L'une des premières difficultés va concerner la taille des textures à afficher. En effet, OpenGL ne sait gérer que les textures dont les dimensions sont des puissances de 2 (64 pixels, 128, 256, 512, ...).

Alors bon, ce n'est pas une obligation car OpenGL redimensionne de toute façon les images par lui-même mais si vous ne voulez pas vous retrouver avec une texture déformée, il vaut mieux prendre l'habitude des dimensions en puissance de 2. Le mieux est encore de modifier la taille de vos images avec des logiciels spécialisés. ;)

Avant d'aller plus loin, je vais vous demander de télécharger la librairie SDL_image (ou plutôt SDL2_image) qui nous permettra de réaliser la première étape dans la création de nos textures. Elle va nous faire gagner du temps en chargeant tous les bits d'une image en mémoire. Remarquez une fois de plus que toutes les librairies que nous utilisons sont portables. :p

Télécharger : SDL_image - MinGW pour Windows
Télécharger : Code Source SDL_image + Librairies - Visual C++ et Linux

Pour MinGW sous Windows : fusionnez les dossiers bin, dll, include et lib avec ceux du dossier SDL-2.0 que vous avez placé au tout début du tutoriel (chez moi : C:\Program Files (x86)\CodeBlocks\MinGW\SDL-2.0).
Pensez à rajouter les nouvelles dll soit dans le dossier de chaque projet, soit dans le dossier bin de MinGW selon la méthode que vous avez choisie au début du tuto.

Pour Linux ça va être folklo. :lol: Vu que tout le monde n'a pas forcément la même distribution, il faudra que vous compiliez vous même SDL_image. Cependant, cette librairie fait appel à 5 autres librairies et il faudra également toutes les compiler !
Mais bon vous savez que je ne suis pas sadique (ah bon ?), je vais donc vous donner directement toutes les commandes à taper dans votre terminal.

Enfin, commencez par télécharger le code source de SDL_image et dézippez son contenu dans votre home. Ensuite, exécutez les commandes suivantes mais attention ! Si j'ai divisé les commandes en bloc ce n'est pas pour rien, je vous conseille d'exécuter les blocs un à un pour voir si tout compile normalement. Si vous copiez toute les commandes d'un coup vous risquez de zapper une erreur que vous regretterez plus tard. ;)

cd
cd SDL_image/tiff-4.0.3/
chmod +x configure
./configure
make
sudo make install


cd ../zlib-1.2.7/
chmod +x configure
./configure
make
sudo make install


cd ../libpng-1.5.13/
chmod +x configure
./configure
make
sudo make install


cd ../jpeg-8d/
chmod +x configure
./configure
make
sudo make install


cd ../libwebp-0.2.0/
chmod +x configure
./configure
make
sudo make install


cd ../SDL_image
chmod +x configure
./configure
make
sudo make install

On reprend au niveau des IDE pour tout le monde, il va falloir linker la librairie SDL_image avec vos projets. Voici un petit tableau avec le link à spécifier en fonction de votre IDE :

OS

Option

Code::Blocks Windows

SDL2_image

Code::Blocks Linux

SDL2_image

DevC++

-lSDL2_image

Visual Studio

SDL2_image.lib

Enfin pour terminer cette introduction, nous allons télécharger un pack de textures que l'on utilisera tout au long de ce tutoriel. Vous y verrez à l'intérieur plusieurs catégories d'images (sols, pierres, bois, ...). Je remercie au passage notre petit Kayl qui a fait découvrir ce pack dans son tuto. Je reprends le même vu qu'il est assez complet. :p

Télécharger : Pack de Textures Haute Résolution


Les textures Chargement

Chargement

Introduction Plaquage

Les Objets OpenGL

La librairie SDL_image va nous faciliter grandement la tâche dans le chargement de texture. Elle va nous faire gagner beaucoup de temps car elle sait charger une multitude de formats d'image, nous n'aurons donc pas à charger nos images manuellement. Cependant, elle ne peut pas tout faire pour nous. Les images chargées avec SDL_image seront, si on les laisse comme ça, inutilisables avec OpenGL.

En effet, la librairie permet de charger les textures uniquement pour la SDL et non pour les autres API. Il nous faut donc configurer OpenGL pour qu'il puisse reconnaitre ces nouvelles textures. Dans cette partie nous allons voir pas mal de fonctions spécifiques à la librairie OpenGL, et vous verrez que vous retrouvez certaines d'entre elles tout au long du tutoriel. Je vous dirai celles qui sont importantes à retenir. ;)

Les objets OpenGL

Avant d'aller plus loin, j'aimerais que l'on développe un point important de ce chapitre : les objets OpenGL. Les objets OpenGL sont semblables aux objets en C++ (même s'ils sont différents dans le fond), on peut les représenter par le laboratoire que l'on voit dans le chapitre sur les objets de M@téo. Ce sont donc des sortes de laboratoires dont on ne connait pas le fonctionnement, et d'ailleurs on s'en moque à partir du moment où ils fonctionnent. :p

Pourquoi je vous parle de ça ? Et bien simplement parce qu'une texture est un objet OpenGL. Vous verrez que l'on va apprendre à initialiser la texture mais vous n'aurez aucune idée de ce qui se passe à l'intérieur de la carte graphique, tout comme le laboratoire. Nous donnerons à la texture des pixels à afficher et OpenGL se chargera du reste. Bon je schématise un peu mais vous avez compris l'idée.

Comment on crée un objet OpenGL ? C'est dur à faire ? :(

Non pas du tout c'est en réalité très simple ! En effet, pour créer ces objets on utilise la plupart du temps la même fonction. Et cette fonction nous renverra toujours la même chose : un ID représentant l'objet créé. Cet ID est une variable de type unsigned int et va permettra à OpenGL de savoir sur quel objet il doit travailler.

En ce qui concerne la configuration de ces objets, nous procéderons ainsi :

Toutes ces parties se gèrent avec les mêmes fonctions pour la plupart des objets OpenGL (que ce soit une texture ou autre). Il n'y a que l'étape de la configuration qui va varier.

La classe Texture

On commence la partie programmation par le plus simple : la création d'une classe Texture. Mis à part le constructeur et le destructeur, cette classe ne contiendra que la méthode charger() qui s'occupera de charger la texture demandée. Elle retournera un booléen pour confirmer ou non le chargement :

bool charger();

La classe contiendra également 2 attributs :

Au niveau du code, ça donne ça :

// Attributs

GLuint m_id;
std::string m_fichierImage;

Le constructeur prendra en paramètre une string qui représentera le chemin vers le fichier image. L'ID quant à lui sera généré par OpenGL :

// Constructeur 

Texture(std::string fichierImage);

On rajoutera au passage un accesseur pour l'attribut m_id et un mutateur pour m_fichierImage au cas où devrions spécifier une image après déclaration de l'objet. L'accesseur sera important pour la suite :

GLuint getID() const;
void setFichierImage(const std::string &fichierImage);

Sans oublier les includes de la SDL, de SDL_image et quelques autres voici ce que ça nous donne :

#ifndef DEF_TEXTURE
#define DEF_TEXTURE


// Include

#ifdef WIN32
#include <GL/glew.h>

#else
#define GL3_PROTOTYPES 1
#include <GL3/gl3.h>

#endif

#include <SDL2/SDL.h>
#include <SDL2/SDL_image.h>
#include <iostream>
#include <string>


// Classe Texture

class Texture
{
    public:

    Texture(std::string fichierImage);
    ~Texture();
    bool charger();
    GLuint getID() const;
    void setFichierImage(const std::string &fichierImage);


    private:

    GLuint m_id;
    std::string m_fichierImage;
};

#endif

Pour l'implémentation de ce début de code vous savez comment faire : :p

#include "Texture.h"


// Constructeur

Texture::Texture(std::string fichierImage) : m_id(0), m_fichierImage(fichierImage)
{

}


// Destructeur

Texture::~Texture()
{

}


// Méthodes

bool Texture::charger()
{

}


GLuint Texture::getID() const
{
    return m_id;
}


void Texture::setFichierImage(const std::string &fichierImage)
{
    m_fichierImage = fichierImage;
}

La méthode charger

Chargement de l'image dans une SDL_Surface

Maintenant que l'on a un squelette de classe propre, nous pouvons nous lancer dans la création de texture. La première étape consiste à charger un fichier image en mémoire grâce à la librairie SDL_image. Pour cela rien de plus simple, il existe une et unique fonction pour charger plus d'une dizaine de formats d'image différents ! Que demande le peuple. ^^

La fonction est la suivante :

SDL_Surface *IMG_Load(const char *file)

La fonction renvoie une SDL_surface qui contiendra tous les pixels nécessaires.

Pour le chemin du fichier, nous donnerons l'attribut m_fichierImage, ou plutôt la chaine C de cet attribut car la fonction demande un tableau de caractère. ;)

bool Texture::charger()
{
    // Chargement de l'image dans une surface SDL

    SDL_Surface *imageSDL = IMG_Load(m_fichierImage.c_str());
}

Attention cependant, la fonction peut renvoyer un pointeur sur 0. Il faut donc gérer cette erreur au cas où l'image n'existerait pas ou si le chemin donné contient une erreur. En cas de problème, on affiche alors un message d'erreur grâce à la fonction SDL_GetError() :

char* SDL_GetError(void);

Cette fonction permet de renvoyer la dernière erreur qu'a rencontrée la SDL (dans une chaine de char). Donc en cas d'erreur de chargement, on inclut le résultat de cette fonction dans un flux cout :

bool Texture::charger()
{
    // Chargement de l'image dans une surface SDL

    SDL_Surface *imageSDL = IMG_Load(m_fichierImage.c_str());

    if(imageSDL == 0)
    {
        std::cout << "Erreur : " << SDL_GetError() << std::endl;
        return false;
    }
}

Génération de l'ID

On a vu tout à l'heure ce qu'étaient les objets OpenGL et on sait également que nous pouvons les gérer grâce à leur ID. Nous allons maintenant voir comment générer cet ID. Pour ce faire, il existe une fonction déjà toute prête dans OpenGL :

GLuint glGenTextures(GLsizei number,  GLuint *textures);

Pour générer un ID de texture, il suffit d'utiliser cette fonction en donnant en paramètre l'attribut m_id de notre classe Texture :

// Génération de l'ID

glGenTextures(1, &m_id);

On appelle cette fonction juste après avoir charger l'image en mémoire :

bool Texture::charger()
{
    // Chargement de l'image dans une surface SDL

    SDL_Surface *imageSDL = IMG_Load(m_fichierImage.c_str());

    if(imageSDL == 0)
    {
        std::cout << "Erreur : " << SDL_GetError() << std::endl;
        return false;
    }

    // Génération de l'ID

    glGenTextures(1, &m_id);
}

Le verrouillage

Je vous ai parlé rapidement du verrouillage d'objet tout à l'heure, ceci permettait à OpenGL de verrouiller un objet pour travailler dessus. Tous les objets OpenGL doivent être verrouillés pour être configurés (et même pour être utilisés !) sinon vous ne pourrez rien faire avec.

On utilisera une fonction simple pour verrouiller nos objets. Ce sera d'ailleurs la même pour les déverrouiller. :p Voici son prototype :

void glBindTexture(GLenum target,  GLuint  texture);

Voici donc comment utiliser la fonction dans notre cas :

// Verrouillage

glBindTexture(GL_TEXTURE_2D, m_id);

Tiens au passage, vu que l'on a vu le verrouillage d'objets, nous allons voir maintenant le déverrouillage qui permet à OpenGL d’arrêter de se concentrer sur l'objet en cours, ce qui permet par extension d’empêcher les modifications.

Pour réaliser cette opération, on utilisera la même fonction mais avec le paramètre target non plus égal à la valeur de l'ID de la texture mais avec la valeur 0 (la valeur nulle quoi). En gros, on dit à OpenGL : "Verrouille l'objet possédant l'ID 0, soit rien du tout". :)

// Déverrouillage

glBindTexture(GL_TEXTURE_2D, 0);

Petit récap :

bool Texture::charger()
{
    // Chargement de l'image dans une surface SDL

    SDL_Surface *imageSDL = IMG_Load(m_fichierImage.c_str());

    if(imageSDL == 0)
    {
        std::cout << "Erreur : " << SDL_GetError() << std::endl;
        return false;
    }


    // Génération de l'ID

    glGenTextures(1, &m_id);


    // Verrouillage

    glBindTexture(GL_TEXTURE_2D, m_id);


    // Déverrouillage

    glBindTexture(GL_TEXTURE_2D, 0);
}

Configuration de la texture

Notre texture a un ID généré, elle est également verrouillée, on peut maintenant passer à sa configuration. :D

Grossièrement parlant, pour avoir une texture dans OpenGL il suffit de copier les pixels d'une image dans la texture. C'est aussi simple que ça. Seulement voilà, il existe plusieurs formats d'image et certaines contiennent plus de données que d'autres, ...

Hein je croyais que la librairie SDL_image permettait justement de gérer tous ces formats ? :(

Et bien oui vous avez raison, c'est bien SDL_image qui gère les différents formats de l'image. Il existe cependant une chose qu'elle ne peut pas nous dire automatiquement.

Vous n'êtes pas sans savoir qu'un pixel est composé de 3 couleurs (rouge, vert et bleu) ... Les pixels d'une image n’échappent pas à cette règle, chacun d'entre eux est composé de ces 3 couleurs. Seulement voilà, il existe, pour certains formats, une quatrième composante qui s'appelle la composante Alpha. Cette composante permet de stocker le "niveau de transparence" d'une image.

Pour charger correctement une texture, il faut savoir si cette valeur alpha est présente ou non, et heureusement pour nous, la librairie SDL_image est capable de nous le dire. En effet, dans la structure SDL_Surface utilisée au début de la méthode charger(), il existe un champ BytesPerPixel qui permet de dire s'il y a 3 ou 4 couleurs. Nous devrons donc d'abord récupérer cette valeur avant de copier les pixels dans la texture.

Bien on arrête là pour la théorie, on passe au code.

On veut savoir si une image possède 3 ou 4 couleurs, on récupère donc le champ imageSDL->format->BytesPerPixel pour le vérifier puis on met le tout dans un bloc if. Si on a une valeur inconnue, on arrête le chargement de la texture pour éviter de se retrouver avec une grosse erreur puis on n'oublie pas de libérer la surface SDL avant de quitter la méthode :

// Détermination du nombre de composantes

if(imageSDL->format->BytesPerPixel == 3)
{

}

else if(imageSDL->format->BytesPerPixel == 4)
{

}


// Dans les autres cas, on arrête le chargement

else
{
    std::cout << "Erreur, format de l'image inconnu" << std::endl;
    SDL_FreeSurface(imageSDL);

    return false;
}

On sait maintenant qu'il faut faire attention au bidule alpha, mais qu'est qu'on met à l'intérieur des if ? Ils sont tout vide. :(

C'est normal, il manque encore quelque chose. Comme on l'a vu plus tôt, OpenGL a besoin de savoir si la composante alpha existe ou pas. Seulement si on lui donne la valeur 3 ou 4 ça ne va pas lui suffire, il faudra envoyer une autre valeur qui sera un peu comme le paramètre GL_TEXTURE_2D que l'on a vu plus haut. Avec ce paramètre, il comprendra mieux ce qu'on lui enverra.

Il y aura deux cas à gérer :

Au niveau du code, on utilisera une variable de type GLenum pour retenir cette valeur. On l'appellera formatInterne, vous verrez pourquoi juste après :

// Détermination du nombre de composantes

GLenum formatInterne(0);

if(imageSDL->format->BytesPerPixel == 3)
{
    formatInterne = GL_RGB;
}

else if(imageSDL->format->BytesPerPixel == 4)
{    
    formatInterne = GL_RGBA;
}


// Dans les autres cas, on arrête le chargement

else
{
    std::cout << "Erreur, format interne de l'image inconnu" << std::endl;
    SDL_FreeSurface(imageSDL);

    return false;
}

Il ne manque plus qu'une chose à faire. Selon le système d'exploitation ou même les images que vous utiliserez, les pixels ne seront pas stockés dans le même ordre. Par exemple sous Windows, la plupart des formats stockent leurs pixels selon l'ordre Rouge Vert Bleu (RGB) sauf les images au format BMP. Ceux-ci voient leurs pixels stockés selon l'ordre Bleu Vert Rouge (BGR). C'est un problème que nous devons gérer car certains auront la belle surprise de voir leurs images avec des couleurs complétement inversées (Imaginez un Dark Vador en blanc :p ).

Il faut donc dire à OpenGL dans quel ordre les pixels sont stockés, et pour ça on va utiliser une autre variable de type GLenum que l'on appelera format :

// Détermination du format et du format interne

GLenum formatInterne(0);
GLenum format(0);

Pour connaitre l'ordre des pixels, nous devons utiliser un autre champ de la structure imageSDL. Ce champ sera imageSDL->format->Rmask.

Il existe 4 champs similaires Rmask, Gmask, Bmask et Amask qui représente chacun la position de sa couleur à l'aide d'une valeur hexadécimal. Nous utiliserons le premier champ (Rmask), même si nous pouvions utiliser n'importe lequel. Sauf le dernier car il se trouve toujours à la fin quelque soit le format d'image.

Nous devons donc tester cette valeur pour connaitre la position de la couleur rouge. Si sa valeur est égale à 0xff alors elle est placée au début, sinon c'est qu'elle se trouve à la fin :

// Format de l'image

GLenum formatInterne(0);
GLenum format(0);


// Détermination du format et du format interne

if(imageSDL->format->BytesPerPixel == 3)
{
    // Format interne

    formatInterne = GL_RGB;


    // Format

    if(imageSDL->format->Rmask == 0xff)
    {}

    else
    {}
}

else if(imageSDL->format->BytesPerPixel == 4)
{    
    // Format interne

    formatInterne = GL_RGBA;


    // Format

    if(imageSDL->format->Rmask == 0xff)
    {}

    else
    {}
}


// Dans les autres cas, on arrête le chargement

else
{
    std::cout << "Erreur, format interne de l'image inconnu" << std::endl;
    SDL_FreeSurface(imageSDL);

    return false;
}

Il faut maintenant affecter une valeur à la variable format. Il y a 4 cas à gérer :

Ces quatre cas seront représentés par les constantes suivantes :

Il n'y a plus qu'à affecter la bonne constante à la variable format :

// Format pour 3 couleurs

if(imageSDL->format->Rmask == 0xff)
    format = GL_RGB;

else
    format = GL_BGR;


....


// Format pour 4 couleurs

if(imageSDL->format->Rmask == 0xff)
    format = GL_RGBA;

else
    format = GL_BGRA;

Ce qui donne au final :

// Format de l'image

GLenum formatInterne(0);
GLenum format(0);


// Détermination du format et du format interne pour les images à 3 composantes

if(imageSDL->format->BytesPerPixel == 3)
{
    // Format interne

    formatInterne = GL_RGB;


    // Format

    if(imageSDL->format->Rmask == 0xff)
        format = GL_RGB;

    else
        format = GL_BGR;
}


// Détermination du format et du format interne pour les images à 4 composantes

else if(imageSDL->format->BytesPerPixel == 4)
{    
    // Format interne

    formatInterne = GL_RGBA;


    // Format

    if(imageSDL->format->Rmask == 0xff)
        format = GL_RGBA;

    else
        format = GL_BGRA;
}


// Dans les autres cas, on arrête le chargement

else
{
    std::cout << "Erreur, format interne de l'image inconnu" << std::endl;
    SDL_FreeSurface(imageSDL);

    return false;
}

Pfiou tout ce gourbi pour déterminer deux valeurs ! :lol:

On a fait le plus dur, il ne nous reste plus qu'à copier les fameux pixels dans la texture. Pour ça, on va utiliser la fonction suivante (ne soyez pas surpris du nombre de paramètres :p ) :

void glTexImage2D(GLenum target,  GLint level,  GLint internalFormat,  GLsizei width,  GLsizei height,  GLint border,  GLenum format,  GLenum type,  const GLvoid * data);

Ça en fait des paramètres tout ça ! Mais au moins on n'utilise qu'une seule fonction pour remplir notre texture.

Voyons son implémentation dans le code :

// Copie des pixels

glTexImage2D(GL_TEXTURE_2D, 0, formatInterne, imageSDL->w, imageSDL->h, 0, format, GL_UNSIGNED_BYTE, imageSDL->pixels);

On refait un petit récap :

bool Texture::charger()
{
    // Chargement de l'image dans une surface SDL

    SDL_Surface *imageSDL = IMG_Load(m_fichierImage.c_str());

    if(imageSDL == 0)
    {
        std::cout << "Erreur : " << SDL_GetError() << std::endl;
        return false;
    }


    // Génération de l'ID

    glGenTextures(1, &m_id);


    // Verrouillage

    glBindTexture(GL_TEXTURE_2D, m_id);


    // Format de l'image

    GLenum formatInterne(0);
    GLenum format(0);


    // Détermination du format et du format interne pour les images à 3 composantes

    if(imageSDL->format->BytesPerPixel == 3)
    {
        // Format interne

        formatInterne = GL_RGB;


        // Format

        if(imageSDL->format->Rmask == 0xff)
            format = GL_RGB;

        else
            format = GL_BGR;
    }


    // Détermination du format et du format interne pour les images à 4 composantes

    else if(imageSDL->format->BytesPerPixel == 4)
    {    
        // Format interne
        
        formatInterne = GL_RGBA;


        // Format

        if(imageSDL->format->Rmask == 0xff)
            format = GL_RGBA;

        else
            format = GL_BGRA;
    }


    // Dans les autres cas, on arrête le chargement

    else
    {
        std::cout << "Erreur, format interne de l'image inconnu" << std::endl;
        SDL_FreeSurface(imageSDL);

        return false;
    }


    // Copie des pixels

    glTexImage2D(GL_TEXTURE_2D, 0, formatInterne, imageSDL->w, imageSDL->h, 0, format, GL_UNSIGNED_BYTE, imageSDL->pixels);


    // Déverrouillage

    glBindTexture(GL_TEXTURE_2D, 0);
}

Et voila ! La texture contient enfin ses propres pixels issus de notre fichier image.

Les filtres

Allez courage, il ne nous manque plus qu'une chose à faire.

Je vais vous parler rapidement d'une notion que je connais très mal : la notion de filtres. Je ne m'y connais pas assez pour tenir tout un pavé alors je ferai vite. :lol:

Un filtre permet de gérer la qualité d'affichage d'une texture. Il permet à OpenGL de savoir s'il doit afficher une image en mode pixelisé ou en mode lisse. On serait tenté de vouloir que toutes les textures soient lisses au moment de l'affichage mais sachez que ça joue sur la vitesse de votre programme. En effet, plus vous voudrez de belles textures à l'écran, plus votre matériel sera sollicité. Alors bon, aujourd'hui le problème est moins voyant qu'il y a 10 ans mais on est toujours aujourd'hui dans cette optique d'optimisation du rendu.

Pour vous éviter un gros bloc de théorie je vais résumer ma pensée en quelques lignes (en plus ça m'arrange, j'ai mal aux doigts :p ).

Il existe deux types d'affichage pour une texture :

Ces deux cas vont correspondre à deux filtres que nous allons créer.

Pour créer un filtre, on utilise la fonction suivante :

void glTexParameteri(GLenum target,  GLenum pname,  GLint param);

Cette fonction permet d'envoyer des paramètres supplémentaires à nos textures, dans notre cas des filtres. Voici ses paramètres :

Avec cette fonction, nous pourrons créer deux filtres : un pour le cas où la texture est proche de l'écran et un autre pour le cas où elle en est éloignée.

Pour le premier filtre :

Code :

// Application des filtres

glTexParameteri(GL_TEXTURE_2D, GL_TEXTURE_MIN_FILTER, GL_LINEAR);

Pour le second filtre :

Code :

glTexParameteri(GL_TEXTURE_2D, GL_TEXTURE_MAG_FILTER, GL_NEAREST);

Grâce à ces filtres, nous pourrons avoir un bon équilibre entre érgonomie pour le joueur et rapidité pour le CPU et la carte graphique.

Petit récap :

bool Texture::charger()
{
    // Chargement de l'image dans une surface SDL

    SDL_Surface *imageSDL = IMG_Load(m_fichierImage.c_str());

    if(imageSDL == 0)
    {
        std::cout << "Erreur : " << SDL_GetError() << std::endl;
        return false;
    }


    // Génération de l'ID

    glGenTextures(1, &m_id);


    // Verrouillage

    glBindTexture(GL_TEXTURE_2D, m_id);


    // Format de l'image

    GLenum formatInterne(0);
    GLenum format(0);


    // Détermination du format et du format interne pour les images à 3 composantes

    if(imageSDL->format->BytesPerPixel == 3)
    {
        // Format interne

        formatInterne = GL_RGB;


        // Format

        if(imageSDL->format->Rmask == 0xff)
            format = GL_RGB;

        else
            format = GL_BGR;
    }


    // Détermination du format et du format interne pour les images à 4 composantes

    else if(imageSDL->format->BytesPerPixel == 4)
    {    
        // Format interne
        
        formatInterne = GL_RGBA;


        // Format

        if(imageSDL->format->Rmask == 0xff)
            format = GL_RGBA;

        else
            format = GL_BGRA;
    }


    // Dans les autres cas, on arrête le chargement

    else
    {
        std::cout << "Erreur, format interne de l'image inconnu" << std::endl;
        SDL_FreeSurface(imageSDL);

        return false;
    }


    // Copie des pixels

    glTexImage2D(GL_TEXTURE_2D, 0, formatInterne, imageSDL->w, imageSDL->h, 0, format, GL_UNSIGNED_BYTE, imageSDL->pixels);


    // Application des filtres

    glTexParameteri(GL_TEXTURE_2D, GL_TEXTURE_MIN_FILTER, GL_LINEAR);
    glTexParameteri(GL_TEXTURE_2D, GL_TEXTURE_MAG_FILTER, GL_NEAREST);


    // Déverrouillage

    glBindTexture(GL_TEXTURE_2D, 0);
}

Fin de la méthode

Pffffffiou, entre les ID, le verrouillage, les filtres et tout ça je n'en puis plus (comme dirait Hooper) !

Il est temps de terminer cette méthode. Il ne reste plus qu'à libérer la surface SDL qui contenait les pixels et à retourner la valeur true (car la méthode s'est normalement terminée sans erreur) :

// Fin de la méthode

SDL_FreeSurface(imageSDL);
return true;

Récap final :

bool Texture::charger()
{
    // Chargement de l'image dans une surface SDL

    SDL_Surface *imageSDL = IMG_Load(m_fichierImage.c_str());

    if(imageSDL == 0)
    {
        std::cout << "Erreur : " << SDL_GetError() << std::endl;
        return false;
    }


    // Génération de l'ID

    glGenTextures(1, &m_id);


    // Verrouillage

    glBindTexture(GL_TEXTURE_2D, m_id);


    // Format de l'image

    GLenum formatInterne(0);
    GLenum format(0);


    // Détermination du format et du format interne pour les images à 3 composantes

    if(imageSDL->format->BytesPerPixel == 3)
    {
        // Format interne

        formatInterne = GL_RGB;


        // Format

        if(imageSDL->format->Rmask == 0xff)
            format = GL_RGB;

        else
            format = GL_BGR;
    }


    // Détermination du format et du format interne pour les images à 4 composantes

    else if(imageSDL->format->BytesPerPixel == 4)
    {    
        // Format interne
        
        formatInterne = GL_RGBA;


        // Format

        if(imageSDL->format->Rmask == 0xff)
            format = GL_RGBA;

        else
            format = GL_BGRA;
    }


    // Dans les autres cas, on arrête le chargement

    else
    {
        std::cout << "Erreur, format interne de l'image inconnu" << std::endl;
        SDL_FreeSurface(imageSDL);

        return false;
    }


    // Copie des pixels

    glTexImage2D(GL_TEXTURE_2D, 0, formatInterne, imageSDL->w, imageSDL->h, 0, format, GL_UNSIGNED_BYTE, imageSDL->pixels);


    // Application des filtres

    glTexParameteri(GL_TEXTURE_2D, GL_TEXTURE_MIN_FILTER, GL_LINEAR);
    glTexParameteri(GL_TEXTURE_2D, GL_TEXTURE_MAG_FILTER, GL_NEAREST);


    // Déverrouillage

    glBindTexture(GL_TEXTURE_2D, 0);


    // Fin de la méthode

    SDL_FreeSurface(imageSDL);
    return true;
}

Enfin ! Nous avons une classe Texture qui permet de charger des fichiers images pour les afficher dans nos scènes 3D. Le petit truc que je ne vous ai pas dit, c'est que cette méthode est incomplète, il manque encore quelque chose mais nous verrons ça dans la dernière sous-partie de ce chapitre. Je ne vais pas vous assassiner plus pour l'instant. :lol: Nous avons ce qu'il nous faut pour afficher une texture sur un modèle 3D et c'est le principal pour le moment. Je veux que vous vous familiarisez avec l'affichage de texture avant d'aller plus loin. :)


Introduction Plaquage

Plaquage

Chargement Améliorations

Affichage d'une texture

Le plus dur est derrière nous, nous avons appris à déclarer et remplir un texture au sein d'OpenGL. On va maintenant apprendre à les afficher. Et la bonne nouvelle, c'est que vous savez déjà comment faire. :p Ça se passe de la même façon qu'avec les vertices ou les couleurs.

Pour débuter, on va se contenter d'afficher notre première texture sur un simple carré afin de se concentrer sur l'essentiel. Nous utiliserons ensuite notre classe Cube pour afficher un modèle un peu plus élaboré. D'ailleurs, voyons ensemble la première texture que nous serons capables de traiter :

Image utilisateur

Elle nous sera utile tout au long du chapitre, vous la trouverez dans l'archive que vous avez téléchargée au début sous le nom de crate13.jpg. Au pire des cas, faites un clique droit sur l'image ci-dessus pour la récupérer. Nous aurons l'occasion d'en utiliser d'autres aussi.

Coordonnées de Texture

Je ne sais pas si vous lisez toujours les sous-titres oranges et bleues, mais si vous lisez une ligne plus haut vous tomberez sur le terme "coordonnées de texture".

Oh ! C'est quoi ces coordonnées ? C'est similaire aux vertices et tout ça ?

Et bien oui ! On peut faire une analogie avec les vertices car, pour afficher une texture, il faut lui donner une sorte de position. Seulement attention, on ne parle pas ici de coordonnées spatiales avec un repère 3D, une matrice et tout ça ...

Je vais vous expliquer ça avec deux schéma.

Vous savez depuis un moment que les vertices sont composés de coordonnées spatiales (X, Y et Z) :

Image utilisateur

Avec ce système, vous pouvez donner n'importe quelle taille à une forme 3D comme le cube des chapitres précédents par exemple. Et bien les textures se comportent de la même façon. A une exception près : les coordonnées de texture sont toujours comprises entre 0 et 1 :

Image utilisateur

On peut voir sur le schéma le point d'origine de la texture en bas à gauche ainsi que 3 autres coordonnées. La plupart du temps, nous n'utiliserons que ces 4 points vu qu'ils correspondent aux coins de la texture. Mais sachez qu'il est tout à fait possible d'avoir des coordonnées du type (0.27; 0.38) pour ne récupérer qu'une partie de la texture.

Pour plaquer une texture sur une surface il faudra simplement faire correspondre les coordonnées de texture avec les bons vertices :

Image utilisateur

La chose se complexifie légèrement quand on n'oublie le carré et que l'on parle des deux triangles, mais le tout reste tout de même assez simple :

Image utilisateur

Simple n'est-ce pas ? :p

Vous savez maintenant ce que sont les coordonnées de texture : ce sont des points, correspondant généralement aux coins d'une texture, qui permettent de la plaquer sur une surface.

Affichage d'une texture

Nous avons toutes les cartes en main pour afficher notre première texture. Nous n'avons plus qu'à instancier la classe Texture et à utiliser ses coordonnées.

On reprend donc notre bonne vielle classe SceneOpenGL pour déclarer un objet de type Texture (n'oubliez pas d'inclure le header) qu'on appellera simplement texture, puis on la chargera en mémoire. Pensez également à effacer tout le code qui concernait le cube des chapitres précédents :

void SceneOpenGL::bouclePrincipale()
{
    // Variables

    unsigned int frameRate (1000 / 50);
    Uint32 debutBoucle(0), finBoucle(0), tempsEcoule(0);


    // Matrices

    mat4 projection;
    mat4 modelview;

    projection = perspective(70.0, (double) m_largeurFenetre / m_hauteurFenetre, 1.0, 100.0);
    modelview = mat4(1.0);


    // Texture

    Texture texture("Textures/Caisse.jpg");
    texture.charger();


    // Boucle principale

    while(!m_input.terminer())
    {
        /* *** Boucle principale *** */
    }
}

Je vous redonne au passage le code de base pour la boucle principale :

// Boucle principale

while(!m_input.terminer())
{
    // On définit le temps de début de boucle

    debutBoucle = SDL_GetTicks();


    // Gestion des évènements

    m_input.updateEvenements();

    if(m_input.getTouche(SDL_SCANCODE_ESCAPE))
       break;


    // Nettoyage de l'écran

    glClear(GL_COLOR_BUFFER_BIT | GL_DEPTH_BUFFER_BIT);


    // Placement de la caméra

    modelview = lookAt(vec3(0, 0, 2), vec3(0, 0, 0), vec3(0, 1, 0));


    
    /* *** Rendu *** */



    // Actualisation de la fenêtre

    SDL_GL_SwapWindow(m_fenetre);


    // Calcul du temps écoulé

    finBoucle = SDL_GetTicks();
    tempsEcoule = finBoucle - debutBoucle;


    // Si nécessaire, on met en pause le programme

    if(tempsEcoule < frameRate)
        SDL_Delay(frameRate - tempsEcoule);
}

Bien, avec ce code propre on va pouvoir bosser tranquillement.

Notre objectif depuis le début de ce chapitre est l'affichage d'une texture sur une surface, et de préférence un carré. On va commencer par créer nos coordonnées pour les vertices. D'ailleurs, vous savez déjà depuis un moment comment faire un carré avec OpenGL. Je vais donc vous demander de me coder vous-même les vertices pour un carré avec des arrêtes mesurant 4 unités de longueur :

Image utilisateur

Cependant, je souhaite attirer votre attention sur deux points :

Voila pour les explications, en gros faites un carré à l'ancienne avec 3 dimensions. ^^

...

Fini ? Voici la solution :

// Vertices

float vertices[] = {-2, -2, -2,   2, -2, -2,   2, 2, -2,   // Triangle 1
                    -2, -2, -2,   -2, 2, -2,   2, 2, -2};  // Triangle 2

Aaaah, faire un carré c'est tout de même plus simple que de devoir faire un cube complet.

L'étape suivante consisterait normalement à colorier notre nouvelle forme. Cependant, nous n'en avons plus besoin vu que nous avons une texture qui va s'appliquer dessus.
Dans notre code, au lieu de déclarer un tableau de couleurs nous allons déclarer un tableau de coordonnées de texture. Et comme je suis sadique, je vais vous demander de me coder ce tableau vous-même comme des grands. :p N’ayez pas peur c'est exactement le même principe qu'avec les vertices et les couleurs.

Pour vous aider dans cette tâche je vais vous donner deux petites schémas avec les informations nécessaires :

Image utilisateur
Image utilisateur

Rien de bien compliqué, vous devez simplement faire comme s'il s'agissait de vertices. Vous avez toutes les coordonnées (x, y) et vous devez en faire un tableau. Faites attention cependant à leur ordre à l'intérieur du tableau car celles-ci sont liées à vos vertices (au même titre que les couleurs).

... Pause café ...

Fini. Allez on passe à la correction.

// Coordonnées de texture

float coordTexture[] = {0, 0,   1, 0,   1, 1,     // Triangle 1
                        0, 0,   0, 1,   1, 1};    // Triangle 2

On a maintenant un carré, une texture et des coordonnées permettant de la plaquer dessus. On n'a plus qu'à donner tout ça à OpenGL et le tour est joué. :)

Ah mais justement : comment on envoie les coordonnées à OpenGL ?

Bonne question, je vous ai dit tout à l'heure que les coordonnées de texture se géraient de la même façon que les vertices et les couleurs. On va donc utiliser donc un Vertex Array pour envoyer toutes les données à OpenGL.

Vous vous souvenez des Vertex Array quand même ? Ce sont des tableaux qui font le lien entre les coordonnées et OpenGL. Le tableau Vertex Attrib 0 permet d'envoyer les vertices et le tableau Vertex Attrib 1 permet d'envoyer les couleurs. Maintenant nous allons utiliser le tableau Vertex Attrib 2 qui va nous permettre d'envoyer nos coordonnées de texture.

Dans notre code, il nous faut appeler la fonction glVertexAttribPointer() avec l'indice 2 (et non 1). Il faut également donner la valeur 2 au paramètre size car nos coordonnées de texture ne sont constituées que de couple de valeurs (x, y) et non de triplet (x, y, z). On pensera à donner le tableau coordTexture en dernier paramètres sinon on ne risque pas d'envoyer grand chose à OpenGL. :lol:

Voici à quoi ressemblerait l'appel à glVertexAttribPointer() dans notre cas :

// Envoi des coordonnées de texture

glVertexAttribPointer(2, 2, GL_FLOAT, GL_FALSE, 0, coordTexture);

Puisque nous envoyons des données à travers un tableau Vertex Attrib, il faut penser à l'activer grâce à la fonction glEnableVertexAttribArray(). On appelle donc celle-ci avec la valeur 2 pour activer le tableau d'indice 2 :

// Envoi des coordonnées de texture

glVertexAttribPointer(2, 2, GL_FLOAT, GL_FALSE, 0, coordTexture);
glEnableVertexAttribArray(2);

On place ce bout de code au même endroit où on envoyait les couleurs, c'est-à-dire entre les deux appels à la fonction glUseProgram() :

// Activation du shader

glUseProgram(shader.getProgramID());


    // Envoi des vertices

    glVertexAttribPointer(0, 3, GL_FLOAT, GL_FALSE, 0, vertices);
    glEnableVertexAttribArray(0);


    // Envoi des coordonnées de texture

    glVertexAttribPointer(2, 2, GL_FLOAT, GL_FALSE, 0, coordTexture);
    glEnableVertexAttribArray(2);


    // Envoi des matrices et rendu

    ....



    // Désactivation des tableaux

    glDisableVertexAttribArray(2);
    glDisableVertexAttribArray(0);


// Désactivation du shader

glUseProgram(0);

Tiens en parlant de shader, nous allons devoir modifier les codes sources (le petits fichiers dans le dossier Shaders) qu'il utilise afin de pouvoir intégrer l'affichage de texture. En effet, ceux que nous avons utilisés jusqu'à maintenant ne gèrent que la couleur, nous en avons donc besoin de nouveaux pour gérer notre nouvelle façon d'afficher.

Ces nouveaux codes sources se nomment texture.vert et texture.frag et devraient être présents dans votre dossier Shaders :

// Shader gérant les texture

Shader shaderTexture("Shaders/texture.vert", "Shaders/texture.frag");
shaderTexture.charger();

Faisons un petit récap (sans la boucle principale) pour voir où nous en sommes pour le moment :

void SceneOpenGL::bouclePrincipale()
{
    // Variables

    unsigned int frameRate (1000 / 50);
    Uint32 debutBoucle(0), finBoucle(0), tempsEcoule(0);


    // Matrices

    mat4 projection;
    mat4 modelview;

    projection = perspective(70.0, (double) m_largeurFenetre / m_hauteurFenetre, 1.0, 100.0);
    modelview = mat4(1.0);


    // Vertices

    float vertices[] = {-2, -2, -2,   2, -2, -2,   2, 2, -2,   // Triangle 1
                        -2, -2, -2,   -2, 2, -2,   2, 2, -2};  // Triangle 2


    // Coordonnées de texture

    float coordTexture[] = {0, 0,   1, 0,   1, 1,     // Triangle 1
                            0, 0,   0, 1,   1, 1};    // Triangle 2


    // Texture

    Texture texture("Textures/Caisse.jpg");
    texture.charger();


    // Shader

    Shader shaderTexture("Shaders/texture.vert", "Shaders/texture.frag");
    shaderTexture.charger();


    // Boucle principale

    while(!m_input.terminer())
    {
        /* *** Rendu *** */
    }
}

Nous ferons un petit récap de la boucle principale dans un instant. Concentrons-nous d'abord sur le code d'affichage.

Celui-ci va commencer par l'activation du shader (qui gère les textures maintenant) suivie de l'envoi des vertices, des coordonnées de texture et des matrices ainsi que de l'appel à la fonction de rendu glDrawArrays() :

// Activation du shader

glUseProgram(shaderTexture.getProgramID());


    // Envoi des vertices

    glVertexAttribPointer(0, 3, GL_FLOAT, GL_FALSE, 0, vertices);
    glEnableVertexAttribArray(0);


    // Envoi des coordonnées de texture

    glVertexAttribPointer(2, 2, GL_FLOAT, GL_FALSE, 0, coordTexture);
    glEnableVertexAttribArray(2);


    // Envoi des matrices

    glUniformMatrix4fv(glGetUniformLocation(shaderTexture.getProgramID(), "projection"), 1, GL_FALSE, value_ptr(projection));
    glUniformMatrix4fv(glGetUniformLocation(shaderTexture.getProgramID(), "modelview"), 1, GL_FALSE, value_ptr(modelview));


    // Rendu

    glDrawArrays(GL_TRIANGLES, 0, 6);


    // Désactivation des tableaux

    glDisableVertexAttribArray(2);
    glDisableVertexAttribArray(0);


// Désactivation du shader

glUseProgram(0);

Ah encore une petite chose, normalement je devrais faire le sadique en vous demandant de compiler votre code maintenant. Seulement si vous le faites vous aurez au mieux un écran noir. :p

Il manque donc encore une dernière chose à faire. Pour le moment, nous nous contentons d'envoyer les coordonnées de texture à OpenGL, mais à aucun moment nous lui disons quelle texture il doit afficher. Et comme OpenGL n'est pas devin, il va nous envoyer balader et afficher un carré noir.

Pour éviter cela, il faut faire une opération que vous savez déjà faire : le verrouillage de texture. En effet, grâce à ça, OpenGL saura ce qu'il doit afficher exactement comme au moment de la configuration où il savait sur quelle texture travailler.

Pour effectuer cette opération, nous allons réutiliser la fonction glBindTexture() avec le même paramètre que d'habitude soit l'ID de la texture. D'où l'utilité de la méthode getID() que je vous avais demandée de coder précédemment.

En définitif, nous devons appeler la fonction glBindTexture() deux fois avec la méthode getID() en tant que paramètre pour le premier appel et la valeur 0 pour le second :

// Verrouillage de la texture

glBindTexture(GL_TEXTURE_2D, texture.getID());


// Rendu

glDrawArrays(GL_TRIANGLES, 0, 6);


// Déverrouillage de la texture

glBindTexture(GL_TEXTURE_2D, 0);

Et si on veut afficher deux textures en même temps sur une surface on fait comment ? On les verrouille toutes les deux ?

Ah là on touche au domaine du multi-texturing, vaste sujet passionnant que nous ne verrons pas maintenant. Nous verrons cela quand nous saurons manipuler les shaders. ;)

On revient au code avec un petit récap de la boucle principale :

// Boucle principale

while(!m_input.terminer())
{
    // On définit le temps de début de boucle

    debutBoucle = SDL_GetTicks();


    // Gestion des évènements

    m_input.updateEvenements();

    if(m_input.getTouche(SDL_SCANCODE_ESCAPE))
       break;


    // Nettoyage de l'écran

    glClear(GL_COLOR_BUFFER_BIT | GL_DEPTH_BUFFER_BIT);


    // Placement de la caméra

    modelview = lookAt(vec3(0, 0, 2), vec3(0, 0, 0), vec3(0, 1, 0));


    // Activation du shader

    glUseProgram(shaderTexture.getProgramID());


        // Envoi des vertices

        glVertexAttribPointer(0, 3, GL_FLOAT, GL_FALSE, 0, vertices);
        glEnableVertexAttribArray(0);


        // Envoi des coordonnées de texture

        glVertexAttribPointer(2, 2, GL_FLOAT, GL_FALSE, 0, coordTexture);
        glEnableVertexAttribArray(2);


        // Envoi des matrices

        glUniformMatrix4fv(glGetUniformLocation(shaderTexture.getProgramID(), "projection"), 1, GL_FALSE, value_ptr(projection));
        glUniformMatrix4fv(glGetUniformLocation(shaderTexture.getProgramID(), "modelview"), 1, GL_FALSE, value_ptr(modelview));


        // Verrouillage de la texture

        glBindTexture(GL_TEXTURE_2D, texture.getID());


        // Rendu

        glDrawArrays(GL_TRIANGLES, 0, 6);


        // Déverrouillage de la texture

        glBindTexture(GL_TEXTURE_2D, 0);


        // Désactivation des tableaux

        glDisableVertexAttribArray(2);
        glDisableVertexAttribArray(0);


    // Désactivation du shader

    glUseProgram(0);


    // Actualisation de la fenêtre

    SDL_GL_SwapWindow(m_fenetre);


    // Calcul du temps écoulé

    finBoucle = SDL_GetTicks();
    tempsEcoule = finBoucle - debutBoucle;


    // Si nécessaire, on met en pause le programme

    if(tempsEcoule < frameRate)
        SDL_Delay(frameRate - tempsEcoule);
}

Cette fois-ci, notre code est complet. :D Affichons enfin notre première texture !

Image utilisateur

Heeeeein ! o_O o_O o_O

Pourquoi la texture est inversée ? C'est pourtant les bonnes coordonnées qu'on a envoyées non ? Qu'est-ce qui s'passe ? :(

C'est tout à fait normal ne vous inquiétez pas. :p Tout à l'heure, je vous ai dit qu'on n'en arrêtait là avec le code de la classe Texture, et que du coup elle serait incomplète. En effet, la librairie SDL_image n'a pas le même repère que nous pour charger les images. Son repère à elle lui se trouve en haut à gauche alors que le notre se situe en bas à droite :

Image utilisateur
Image utilisateur

Les textures se retrouvent donc la tête en bas pour nous. Pour corriger ce problème, il nous suffit d'inverser tous les pixels d'une image au moment de son chargement. C'est le fameux dernier point qu'il nous manquait dans notre méthode charger(). Nous allons régler ça dans un moment.

Mais avant cela, je vous conseille de vous entrainer à afficher quelques textures sur plusieurs carrés pour vous familiariser avec l'affichage de texture. ;)


Chargement Améliorations

Améliorations

Plaquage Aller plus loin

Si vous n'êtes pas trop fatigués on va pouvoir passer à la dernière partie de ce chapitre. :p

Les objectifs de cette dernière partie sont :

L'inversion des pixels

Théorie

Commençons tout de suite par nous n'occuper du premier point : l'inversion des pixels. Vous avez remarqué (avec effroi) que nos textures s'affichent la tête inversée. Il y a deux façons de régler ce problème :

Comme vous le savez déjà, on va opter pour la seconde solution.

En effet, la première pourrait fonctionner un temps mais une fois que nous chargerons des modèles depuis des fichiers externes il ne sera plus possible d'inverser les coordonnées de texture. Imaginez-vous en train de modifier 20 000 coordonnées de texture à la main. :lol:

L'avantage d'inverser les pixels au moment du chargement c'est qu'il nous suffit d'une méthode pour inverser toutes nos textures. Avouez quand même que c’est un gain de temps énorme, si ce n'est astronomique !

Au niveau de la théorie, il faut juste de créer une copie conforme de la première surface SDL (celle qui contient l'image) puis d'inverser ses pixels. C'est grâce à une boucle que nous pourrons effectuer cette opération.

Cette boucle devra être capable de copier chaque ligne de la texture et d'inverser la position de celle-ci par rapport à l'axe des ordonnées. Et quand je dis copier chaque ligne, je parle de copier TOUS les pixels de la ligne SANS CHANGER L'ORDRE. En effet, les pixels présents sur l'axe des abscisses sont, eux, dans le bon ordre, il n'y que sur l'axe des ordonnées que ça ne va pas. Il faut conserver l'ordre des pixels sur chaque ligne mais inverser ces fameuses lignes par rapport à l'axe des ordonnées :

Image utilisateur

Essayez de bien comprendre cette notion. Revoyez le rendu de texture de la sous-partie précédente et vous verrez que sur l'axe des abscisses les pixels sont dans le bon ordre mais pas sur l'axe des ordonnées.

La méthode inverserPixels

Pour régler notre problème de texture, nous avons donc choisi d'inverser les pixels d'une image avant son chargement du coté OpenGL.

Pour faire ça proprement, on va déclarer une méthode inverserPixels() dans laquelle nous placerons notre code d’inversement. Cette méthode devra prendre en paramètre la surface SDL à inverser et elle renverra une autre surface SDL contenant l'image inversée.

SDL_Surface* inverserPixels(SDL_Surface *imageSource) const;

L'implémentation de cette méthode va être rapide, on commence par créer une copie conforme de la surface SDL envoyée en paramètre. Pour créer les surfaces avec la SDL, on va utiliser une fonction que vous devez déjà connaitre si vous avez suivi le tuto de M@téo dessus : la fonction SDL_CreateRGBSurface() :

SDL_Surface* SDL_CreateRGBSurface(Uint32 flags, int width, int  height, int depth, Uint32 Rmask, Uint32 Gmask, Uint32 Bmask, Uint32 Amask)

Houla ! Ça en fait des paramètres tout ça. Si vous connaissez la SDL vous devriez au moins connaitre les 4 premiers. :p Faisons tout de même le point autour des paramètres :

Avec cette fonction, nous disposerons d'une nouvelle surface identique à la première, excepté le fait qu'elle ne contiendra encore aucun pixel.

Si on implémente cette fonction, ça nous donne :

SDL_Surface* Texture::inverserPixels(SDL_Surface *imageSource) const
{
    // Copie conforme de l'image source sans les pixels

    SDL_Surface *imageInversee = SDL_CreateRGBSurface(0, imageSource->w, imageSource->h, imageSource->format->BitsPerPixel, imageSource->format->Rmask, 
                                                         imageSource->format->Gmask, imageSource->format->Bmask, imageSource->format->Amask);
}

On a vu dans la partie théorique que l'objectif de cette méthode est de pouvoir copier chaque ligne d'une texture afin d'inverser leur position sur l'axe des ordonnées, ceci à l'aide d'une boucle. En code "grossier" ça va nous donner ça :

for(int i(0); i < hauteur; i++)
{
    for(int j(0); j < largeur; j++)
        imageInversee->pixels[hauteur - i][j] = imageSource->pixels[i][j];
}

Pas de panique je vous explique. :)

On remarque que grâce à cette boucle, chaque pixel présent sur la largeur de la texture (à l'indice j) sera copié exactement au même endroit dans l'image finale à l'indice j (vu qu'ils sont dans le bon ordre sur la largeur). Par exemple, un pixel présent en j = 10ième position dans l'image source sera copié au même endroit dans l'image finale en j = 10ième position.

En revanche, toute la ligne se retrouve inversée par rapport à sa position initiale : la ligne qui était présente en position i sur l'image source se retrouvera en position hauteur - i. Par exemple prenons une image 256x256, la ligne qui se trouvait en 5ième position se retrouvera en [256 - 5] = 251ième position, la ligne s'est retrouvé en haut de l'image.

Si nous pouvions écrire directement cette boucle dans notre code ça serait le rêve. Cependant il existe un gros problème : le champ pixels de la structure SDL_Surface n'est pas un tableau à deux dimensions, il est donc impossible d'utiliser les doubles cases [i][j]. :(

Néanmoins, il existe une façon de contrer cela dans les tableaux à une dimension. En effet :

Par exemple, si on veut inverser un pixel situé à la position [5][10] sur l'image 256x256, on devra :

Oui oui, ces chiffres donnent le tournis mais on a bien inversé notre pixel dans le bon sens. :p

Avec cette méthode, on récupère bien notre pixel même si on est en présence d'un tableau à une dimension. :D Du coup, la boucle précédente devient :

for(int i(0); i < hauteur; i++)
{
    for(int j(0); j < largeur; j++)
        imageInversee->pixels[(largeur * i) + j] = imageSource->pixels[(largeur * (hauteur - i)) + j];
}

On est maintenant prêt pour coder notre méthode. :D Dernier petit détail cependant, je vous rappelle qu'en C++ il est malheureusement interdit d'utiliser un tableau contenu dans un pointeur (exemple : imageSource->pixels[56]), il va donc falloir passer par des tableaux intermédiaires pour manipuler les pixels :

SDL_Surface* Texture::inverserPixels(SDL_Surface *imageSource) const
{
    // Copie conforme de l'image source sans les pixels

    SDL_Surface *imageInversee = SDL_CreateRGBSurface(0, imageSource->w, imageSource->h, imageSource->format->BitsPerPixel, imageSource->format->Rmask, 
                                                         imageSource->format->Gmask, imageSource->format->Bmask, imageSource->format->Amask);


    // Tableau intermédiaires permettant de manipuler les pixels

    unsigned char* pixelsSources = (unsigned char*) imageSource->pixels;
    unsigned char* pixelsInverses = (unsigned char*) imageInversee->pixels;
}

Reprenons le grossier code de la boucle pour la convertir en code fonctionnel :

// Inversion des pixels

for(int i = 0; i < imageSource->h; i++)
{
    for(int j = 0; j < imageSource->w; j++)
        pixelsInverses[(imageSource->w * (imageSource->h - 1 - i)) + j] = pixelsSources[(imageSource->w * i) + j];
}

Remarquez le -1 dans l'indice de l'image inversée [(image->w * (imageSource->h - 1 - i)) + j], je vous rappelle que l'on travaille avec des tableaux donc les indices partent de 0 pour arriver à hauteur- 1. Je n'en parle que maintenant car je ne voulais pas surcharger la boucle précédente. Déjà que la notion n'est pas évidente à intégrer. :)

Nous avons pratiquement terminé notre boucle, il ne manque plus qu'une seule chose : jusqu'à maintenant, cette boucle permettait d'échanger des pixels entre eux, mais je vous rappelle qu'un pixel est composé de 3 couleurs. Pour le moment, nous n'échangeons qu'un tiers de la texture, et encore cet échange est complétement buggé !

Pour pallier à ce problème, il suffit juste de multiplier par 3 ou par 4 (pour la composante alpha) la boucle qui parcourt la ligne, car chaque ligne du tableau fait en réalité 3 ou 4 fois la longueur de l'image :

Image utilisateur
Image utilisateur

Dans notre code, il suffit de rajouter un "* imageSource->format->BytesPerPixel" partout où vous trouvez le champ imageSource->w (y compris dans la boucle), soit 3 fois normalement :

// Inversion des pixels

for(int i = 0; i < imageSource->h; i++)
{
    for(int j = 0; j < imageSource->w * imageSource->format->BytesPerPixel; j++)
        pixelsInverses[(imageSource->w * imageSource->format->BytesPerPixel * (imageSource->h - 1 - i)) + j] = pixelsSources[(imageSource->w * imageSource->format->BytesPerPixel * i) + j];
}

Avec cette boucle, nous pourrons inverser tous les pixels d'une image et ainsi les afficher à l'endroit dans nos scènes 3D. ;)

Pour terminer la méthode, il ne nous manque plus qu'à retourner la nouvelle surface SDL :

// Retour de l'image inversée

return imageInversee;

Ce qui nous donne au final :

SDL_Surface* Texture::inverserPixels(SDL_Surface *imageSource) const
{
    // Copie conforme de l'image source sans les pixels

    SDL_Surface *imageInversee = SDL_CreateRGBSurface(0, imageSource->w, imageSource->h, imageSource->format->BitsPerPixel, imageSource->format->Rmask, 
                                                         imageSource->format->Gmask, imageSource->format->Bmask, imageSource->format->Amask);


    // Tableau intermédiaires permettant de manipuler les pixels

    unsigned char* pixelsSources = (unsigned char*) imageSource->pixels;
    unsigned char* pixelsInverses = (unsigned char*) imageInversee->pixels;


    // Inversion des pixels

    for(int i = 0; i < imageSource->h; i++)
    {
        for(int j = 0; j < imageSource->w * imageSource->format->BytesPerPixel; j++)
            pixelsInverses[(imageSource->w * imageSource->format->BytesPerPixel * (imageSource->h - 1 - i)) + j] = pixelsSources[(imageSource->w * imageSource->format->BytesPerPixel * i) + j];
    }


    // Retour de l'image inversée

    return imageInversee;
}

Adaptation dans la méthode charger

Maintenant que nous sommes capables d'inverser le sens d'une image, nous pouvons intégrer la nouvelle méthode dans le chargement de texture. Il nous suffit d'appeler la méthode inverserPixels() juste après avoir chargé la surface SDL. Bien évidemment, on pense à détruire l'ancienne surface qui ne sert plus rien :

bool Texture::charger()
{
    // Chargement de l'image dans une surface SDL

    SDL_Surface *imageSDL = IMG_Load(m_fichierImage.c_str());

    if(imageSDL == 0)
    {
        printf("IMG_Load: %s\n", IMG_GetError());
        return false;
    }


    // Inversion de l'image

    SDL_Surface *imageInversee = inverserPixels(imageSDL);
    SDL_FreeSurface(imageSDL);


    // ....
}

Il ne reste plus qu'à remplacer toutes les occurrences du pointeur imageSDL par le pointeur imageSDLInversee (Vous devriez trouver 9 occurrences à remplacer). Ce qui donne au final :

bool Texture::charger()
{
    // Chargement de l'image dans une surface SDL

    SDL_Surface *imageSDL = IMG_Load(m_fichierImage.c_str());

    if(imageSDL == 0)
    {
        std::cout << "Erreur : " << SDL_GetError() << std::endl;
        return false;
    }


    // Inversion de l'image

    SDL_Surface *imageInversee = inverserPixels(imageSDL);
    SDL_FreeSurface(imageSDL);


    // Génération de l'ID

    glGenTextures(1, &m_id);


    // Verrouillage

    glBindTexture(GL_TEXTURE_2D, m_id);


    // Format de l'image

    GLenum formatInterne(0);
    GLenum format(0);


    // Détermination du format et du format interne pour les images à 3 composantes

    if(imageInversee->format->BytesPerPixel == 3)
    {
        // Format interne

        formatInterne = GL_RGB;


        // Format

        if(imageInversee->format->Rmask == 0xff)
            format = GL_RGB;

        else
            format = GL_BGR;
    }


    // Détermination du format et du format interne pour les images à 4 composantes

    else if(imageInversee->format->BytesPerPixel == 4)
    {
        // Format interne

        formatInterne = GL_RGBA;


        // Format

        if(imageInversee->format->Rmask == 0xff)
            format = GL_RGBA;

        else
            format = GL_BGRA;
    }


    // Dans les autres cas, on arrête le chargement

    else
    {
        std::cout << "Erreur, format interne de l'image inconnu" << std::endl;
        SDL_FreeSurface(imageInversee);

        return false;
    }


    // Copie des pixels

    glTexImage2D(GL_TEXTURE_2D, 0, formatInterne, imageInversee->w, imageInversee->h, 0, format, GL_UNSIGNED_BYTE, imageInversee->pixels);


    // Application des filtres

    glTexParameteri(GL_TEXTURE_2D, GL_TEXTURE_MIN_FILTER, GL_LINEAR);
    glTexParameteri(GL_TEXTURE_2D, GL_TEXTURE_MAG_FILTER, GL_NEAREST);


    // Déverrouillage

    glBindTexture(GL_TEXTURE_2D, 0);


    // Fin de la méthode

    SDL_FreeSurface(imageInversee);
    return true;
}

Et voila nous pouvons enfin charger des textures dans le bon ordre. :D Essayez avec la texture de la caisse de missiles, vous verrez qu'elle s'affiche désormais à l'endroit :

Image utilisateur

Les méthodes additionnelles

On va terminer tranquillement ce chapitre par quelques méthodes importantes qu'il faut implémenter, à savoir : le constructeur par défaut, celui de copie, le destructeur et la surcharge de l'opérateur =.

Ces méthodes sont importantes pour assurer le bon cycle de vie de la classe Texture. Le constructeur par défaut par exemple est utile lorsque vous souhaitez initialiser tout un tableau de textures, l'opérateur = quant à lui sert à copier une texture facilement en une ligne de code, etc ...

Le constructeur par défaut et le destructeur

On va commencer tout de suite par implémenter le constructeur par défaut et le destructeur.

Je vous rappelle que le constructeur par défaut est appelé lorsque vous ne donnez aucun paramètre à votre objet. Son prototype est le suivant :

Texture();

Son rôle ne lui permet que d'initialiser les deux attributs de la classe. Il va affecter l'ID 0 à l'attribut m_id et une chaine vide à m_fichierImage :

Texture::Texture() : m_id(0), m_fichierImage("")
{

}

Occupons maintenant du destructeur. Cette "méthode" est appelée à chaque fois qu'un objet est détruit, c'est notamment ici que nous devrons détruire nos textures. Car oui, même les objets OpenGL doivent être détruits pour libérer la mémoire qu'ils occupent.

Les objets OpenGL sont alloués dynamiquement dans la carte graphique par la fonction glGenTextures(), il va nous falloir libérer l'espace occupé pour éviter les fuites de mémoire. Pour ça, OpenGL nous fournit une fonction qui reprend exactement les mêmes paramètres que glGenTextures(). Voici son prototype :

void glDeleteTextures(GLsizei number, const GLuint *textures);

Nous utiliserons cette fonction dans notre destructeur dont j'espère que vous connaissez son utilité. :p

Il est appelé au moment de la destruction d'un objet pour permettre au développeur de libérer toute la mémoire qu'il avait prise. D'ailleurs, nous avions déjà déclaré cette "méthode" précédemment, il ne nous reste donc plus qu'à utiliser la fonction glDeleteTextures() à l'intérieur :

Texture::~Texture()
{
    // Destruction de la texture

    glDeleteTextures(1, &m_id);
}

Et voila, nos textures seront maintenant détruites proprement lorsqu'elles ne seront plus utilisées. :)

Copier une texture

On passe maintenant à la copie de textures. Mais avant ça, je vais d'abord vous faire une petite parenthèse sur le chargement des textures dans un vrai jeux-vidéo.

Dans un jeu-vidéo lambda, le moteur 3D doit être capable de charger toutes les textures dont il a besoin dans un espèce de gros tableau qui doit être accessible par toutes les classes :

Image utilisateur

A partir de là, chaque modèle 3D (comme un personnage ou un arbre) va récupérer un pointeur sur la texture dont il aura besoin, ce n'est donc pas lui qui va charger sa propre texture. Et de plus, si vous avez une dizaine d'ennemis qui doit s'afficher à l'écran, vous n'allez pas charger 10 fois les mêmes textures pour les 10 ennemis. En théorie, chaque personnage devrait récupérer un pointeur sur la texture dont il a besoin dans le gros tableau pour l'utiliser. De cette façon, les textures ne sont chargées qu'une seule fois et ça économise pas mal de ressources.

Je vous parle de ça maintenant car c'est ce que nous "devrions faire" en réalité. Cependant nos scènes étant encore assez simples nous pouvons nous permettre de charger une texture plusieurs fois sans se préoccuper de créer le gros tableau. :)

Bien, ceci étant dit on va pouvoir retourner à nos méthodes de copie.

Il existe grosso-modo deux façons de copier une texture : soit on utilise le constructeur de copie, soit on surcharge l'opérateur =. La différence entre les deux est que si vous initialisez une texture à partir d'une autre texture, alors ce sera le constructeur de copie qui sera appelé. En revanche, si vous le faites après sa déclaration se sera l'opérateur = qui sera sollicité.

On va commencer l'implémentation de ces deux méthodes par le constructeur de copie dont voici le prototype :

Texture(Texture const &textureACopier);

Le constructeur prend en paramètre une référence constante sur l'objet à copier, dans notre cas une texture.

Petit point important : si nous avons besoin de coder nous-même ce constructeur c'est parce qu'il y a, en général, un problème au niveau des pointeurs lors de la copie d'un objet. En effet, si on dispose de deux copies d'une même texture alors elles partagerons le même ID. Or, si on détruit l'une des deux textures, la deuxième se retrouvera avec un IDID invalide et donc une erreur d'affichage.

Alors bon, il est vrai que dans notre classe l'ID n'est qu'une simple variable. Mais pour votre carte graphique cet ID représente un pointeur pointant sur la texture chargée.

Par conséquent, pour copier proprement deux textures il va falloir créer un nouvel ID indépendant du premier. De cette façon, même si un objet est détruit, la copie ne sera pas affectée.

Dans la classe Texture, nous devrons donc :

Le constructeur de copie ressemblera donc à ceci :

Texture::Texture(Texture const &textureACopier)
{
    // Copie de la texture

    m_fichierImage = textureACopier.m_fichierImage;
    charger();
}

Rien de plus facile isn't it ? :lol:

D'ailleurs on va s'occuper maintenant de coder la surcharge de l'opérateur = car le code ne change pas vraiment. Le prototype de cette surcharge sera le suivant :

Texture& operator=(Texture const &textureACopier);

Pour cette méthode, on copie simplement le même code que le constructeur de copie puis on renvoie le pointeur *this :

Texture& Texture::operator=(Texture const &textureACopier)
{
    // Copie de la texture

    m_fichierImage = textureACopier.m_fichierImage;
    charger();


    // Retour du pointeur *this

    return *this;
}

Il manque encore un tout petit détail à cette méthode - un détail qui s'étend même au chargement en général. Imaginez qu'une texture soit déjà chargée et que l'on copie une autre texture dans celle-ci, que se passerait-il ?

Et bien le premier ID qui a été initialisé sera perdu, et du coup la texture qui a été chargée en mémoire sera elle aussi perdue. C'est encore une fuite. Pour régler ce petit problème, il faut simplement détruire l'ancien ID de la même façon qu'avec le destructeur. Dans le pire des cas, même si la texture n'était pas chargée avant, ce sera l'ID 0 qu'OpenGL essaiera de détruire. Mais vu que c'est impossible il passera à autre chose sans nous renvoyer d'erreur.

Si j'ai dit que ce problème s'étendait aussi au chargement de texture en général, c'est parce que nous avons exactement le même problème lorsque nous utilisons la méthode charger(). En effet, si nous utilisons cette méthode deux fois sur le même objet, alors le premier chargement qui a été fait sera perdu en mémoire.

Pour régler ce problème, nous allons rajouter un petit bout de code dans la méthode charger() juste avant de générer l'identifiant. Ce code sera constitué d'une condition if qui permettra de savoir si une texture a déjà été chargée. Si oui, alors il faudra la détruire avant de la recharger.

La fonction qui permet de savoir ceci s'appelle glIsTexture() :

GLboolean glIsTexture(GLuint texture);

Elle ne prend en paramètre que l'identifiant de la texture à vérifier. Elle renvoie la valeur GL_TRUE si elle a déjà été chargée et GL_FALSE dans le cas contraire.

Nous devons donc appeler cette fonction avant de générer l'ID. Si elle renvoie GL_TRUE alors il faudra détruire la texture à l'aide de glDeleteTextures() :

bool Texture::charger()
{
    // Chargement de l'image dans une surface SDL

    SDL_Surface *imageSDL = IMG_Load(m_fichierImage.c_str());

    if(imageSDL == 0)
    {
        std::cout << "Erreur : " << SDL_GetError() << std::endl;
        return false;
    }


    // Inversion de l'image

    SDL_Surface *imageInversee = inverserPixels(imageSDL);
    SDL_FreeSurface(imageSDL);


    // Destruction d'une éventuelle ancienne texture

    if(glIsTexture(m_id) == GL_TRUE)
        glDeleteTextures(1, &m_id);


    .....

Et voila, nos méthodes de copie sont maintenant complètes et prêtes à l'emploi. :D


Plaquage Aller plus loin

Aller plus loin

Améliorations La caméra

Répéter une texture

Fonctionnement

Maintenant que l'on peut afficher une texture dans le bon sens, je vais vous montrer la technique utilisée pour répéter une texture plusieurs fois. Si vous avez déjà joué à un jeu-vidéo, vous avez peut-être remarqué que les textures au sol se répétait en boucle.

On peut prendre l'exemple d'un sol composé d'herbe :

Image utilisateur

Si vous vous concentrez sur cette image, vous remarquerez qu'elle est composée d'une seule petite texture qui se répète en boucle.

Si un jeu-vidéo devait afficher ce sol et qu'il s'amuserait à charger la même texture pour chaque carré d'herbe, alors il deviendrait totalement injouable et serait beaucoup trop lent. A la place, il se contentera de la charger une seule fois puis il utilisera des coordonnées de texture 'spéciales' pour la répéter :

Image utilisateur
Image utilisateur

Cette technique est utilisée par tous les jeux-vidéo. Sans elle, il n'y en aurait pas beaucoup d'ailleurs car ils seraient tous terriblement lents à l'affichage. :p

Bon en réalité les coordonnées utilisées n'ont rien de spéciales, elles ne sont juste pas comprises entre 0 et 1.

Hein ? Mais tu as dit que les coordonnées de texture devaient toujours être comprises entre 0 et 1 ?

Oui et c'est totalement vrai !

Si vous allez au-delà de 1 (2 par exemple) ou en dessous de 0 alors vous répéterez la même texture :

Image utilisateur

Les coordonnées sont toujours comprises entre 0 et 1 mais au lieu de renvoyer une erreur, OpenGL recopiera la texture. Bien évidemment, plus vous fournissez des valeurs importantes, plus votre texture sera répétée :

Image utilisateur

Ce n'est absolument pas un bug puisque c'est prévu par OpenGL et c'est même LA technique à utiliser pour répéter vos textures que ce soit sur les sols, les murs, ... Nous ferons comme ça dans le futur pour afficher de grands espaces. :)

Le seul point à prendre en compte c'est qu'il faut que votre texture soit prévue pour la répétition, si elle ne l'est pas vous aurez un rendu assez moche et pas continu. En général, ce point concerne surtout le graphiste et non le développeur (une bonne raison de lui râler dessus si ça ne va pas :p )

Vous pouvez essayer de voir ce que ça donne avec la texture que l'on utilise dans ce chapitre. Remplacez les coordonnées par celles-ci pour l'affiche 12 fois !

// Coordonnées de texture

float coordTexture[] = {0, 0,   4, 0,   4, 4,     // Triangle 1
                        0, 0,   0, 4,   4, 4};    // Triangle 2
Image utilisateur

Exercice

La répétition de texture est une occasion parfaite pour moi de vous proposer un petit exercice à faire.

En reprenant ce qu'on vient de voir, essayez de recréer le sol constitué d'herbe que je vous ai montré au-dessus. Les consignes sont les suivantes :

Vous pouvez télécharger l'image à afficher un peu plus haut ou si vous avez téléchargé l’archive, vous la retrouverez sous le nom de "veg005.jpg".

Voici le schéma explicatif :

Image utilisateur

Et voici ce que vous devriez obtenir (en plaçant votre caméra un peu différemment pour mieux voir) :

Image utilisateur

Bonne chance. ;) (et n’oubliez pas de verrouiller votre texture !)

Solution

La solution de cette exercice est assez simple, nous n'avons que quelques lignes de code à modifier par rapport à l'exemple que l'on a vu.

En premier, il fallait définir les vertices. Nous faisons des carrés depuis un moment maintenant il n'aurait pas dû y avoir de problèmes :

// Vertices

float vertices[] = {-10, 0, -10,   10, 0, -10,   10, 0, 10,    // Triangle 1
                    -10, 0, -10,   -10, 0, 10,   10, 0, 10};   // Triangle 2

N'oubliez pas qu'il fallait afficher un sol, les vertices étaient donc tous à la hauteur 0.

Ensuite, il fallait définir les coordonnées de texture. Nous avons vu que si on allait plus que 1 dans leurs valeurs alors on attaquait un autre affichage de la même texture. Il fallait l'afficher 7 fois en largeur et en hauteur, donc les coordonnées maximales à utiliser étaient respectivement [7 ; 0] et [0 ; 7].

On peut représenter la situation avec le schéma suivant :

Image utilisateur

Le tableau coordTexture à utiliser était donc le suivant :

// Coordonnées de texture

float coordTexture[] = {0, 0,   7, 0,   7, 7,     // Triangle 1
                        0, 0,   0, 7,   7, 7};    // Triangle 2

Une fois les données définies, il ne manquait plus qu'à déclarer un objet Texture qui permettait de charger l'image en mémoire :

// Vertices et coordonnées de texture

....


// Texture

Texture texture("Textures/Herbe.jpg");
texture.charger();

Au niveau du code d'affichage, il fallait juste reprendre celui que l'on utilisait précédemment en faisant attention de bien verrouiller la texture au moment d'appeler la fonction glDrawArrays(). Le reste du code permettait, entre autres, d'envoyer les vertices, les coordonnées de texture et les matrices à OpenGL :

// Activation du shader

glUseProgram(shaderTexture.getProgramID());


    // Envoi des vertices

    glVertexAttribPointer(0, 3, GL_FLOAT, GL_FALSE, 0, vertices);
    glEnableVertexAttribArray(0);


    // Envoi des coordonnées de texture

    glVertexAttribPointer(2, 2, GL_FLOAT, GL_FALSE, 0, coordTexture);
    glEnableVertexAttribArray(2);


    // Envoi des matrices

    glUniformMatrix4fv(glGetUniformLocation(shaderTexture.getProgramID(), "projection"), 1, GL_FALSE, value_ptr(projection));
    glUniformMatrix4fv(glGetUniformLocation(shaderTexture.getProgramID(), "modelview"), 1, GL_FALSE, value_ptr(modelview));


    // Verrouillage de la texture

    glBindTexture(GL_TEXTURE_2D, texture.getID());


    // Rendu

    glDrawArrays(GL_TRIANGLES, 0, 6);


    // Déverrouillage de la texture

    glBindTexture(GL_TEXTURE_2D, 0);


    // Désactivation des tableaux

    glDisableVertexAttribArray(2);
    glDisableVertexAttribArray(0);


// Désactivation du shader

glUseProgram(0);

Afficher une caisse

Pour clore ce chapitre d'une façon intéressante, nous allons appliquer ce que l'on a vu sur les textures non plus sur une forme simple 2D mais bien sur un modèle 3D comme un cube. Vu que nous avons utilisé une texture de caisse jusqu'ici, nous pouvons légitimement l'utiliser pour transformer notre cube coloré à l'ancienne en super caisse de missiles. :D

Notre objectif final est d'être capables d'avoir ce rendu :

Image utilisateur

Pour arriver à cela, nous allons coder une classe Caisse qui contiendra tout ce qu'il faut pour afficher un cube et le texturer. Pour nous faciliter la tâche, nous la ferons hériter de la classe Cube afin de ne pas avoir à refaire l'initialisation des vertices et du shader. ;)

L'héritage de la classe Cube

Avant de se lancer dans la classe Caisse, nous allons devoir régler un petit problème d'héritage au niveau du cube qui nous empêche de profiter de ses attributs. En effet, si on regarde son header, on remarque que ces derniers sont tous privés à cause de l'utilisation du mot-clef private :

#ifndef DEF_CUBE
#define DEF_CUBE


// Includes 

....


// Classe Cube

class Cube
{
    public:

    Cube(float taille, std::string const vertexShader, std::string const fragmentShader);
    ~Cube();


    private:

    Shader m_shader;
    float m_vertices[108];
    float m_couleurs[108];
};

#endif

Pour prétendre à un héritage, il faut changer ce mot-clef en le remplaçant par son confrère protected :

#ifndef DEF_CUBE
#define DEF_CUBE


// Includes 

....


// Classe Cube

class Cube
{
    public:

    Cube(float taille, std::string const vertexShader, std::string const fragmentShader);
    ~Cube();


    protected:

    Shader m_shader;
    float m_vertices[108];
    float m_couleurs[108];
};

#endif

De cette façon, nous pouvons utiliser les trois attributs présents ici dans les classes filles.

Le gros avantage pour nous, c'est que le shader et surtout les vertices seront déjà initialisés sans même que nous ayons à faire quoi que ce soit. Il ne nous restera plus qu'à gérer les nouveaux attributs. Entre parenthèses, le tableau de couleurs ne sera pas utile pour la suite mais mieux vaut le garder sous la main au cas où.

Le header de la classe Caisse

Comme toute implémentation de classe, nous devons commencer par le header. Celui de la classe Caisse sera assez similaire à celui du Cube puisqu'il comportera les mêmes méthodes ainsi qu'un tableau à initialiser dans le constructeur.

Le début du fichier, que nous appellerons Caisse.h, contiendra la définition de la classe accompagnée du code ":publicCube" qui lui permettra de profiter de l'héritage :

#ifndef DEF_CAISSE
#define DEF_CAISSE


// Includes

#include "Cube.h"


// Classe Caisse

class Caisse : public Cube
{
    public:


    private:
};

#endif

Pour agrémenter un peu ce code, nous allons ajouter les attributs nécessaires à la réalisation de notre caisse. Sachant que les vertices et le shader sont déjà fournis, nous n'en avons donc besoin que de deux supplémentaires :

Petit précision pour le tableau, celui-ci contiendra 72 cases car il faut associer 2 coordonnées à chaque vertex, ce qui donne 36 vertices x 2 coordonnées = 72 cases.

// Attributs

Texture m_texture;
float m_coordTexture[72];

Passons maintenant aux méthodes dont nous aurons besoin. Hormis celle nécessaire pour afficher le rendu final, nous n'aurons besoin que du constructeur et du destructeur.

Le premier reprendra les mêmes paramètres que celui de la classe Cube afin de pouvoir lui donner les valeurs qu'il attend au moment de l'initialisation. Ces paramètres représentaient la taille désirée ainsi que les codes sources du shader à utiliser.

Nous en rajouterons un dernier, spécifique au constructeur Caisse(), qui représentera l'image à plaquer sur les faces de la caisse et qui permettra surtout d'initialiser l'attribut m_texture.

Le prototype du constructeur au final est le suivant :

Caisse(float taille, std::string const vertexShader, std::string const fragmentShader, std::string const texture);

On en profite au passage pour déclarer le destructeur (qui est quand même plus simple à faire :p ) :

~Caisse();

Si on réunit tout ça dans le header, on devrait avoir :

#ifndef DEF_CAISSE
#define DEF_CAISSE


// Includes

#include "Cube.h"
#include "Texture.h"
#include <string>


// Classe Caisse

class Caisse : public Cube
{
    public:

    Caisse(float taille, std::string const vertexShader, std::string const fragmentShader, std::string const texture);
    ~Caisse();


    private:

    Texture m_texture;
    float m_coordTexture[72];
};

#endif

Le constructeur

Le constructeur va être un poil différent de ceux que nous avons l'habitude d'implémenter. En effet, avant d’initialiser n'importe quel attribut, nous devons faire appel au constructeur parent de la classe Caisse comme nous le demande le C++.

Nous l'appelons donc juste après les deux points ":" en lui passant les trois premiers paramètres reçus (la taille et les codes sources shader) :

Caisse::Caisse(float taille, std::string const vertexShader, std::string const fragmentShader, std::string const texture) : Cube(taille, vertexShader, fragmentShader)
{

}

Maintenant que la classe-mère est prête, nous pouvons nous occuper de nos attributs. Le seul que l'on peut initialiser après les deux points est la texture m_texture, l'autre étant un tableau il doit être rempli entre les accolades.

Nous donnerons à m_texture la string reçue en paramètre pour lui spécifier l'image à charger. Nous appellerons également sa méthode charger() sinon elle risque d'être un peu vide dans notre rendu. :p

Caisse::Caisse(float taille, std::string const vertexShader, std::string const fragmentShader, std::string const texture) : Cube(taille, vertexShader, fragmentShader),
                                                                                                                            m_texture(texture)
{
    // Chargement de la texture

    m_texture.charger();
}

Pour initialiser le second attribut, m_coordTexture, nous allons reprendre le principe que nous avons utilisé lors de la création du tableau de couleurs. C'est-à-dire que nous devrons faire correspondre un couple de coordonnées de texture à chaque vertex comme nous l'avons fait précédemment.

Pour la première face de la caisse par exemple, nous pouvons reprendre celles que nous avons utilisées pour le carré :

// Coordonnées de texture

float coordTextureTmp[] = {0, 0,   1, 0,   1, 1,     // Face 1
                           0, 0,   0, 1,   1, 1};    // Face 1

L'avantage d'un cube, c'est que toutes ses faces ne sont en fait que des carrés. Du coup, nous pouvons reprendre les coordonnées de texture de la première face pour les assigner à toutes les autres. Nous n'avons pas besoin de les déterminer manuellement. Le tableau temporaire devient donc :

// Coordonnées de texture temporaires

float coordTextureTmp[] = {0, 0,   1, 0,   1, 1,     // Face 1
                           0, 0,   0, 1,   1, 1,     // Face 1

                           0, 0,   1, 0,   1, 1,     // Face 2
                           0, 0,   0, 1,   1, 1,     // Face 2

                           0, 0,   1, 0,   1, 1,     // Face 3
                           0, 0,   0, 1,   1, 1,     // Face 3

                           0, 0,   1, 0,   1, 1,     // Face 4
                           0, 0,   0, 1,   1, 1,     // Face 4

                           0, 0,   1, 0,   1, 1,     // Face 5
                           0, 0,   0, 1,   1, 1,     // Face 5

                           0, 0,   1, 0,   1, 1,     // Face 6
                           0, 0,   0, 1,   1, 1};    // Face 6

On a l'impression de travailler avec des couleurs tellement que ça y ressemble. ;)

Une fois les coordonnées définies, il ne manque plus qu'à les copier dans l'attribut m_coordTexture à l'aide d'une boucle for :

// Copie des valeurs dans le tableau final

for(int i (0); i < 72; i++)
    m_coordTexture[i] = coordTextureTmp[i];

Si on résume tout ça :

Caisse::Caisse(float taille, std::string const vertexShader, std::string const fragmentShader, std::string const texture) : Cube(taille, vertexShader, fragmentShader),
                                                                                                                            m_texture(texture)
{
    // Chargement de la texture

    m_texture.charger();


    // Coordonnées de texture temporaires

    float coordTextureTmp[] = {0, 0,   1, 0,   1, 1,     // Face 1
                               0, 0,   0, 1,   1, 1,     // Face 1

                               0, 0,   1, 0,   1, 1,     // Face 2
                               0, 0,   0, 1,   1, 1,     // Face 2

                               0, 0,   1, 0,   1, 1,     // Face 3
                               0, 0,   0, 1,   1, 1,     // Face 3

                               0, 0,   1, 0,   1, 1,     // Face 4
                               0, 0,   0, 1,   1, 1,     // Face 4

                               0, 0,   1, 0,   1, 1,     // Face 5
                               0, 0,   0, 1,   1, 1,     // Face 5

                               0, 0,   1, 0,   1, 1,     // Face 6
                               0, 0,   0, 1,   1, 1};    // Face 6


    // Copie des valeurs dans le tableau final

    for(int i (0); i < 72; i++)
        m_coordTexture[i] = coordTextureTmp[i];
}

Le constructeur initialise maintenant tous nos attributs, même ceux de sa classe-mère puisqu'il fait appel aussi à son constructeur.

Le destructeur

On passe rapidement sur le destructeur qui restera vide au même titre que celui du cube :

Caisse::~Caisse()
{

}

La méthode afficher()

La méthode afficher() va faire exactement la même chose que sa méthode "parente" à savoir afficher notre caisse à l'écran. Elle aura besoin des matrices projection et modelview en paramètres afin de pouvoir les envoyer à son shader :

void afficher(glm::mat4 &projection, glm::mat4 &modelview);

Petit détail : Nous faisons ici ce qu'on appelle le masquage de méthode, c'est une notion dont M@téo parle dans son tuto sur le C++. ;)

Son implémentation ne va pas nous poser de problème puisqu'il suffit de recopier le code que nous avons utilisé pour afficher le carré. Nous avons juste une petite modification à faire au niveau de la fonction glDrawArrays(). Celle-ci ne prendra pas en compte 6 mais 36 vertices, soit le nombre requis pour un cube comme nous avons eu l'occasion de le voir.

Il faut également changer le nom des variables utilisées comme :

Le code de base à recopier est le suivant :

// Activation du shader

glUseProgram(shaderTexture.getProgramID());


    // Envoi des vertices

    glVertexAttribPointer(0, 3, GL_FLOAT, GL_FALSE, 0, vertices);
    glEnableVertexAttribArray(0);


    // Envoi des coordonnées de texture

    glVertexAttribPointer(2, 2, GL_FLOAT, GL_FALSE, 0, coordTexture);
    glEnableVertexAttribArray(2);


    // Envoi des matrices

    glUniformMatrix4fv(glGetUniformLocation(shaderTexture.getProgramID(), "projection"), 1, GL_FALSE, value_ptr(projection));
    glUniformMatrix4fv(glGetUniformLocation(shaderTexture.getProgramID(), "modelview"), 1, GL_FALSE, value_ptr(modelview));


    // Verrouillage de la texture

    glBindTexture(GL_TEXTURE_2D, m_texture.getID());


    // Rendu

    glDrawArrays(GL_TRIANGLES, 0, 36);


    // Déverrouillage de la texture

    glBindTexture(GL_TEXTURE_2D, 0);


    // Désactivation des tableaux

    glDisableVertexAttribArray(2);
    glDisableVertexAttribArray(0);


// Désactivation du shader

glUseProgram(0);

Une fois remanié et intégré dans la méthode afficher(), il ressemble à ceci :

void Caisse::afficher(glm::mat4 &projection, glm::mat4 &modelview)
{
    // Activation du shader

    glUseProgram(m_shader.getProgramID());


        // Envoi des vertices

        glVertexAttribPointer(0, 3, GL_FLOAT, GL_FALSE, 0, m_vertices);
        glEnableVertexAttribArray(0);


        // Envoi des coordonnées de texture

        glVertexAttribPointer(2, 2, GL_FLOAT, GL_FALSE, 0, m_coordTexture);
        glEnableVertexAttribArray(2);


        // Envoi des matrices

        glUniformMatrix4fv(glGetUniformLocation(m_shader.getProgramID(), "projection"), 1, GL_FALSE, value_ptr(projection));
        glUniformMatrix4fv(glGetUniformLocation(m_shader.getProgramID(), "modelview"), 1, GL_FALSE, value_ptr(modelview));


        // Verrouillage de la texture

        glBindTexture(GL_TEXTURE_2D, m_texture.getID());


        // Rendu

        glDrawArrays(GL_TRIANGLES, 0, 36);


        // Déverrouillage de la texture

        glBindTexture(GL_TEXTURE_2D, 0);


        // Désactivation des tableaux

        glDisableVertexAttribArray(2);
        glDisableVertexAttribArray(0);


    // Désactivation du shader

    glUseProgram(0);
}

La classe Caisse est maintenant terminée. Nous n'avons plus qu'à la tester.

Afficher une caisse

Le plus dur est derrière nous maintenant, on peut facilement afficher un cube texturé en seulement 2 lignes de code. :p

Nous devons premièrement déclarer un objet Caisse dans la méthode bouclePrincipale(), pensez à inclure l'en-tête "Caisse.h". Nous lui donnerons en paramètre une taille de 2.0, le chemin vers les fichiers texture.vert et texture.frag ainsi vers la texture Caisse.jpg :

// Objet Caisse

Caisse caisse(2.0, "Shaders/texture.vert", "Shaders/texture.frag", "Textures/Caisse.jpg");

Ensuite, nous appelons sa méthode afficher() dans la boucle while en n'oubliant pas de lui donner les matrices projection et modelview :

// Boucle principale

while(!terminer)
{
    // Gestion des évènements, nettoyage de l'écran, ...

    ....


    // Affichage de la caisse

    caisse.afficher(projection, modelview);


    // Actualisation de la fenêtre

    ....
}

Si vous compilez votre projet, vous devriez avoir :

Image utilisateur

Vu que nous avons superbement bien coder notre classe ( ;) ), nous pouvons changer l'aspect de notre caisse en ne modifiant qu'un seul paramètre lors de sa création. Par exemple, si vous voulez avoir une caisse avec la texture suivante (crate12.jpg dans l'archive) :

Image utilisateur

Il vous suffit juste de copier cette image dans votre dossier "Textures" puis de l'utiliser dans votre déclaration d'objet :

// Objet Caisse

Caisse caisse(2.0, "Shaders/texture.vert", "Shaders/texture.frag", "Textures/Caisse2.jpg");
Image utilisateur

Vous pouvez même combiner la répétition de texture et notre caisse pour voir ce que ça donne. Vous devrez cependant faire translater votre cube pour ne pas qu'il transperce l'herbe. La valeur de la translation dépend de la taille de votre cube, celle-ci doit en faire la moitié. Si vous avez donné une taille de 2.0 unités alors la valeur sera de 1.0 :

// Sauvegarde de la matrice modelview

mat4 sauvegardeModelview = modelview;


    // Translation pour positionner le cube

    modelview = translate(modelview, vec3(0, 1, 0));


    // Affichage du cube

    caisse.afficher(projection, modelview);


// Restauration de la matrice

modelview = sauvegardeModelview;
Image utilisateur

Télécharger : Code Source C++ du chapitre 10

Pfiou il était long ce chapitre. Je me demande encore si je n'aurais pas dû le couper en deux. :lol:

Au moins ça nous a permis d'en apprendre pas mal sur les textures car nous savons maintenant charger des images depuis le disque dur et les afficher dans nos scènes 3D. Nous allons abandonner petit à petit les couleurs au profit de ces nouvelles textures, cela nous permettra d'avoir un monde plus réaliste.

Nous avons également vu dans ce chapitre comment manipuler des objets OpenGL. Je vous ai mis un commentaire en vert en dessous de chaque fonction que nous reverrons plus tard dans le tuto. Vous verrez que ces objets se manipulent tous de la même façon. ;)


Améliorations La caméra

La caméra

Aller plus loin Fonctionnement

J'ai une bien mauvaise nouvelle très chers compagnons, nous arrivons à la fin de la première partie de ce tutoriel. :(
(Super façon d'introduire un chapitre :-° )

En effet, nous avons déjà vu presque toutes les notions essentielles d'OpenGL. Nous maitrisons l'affichage de formes simples, l'utilisation basique de Shaders, l'affichage de textures, la gestion des évènements, ... Il ne reste plus qu'une seule chose à voir pour compléter ces essentielles : une caméra déplaçcable.

Nous avons déjà eu l'occasion d'approcher la caméra, notamment dans le chapitre sur la 3D, mais jusqu'à maintenant on se contentait de la positionner au début du programme et du coup elle restait immobile. Notre objectif, avec ce chapitre, va être de lui donner la capacité de se déplacer. Ainsi nous pourrons nous balader librement dans nos scènes 3D.

Après ce chapitre, nous passerons à un TP qui rassemblera toutes les notions ce que nous avons vu. Nous aurons un début de monde 3D réaliste. Mais bon pour le moment, nous devons encore étudier la caméra.

Commençons ! :magicien:

Fonctionnement

La caméra Implémentation de la caméra

Une caméra déplaçable

Les types de caméra

On a déjà eu l’occasion d'approcher le système caméra avec OpenGL qui permet d'avoir une représentation d'un monde virtuel sur notre écran. Ce système fait exactement la même chose qu'un tournage de film, nous ne sommes pas présents sur un plateau et pourtant nous voyons les scènes qui y sont tournées.

Le problème de notre caméra actuelle c'est qu'elle est totalement immobile, nous n'avons aucun moyen pour la faire bouger. L'objectif de ce chapitre va donc être de lui ajouter de la mobilité afin que nous puissions nous déplacer dans notre monde virtuel. Nous utiliserons une méthode de déplacement particulière basée sur le vol en mode libre (FreeFly en anglais). Ce mode permet à la caméra de voler, tel un avion, de façon totalement libre. On pourra donc aller à gauche, à droite, en haut et en bas comme on voudra. :p

On retrouve ce type de caméra dans les jeux-vidéo où on pilote un hélicoptère, un avion, ...

Image utilisateur

Image issue du jeu GTA San Andreas

Cette caméra représentera une base avec laquelle nous pourrons travailler. Dans l'avenir, il suffira de quelques modifications pour la faire passer en vue à la 1ière ou à la 3ième personne. Il existe aussi d'autres types caméras en vue de dessus que l'on remarque dans les jeux de stratégie par exemple. Mais pour le moment, nous nous contenterons de développer une caméra libre que nous utiliserons dans les futurs chapitres. :)

Les contrôles

Pour pouvoir se déplacer dans notre monde 3D, nous devrons utiliser le clavier et la souris. Grâce à la classe Input (que l'on a déjà codée) nous allons pouvoir lier un évènement à un déplacement, ces évènements seront divisés en deux catégories. Nous utiliserons :

Ces deux catégories d'évènements vont se gérer de manière totalement différente, nous aurons besoin de deux méthodes distinctes. Et croyez-moi, elles ne feront pas du tout la même chose. :p

La gestion de l'orientation

On vient de voir le principe d'une caméra libre et je vous ai même précisé la façon dont on va la gérer. Je vais maintenant aller plus loin dans la théorie afin que vous puissiez comprendre ce que nous allons faire par la suite. Ouvrez grand les oreilles et n'hésitez pas à relire plusieurs fois ce début de chapitre. Il est un peu technique mais il est absolument fondamental que vous compreniez les notions que l'on va aborder. D’ailleurs, on en ré-utilisera certaines dans de futurs chapitres.

La première chose que l'on va voir concerne l'orientation de la caméra. Les évènements déclenchés par la souris permettront de l'orienter en fonction du mouvement effectué. Lorsque nous bougerons la souris vers le haut ou vers le bas, la caméra s'orientera de la même façon :

Image utilisateur

Et lorsque nous bougerons la souris vers la gauche ou vers la droite, la caméra s'orientera également de la même façon :

Image utilisateur

Bien entendu, on peut combiner ces deux mouvements pour que la caméra s'oriente dans n'importe quelle direction. Voici un schéma résumant toutes les informations dont nous avons besoin sur l'orientation :

Image utilisateur

Les angles Phi et Theta représentent les éléments mathématiques indispensables qui vont nous permettre de calculer l'orientation de la caméra. Le premier représente l'orientation sur l'axe horizontal, le second l'orientation sur l'axe vertical. Ces deux angles sont absolument primordiaux. Sans eux, on pourrait toujours se déplacer vers la gauche ou la droite, ... mais notre regard resterait totalement fixe. Imaginez-vous en train de marcher dans la rue sans pouvoir tourner la tête (un peu embêtant n'est-ce pas ?).

Les angles ne sont pas les seuls éléments important sur ce schéma, le vecteur V (orientation) est tout aussi important. Il représente la direction de notre regard (ce qui sera affiché sur l'écran).

Mais avec quoi va-t-on pouvoir calculer ce vecteur orientation ? Je sais pas le calculer moi. :(

Rassurez-vous, je ne vais pas vous demander de trouver une formule par vous-même. :p

En fait, il existe une formule toute prête pour calculer ce vecteur, enfin plus précisément pour calculer ses coordonnées (x, y, z). Cette formule permet de trouver ce que l'on appelle les coordonnées sphériques :

Image utilisateur

Ah tiens ! On retrouve les angles de tout à l'heure !

Et oui ah ah ! Je vous avais dit que ces angles étaient super importants. :p Et encore, on peut simplifier cette fonction en enlevant le paramètre R. Ce paramètre correspond à la longueur du rayon de la sphère précédente. Mais vu que nous travaillerons avec des vecteurs normalisés, cette longueur sera toujours égale à 1, ce qui donne au final :

Image utilisateur

Grâce aux angles Theta et Phi, nous pourrons calculer le vecteur orientation les doigts dans le nez. :-°

Et ces deux angles, comment va-t-on les calculer ?

Il n'y aura pas besoin des les calculer. Au niveau de la programmation, ces angles correspondront au mouvement de la souris. L'angle Phi représentera l'axe Y et Théta l'axe X.

En définitif, grâce à ces deux angles et aux coordonnées sphériques nous pourrons gérer l'orientation de notre caméra très facilement.

La gestion du déplacement

Avancer et reculer

La gestion du déplacement de la caméra va être différente de celle de l'orientation. Nous n'aurons ni besoin d'angles, ni de coordonnées sphériques, mais uniquement de vecteurs. On va diviser cette gestion en deux parties :

On commence par la gestion du déplacement vertical car ce sera le plus facile. Pour faire avancer notre caméra nous n'aurons besoin que d'une simple addition. Oui oui vous avez bien entendu, nous n'aurons que d'une simple addition. :p

En effet, quand on se déplace vers l'avant (en marchant par exemple) on ne fait en réalité qu'une simple translation. Or quand on translate, on ne modifie pas notre orientation. C'est comme si l'on additionnait un vecteur par lui-même :

Image utilisateur

Pour faire avancer notre caméra, il suffira d’additionner le vecteur orientation par lui-même autant de fois que nécessaire. Et évidemment la faire pour reculer, il suffira de faire l'inverse d'une addition, c'est-à-dire ... une soustraction !

Image utilisateur

Je vous avais dit que la gestion verticale était simple. ^^

Le déplacement latéral (1/2)

Le déplacement latéral va être un peu plus délicat à gérer. Son principe est cependant simple : il faut trouver un vecteur 'perpendiculaire' (on dira plutôt orthogonal) au vecteur orientation :

Image utilisateur

Ce vecteur orthogonal va nous permettre de déplacer la caméra de façon latéral.
D'ailleurs, une fois que nous l'aurons trouvé il suffira de faire la même chose que pour avancer :

Image utilisateur

Ah d'accord, on fait la même chose que pour avancer sauf qu'ici on avance 'perpendiculairement' à l'orientation ?

Vous avez compris. ^^
Il faut donc calculer ce vecteur pour avancer latéralement. Mais avant cela, il va falloir que l'on parle de la notion de normalenormale d'un plan. Cette notion est importante car c'est elle qui va nous permettre de trouver ce fameux vecteur.

La normale d'un plan

Les normales sont très importantes avec OpenGL. On retrouvera cette notion plusieurs fois dans le tuto alors soyez attentifs. ;)

Une normale est une sorte de droite perpendiculaire à une surface plane, on appellera cette surface un plan. Si vous prenez un cahier (qui est une surface plane) la normale de son plan partira de la couverture pour aller vers le haut.

Image utilisateur

Cette normale peut être représentée par un vecteur. Et pour le calculer, il suffit de multiplier deux vecteurs appartenant à votre cahier :

Image utilisateur

Ça veut dire que si on multiplie deux vecteurs appartenant au cahier on trouve la normale du plan ?

Oui tout à fait, car il existe une propriété de la géométrie dans l'espace qui dit que : lorsque l'on multiplie deux vecteurs appartenant à un même plan, le résultat de cette multiplication sera un vecteur perpendiculaire au plan.

Ce vecteur résultat se nomme la normale du plan.

Cependant, pour pouvoir valider cette multiplication il va falloir respecter deux règles :

Si une de ces deux règles n'est pas respectée alors votre calcul sera faux et vous ne trouverez pas la normale.
Cependant je vous rassure, nous utiliserons toujours de bons vecteurs, je ne vais pas être sadique et vous faire faire des calculs foireux. :p Mais sachez au moins que ces règles existent.

Si on reprend le schéma précédent, on remarque que les vecteurs V1 et V2ne sont pas parallèles et que leur flèche ne se rejoignent pas, les deux règles sont donc respectées. Si on multiplie ces deux vecteurs entre eux on trouvera la normale du plan. ;)

Bien évidemment, les normales ne se limitent pas aux surfaces carrées. D'ailleurs, on les utilisera presque toujours sur des triangles, ce qui compte c'est que la surface utilisée soit plane :

Image utilisateur

Petite question : comment est-ce qu'on multiplie deux vecteurs ?

Ce n'est pas à proprement parler une multiplication, il s'agit plus d'un produit vectoriel. Nous n'aurons pas à le faire nous même donc ne vous prenez pas la tête avec ça. ^^

D'ailleurs en parlant de ça, je vous avais également dit qu'il fallait faire attention à l'ordre dans la multiplication, que V1 x V2 n'était pas forcément égal à V2 x V1.

Cette remarque est toujours d'actualité. Si vous inversez la multiplication de deux vecteurs vous trouverez bien la normale, mais le problème c'est qu'elle sera inversée :

Image utilisateur

Faites juste attention à l'ordre des multiplications que nous ferrons et tout ira bien. ;)

Le déplacement latéral (2/2)

Pour en revenir à ce qui nous intéresse, je vous rappelle que l'on recherche un vecteur orthogonal au vecteur orientation pour que l'on puisse se déplacer latéralement.
Par chance, nous venons d'apprendre ce que sont les normales et je vous annonce que le vecteur que nous recherchons en est justement une !

Hein ? Mais pour calculer une normale il faut un plan non ? Or là on n'a que le vecteur orientation.

Oui tout à fait, nous avons besoin d'un plan dans lequel se trouve le vecteur orientation. Et pour le trouver, nous allons utiliser une petite astuce : l'axe y du repère 3D.

Cet axe formera le deuxième vecteur dont on a besoin pour la multiplication. En effet, quelle que soit l'orientation de la caméra, le vecteur orientation et le vecteur de l'axe y feront toujours partie du même plan :

Image utilisateur
Image utilisateur
Image utilisateur

Ces vecteurs font partie du même plan et sont orientés vers des directions différentes, on peut donc les utiliser pour calculer la normale du plan. :)

En définitif, pour trouver le vecteur de déplacement latéral il va falloir multiplier le vecteur orientation par le vecteur de l'axe y. Ensuite, il suffira de l'additionner ou de le soustraire par lui-même pour se déplacer vers la gauche ou vers la droite.

Pfiouuuu ... Tout ce gourbi pour calculer un vecteur !

Et oui c'est toute une histoire, mais au moins vous savez maintenant ce que sont les normales. C'est une notion hyper-importante qu'on aura l'occasion de retrouver lorsque l'on fera de l'éclaire dynamique avec les shaders. ;)

En résumé

Nous venons de voir pas mal de mathématique, je peux comprendre votre probable mal de tête. :p Je vais faire un résumé des points importants qu'il faut retenir.

Pour gérer l'orientation :

Pour gérer le déplacement :

Voilà ce qu'il faut retenir.

N'hésitez pas à relire encore et encore cette première partie de chapitre. ;)
Lorsque vous vous sentirez prêt, nous passerons à la suite du chapitre.


La caméra Implémentation de la caméra

Implémentation de la caméra

Fonctionnement Fixer un point

La classe Camera

Le header

J'espère que vous avez eu le temps de digérer tout ce que l'on vient de voir. Si ça peut vous rassurer, sachez que c'était la partie la plus compliquée. Nous allons pouvoir passer à l'implémentation de la caméra. :)

Comme d'habitude, on va commencer par le header en déclarant une nouvelle classe : la classe Camera. Elle possèdera pas mal d'attributs, mais on les connait déjà tous. Voici le header de base :

#ifndef DEF_CAMERA
#define DEF_CAMERA

// Classe

class Camera
{
    public:

    Camera();
    ~Camera();


    private:
};

#endif

Dans la première partie de ce chapitre, nous avons vu que le déplacement de la caméra se divisait en 2 catégories : une qui s'occupait de gérer l'orientation et l'autre du déplacement pur et dur.

Pour gérer ce premier point, nous aurons besoin de 3 choses :

Ah mais comment on fait pour un avoir un vecteur en C++ ? Ça n'existe pas ?

En C++ non, mais n'oubliez pas que nous disposons d'une librairie mathématique complète. ;) GLM ne sert pas qu'aux matrices mais aussi aux vecteurs, quaternions, etc. Plein de choses en somme.

Il existe un objet que nous avons déjà utilisé et qui permet de gérer des vecteurs à 3 dimensions. Cet objet s'appelle vec3. Vous vous en souvenez j'espère . :p Il a l'avantage de posséder des méthodes simples qui permettent d'accéder à ses valeurs. Ainsi, pour retrouver sa coordonnée x par exemple, il nous suffit de faire :

monVecteur.x;

En définitif, nous allons utiliser un objet de type vec3 pour gérer l'orientation de la caméra. :)

Avec ça, nous avons donc nos 3 premiers attributs :

// Attributs d'orientation

float m_phi;
float m_theta;
glm::vec3 m_orientation;

Pour ne pas avoir d'erreur de compilation, il faut inclure les en-têtes relatifs à la librairie GLM :

#ifndef DEF_CAMERA
#define DEF_CAMERA


// Includes GLM

#include <glm/glm.hpp>
#include <glm/gtx/transform.hpp>
#include <glm/gtc/type_ptr.hpp>


// Classe

class Camera
{
    public:

    Camera();
    ~Camera();


    private:
};

#endif

Au niveau du deuxième point (le déplacement de la caméra), nous avons vu que nous aurons besoin de 3 choses :

Vu que nous avons déjà le vecteur orientation, on ne rajoute que les deux derniers vecteurs aux attributs :

// Attributs de déplacement

glm::vec3 m_axeVertical;
glm::vec3 m_deplacementLateral;

Petite info au passage : souvenez-vous que la méthode lookAt() prends 3 paramètres de type vec3. Pour les alimenter, il nous suffira juste de donner nos attributs qui sont eux-mêmes de objets de type vec3 ;)

En parlant de cette méthode, on va refaire un petit tour au niveau de son prototype :

mat4 lookAt(vec3 eye, vec3 center, vec3 up);

Si je vous remémore cette méthode c'est parce que nous en aurons besoin dans la classe Caméra. En effet, nous avons beau créer une classe toute neuve pour gérer la caméra, nous aurons toujours besoin d'utiliser les matrices et notamment la méthode lookAt() de la matrice modelview. Nous aurons donc besoin de 3 vecteurs correspondant aux 3 vecteurs demandés par cette méthode.

Comme on vient de le voir on a déjà l'axe vertical, on ne va donc ajouter que les deux autres dans les attributs. Cependant, on va faire une petite modification au niveau de leur nom de façon à les rendre plus compréhensibles. Ainsi, le vecteur eye deviendra le vecteur 'position' et center deviendra le vecteur 'pointCible' (point ciblé):

glm::vec3 m_position;
glm::vec3 m_pointCible;

Si on regroupe tous les attributs :

// Attributs

float m_phi;
float m_theta;
glm::vec3 m_orientation;

glm::vec3 m_axeVertical;
glm::vec3 m_deplacementLateral;

glm::vec3 m_position;
glm::vec3 m_pointCible;

Notre header est presque complet, il ne manque plus qu'à ajouter un constructeur - non pas un constructeur par défaut mais un constructeur qui prendra exactement les mêmes paramètres que la méthode lookAt(), à savoir :

Camera(glm::vec3 position, glm::vec3 pointCible, glm::vec3 axeVertical);

Header final :

#ifndef DEF_CAMERA
#define DEF_CAMERA


// Includes GLM

#include <glm/glm.hpp>
#include <glm/gtx/transform.hpp>
#include <glm/gtc/type_ptr.hpp>


// Classe

class Camera
{
    public:

    Camera();
    Camera(glm::vec3 position, glm::vec3 pointCible, glm::vec3 axeVertical);
    ~Camera();


    private:

    float m_phi;
    float m_theta;
    glm::vec3 m_orientation;

    glm::vec3 m_axeVertical;
    glm::vec3 m_deplacementLateral;

    glm::vec3 m_position;
    glm::vec3 m_pointCible;
};

#endif

Les Constructeurs et le Destructeur

Vous commencez à avoir l'habitude avec les constructeurs et tout ça. :p Le principe ne change pas, on initialise toujours les attributs.

Au niveau du constructeur par défaut, il suffit simplement d'initialiser les angles avec la valeur 0 et les vecteurs avec leur constructeur par défaut.

Il faut cependant faire attention à l'attribut m_axeVertical. En effet, celui-ci permet savoir quel axe parmi X, Y ou Z représentera l'axe vertical. Si nous n'utilisons le constructeur par défaut il faudra quand même affecter une valeur non nulle sinon la caméra ne pourra pas faire ses calculs correctement. Vu que l'axe Z représente (malheureusement) souvent l'axe vertical alors nous donnerons cette valeur par défaut à l'attribut m_axeVertical.

Camera::Camera() : m_phi(0.0), m_theta(0.0), m_orientation(), m_axeVertical(0, 0, 1), m_deplacementLateral(), m_position(), m_pointCible()
{

}

Le second constructeur est identique au premier sauf que l'on initialise ici les vecteurs m_position, m_pointCible et m_axeVertical avec les paramètres fournis :

Camera::Camera(glm::vec3 position, glm::vec3 pointCible, glm::vec3 axeVertical) : m_phi(0.0), m_theta(0.0), m_orientation(), m_axeVertical(axeVertical), 
                                                                          m_deplacementLateral(), m_position(position), m_pointCible(pointCible)
{

}

En théorie, ce constructeur ne devrait pas être modifié mais nous allons quand même y apporter une modification temporaire. Je vais vous demander d'affecter une certaine valeur aux angles, je vous expliquerai pourquoi en dernière partie de chapitre (je ne vais pas alourdir les explications pour le moment :) ).

Ainsi, affectez la valeur -35.26 à l'angle Phi et -135 à l'angle Theta.

Camera::Camera(glm::vec3 position, glm::vec3 pointCible, glm::vec3 axeVertical) : m_phi(-35.26), m_theta(-135), m_orientation(), m_axeVertical(axeVertical), 
                                                                                  m_deplacementLateral(), m_position(position), m_pointCible(pointCible)
{

}

Pour finir, l'implémentation du destructeur se passe de commentaires. :p

Camera::~Camera()
{

}

La méthode orienter

Alimentation des angles

La méthode que nous allons coder va être la plus importante du chapitre, c'est grâce à elle que l'on va pouvoir calculer les coordonnées sphériques du vecteur orientation. Nous l'appellerons la méthode orienter(), elle prendra en paramètres 2 integer représentant les coordonnées relatives de la souris.

Voici le prototype de cette méthode :

void orienter(int xRel, int yRel);

Avant de commencer l'implémentation de cette méthode, nous allons revoir un petit peu les angles Phi et Theta. Je vous avais dit que ces angles allaient être alimentés par les mouvements de la souris :

A chaque tour de la boucle principale, nous devons modifier ces angles en fonction du mouvement de la souris.

Par exemple, si on bouge la souris vers le haut alors l'angle Phi s'agrandira. Au niveau du code, on additionne l'angle Phi par le petit mouvement vertical yRel :

void Camera::orienter(int xRel, int yRel)
{
    // Modification des angles

    m_phi += -yRel;
}

Hey tu t'es trompé non ? Tu as rajouté un signe - devant le paramètre yRel ?

Le sens trigonométrique

Non pas du tout. :p

C'est quelque chose que vous ne pouviez pas forcément savoir, mais lorsque l'on travaille avec des angles il y a un certain sens à respecter qui s'appelle le sens trigonométrique (sens inverse des aiguilles d'une montre). Ce sens étant inversé, les angles se retrouvent donc eux-aussi inversés.

Ainsi, un mouvement de souris allant vers le haut (donc une augmentation de l'angle Phi) sera interprété par une augmentation de son opposé (donc -Phi). Même chose pour les mouvements horizontaux, l'angle Theta sera inversé.

Mais avant on a jamais inversé nos angles ?

Dans la plupart des cas, nous n'aurons pas à inverser nos angles. Cependant ici, il y a un contre-sens entre le sens trigonométrique et le sens normal de la souris.
Si vous bougez votre souris vers le haut alors sa position Y va augmenter, elle utilise (grossièrement parlant) le sens horaire.
Or un angle, lui, va utiliser le sens anti-horaire. Donc pour compenser cette inversion, il faut additionner l'opposé de l'angle.

D'ailleurs en parlant de ça, vous avez probablement remarqué que dans certains jeux, on vous offrait la possibilité d'inverser le sens des axes X et Y. Cette option spécifie simplement à votre caméra s'il faut utiliser le sens horaire ou le sens trigonométrique, donc additionner l'angle normal ou son opposé. Si vous avez envie d'implémenter la même option un jour vous savez maintenant comment faire. ;)

En définitif, nous devons additionner l'opposé des mouvements générés par la souris à cause du sens trigonométrique.

L'angle Theta ne fait d'ailleurs pas exception :

void Camera::orienter(int xRel, int yRel)
{
    // Modification des angles

    m_phi += -yRel;
    m_theta += -xRel;
}

Nous allons rajouter encore une toute petite chose à ces calculs (ne vous inquiétez pas, il n'y a a rien de tordu cette fois :p ). Vous verrez tout à l'heure que si nous utilisons les coordonnées relatives directement comme ça, la caméra va bouger trop vite et nous fera des mouvements bizarres. Pour régler ce problème, on va abaisser les coordonnées relatives en les multipliant par 0.5. De cette façon, les mouvements de la caméra seront deux fois moins rapides, ce qui sera utile pour mieux voir. ^^

Dans la dernière partie, nous rajouterons un attribut pour gérer cette vitesse avec un setter :

void Camera::orienter(int xRel, int yRel)
{
    // Modification des angles

    m_phi += -yRel * 0.5;
    m_theta += -xRel * 0.5;
}

Calcul des coordonnées sphériques

Nous avons maintenant des angles actualisés en fonction de la souris, c'est bien mais il faut encore imposer une limite à un angle en particulier. En effet, dans la première partie du chapitre je vous avais dit que le vecteur orientation ne devait jamais être parallèle avec l'axe Y vous vous souvenez ? Car dans ce cas, nous ne pouvions plus utiliser la formule des coordonnées sphériques.

Pour éviter de se retrouver devant cette alignement, il faut limiter l'angle Phi à une valeur maximale de 89° (ou -89° dans l'autre sens) sinon l'une des deux règles sur le calcul de la normale sera violée. Donc en imposant cette limite, nous pourrons toujours utiliser le plan formé par les deux vecteurs pour le calcul du déplacement latéral. ;)

On implémente donc deux conditions pour limiter l'attribut m_phi à une valeur de 89° ou -89° :

void Camera::orienter(int xRel, int yRel)
{
    // Récupération des angles

    m_phi += -yRel * 0.5;
    m_theta += -xRel * 0.5;


    // Limitation de l'angle phi

    if(m_phi > 89.0)
        m_phi = 89.0;

    else if(m_phi < -89.0)
        m_phi = -89.0;
}

Nous avons maintenant des angles parfaitement utilisables, nous allons pouvoir passer au calcul des coordonnées sphériques de l'orientation. Et pour cela on va utiliser une formule que nous avons déjà vue. :p

Image utilisateur

Nous devons donc transposer cette formule en code source. On utilisera le setter tout bête de chaque coordonnée du vecteur m_orientation pour affecter le résultat :

// Calcul des coordonnées sphériques

m_orientation.x = cos(m_phi) * sin(m_theta);
m_orientation.y = sin(m_phi);
m_orientation.z = cos(m_phi) * cos(m_theta);

....

....

Vous ne voyez pas une petite erreur dans ce code ?

Euh non je pense pas ... Il y en a une ?

Hum bon c'est un peu sadique je l'avoue, mais je veux que vous intégrez bien cette notion : le problème ici c'est qu'on envoie des angles exprimés en degrés alors que les fonctions sin() et cos() attendent des angles exprimés radians. Si on ne modifie pas ça, on risque d'avoir une sacrée surprise au moment de déplacer la caméra. :lol:

Pour corriger le problème, nous allons convertir les angles Phi et Theta en radian. On stockera les nouveaux angles dans des variables temporaires que l'on utilisera pour calculer les coordonnées sphériques.

Je vous rappelle que pour convertir un angle en radian il faut le multiplier par Pi puis le diviser par 180 :

// Conversion des angles en radian

float phiRadian = m_phi * M_PI / 180;
float thetaRadian = m_theta * M_PI / 180;


// Calcul des coordonnées sphériques

m_orientation.x = cos(phiRadian) * sin(thetaRadian);
m_orientation.y = sin(phiRadian);
m_orientation.z = cos(phiRadian) * cos(thetaRadian);

Cette fois le calcul est fonctionnel car nous utilisons bien des angles exprimés en radians. Cependant et malgré ça, il subsiste encore un petit problème.

En effet, la formule avec laquelle je vous rabâche la tête depuis tout à l'heure n'est valable que si l'on utilise l'axe Y. Or tout le monde n'utilise pas forcément cet axe, il faut gérer les axes X et Z également.

Pour cela, il n'y a rien de compliqué puisqu'il suffit juste d'interchanger les setters du vecteur orientation entre eux. Je vous donne les formules pour les 3 axes X, Y et Z :

Image utilisateur
Image utilisateur

(Celle-la on la connait)

Image utilisateur

Pour gérer ces 3 formules nous allons simplement utiliser 3 blocs if() qui vont tester les coordonnées de l'attribut m_axeVertical. Celui qui posséde la valeur 1.0 représentera l'axe vertical :

// Si l'axe vertical est l'axe X

if(m_axeVertical.x == 1.0)
{
}


// Si c'est l'axe Y

else if(m_axeVertical.y == 1.0)
{
}


// Sinon c'est l'axe Z

else
{
}

Si le développeur n'a pas rentré la valeur 1.0 à une coordonnée alors ce sera l'axe Z qui sera choisi. Le développeur doit faire attention à la valeur qu'il donne pour ce vecteur, c'est sa responsabilité. ;)

Une fois les blocs créés, il suffit d'associer la bonne formule aux bonnes coordonnées :

// Si l'axe vertical est l'axe X

if(m_axeVertical.x == 1.0)
{
    // Calcul des coordonnées sphériques

    m_orientation.x = sin(phiRadian);
    m_orientation.y = cos(phiRadian) * cos(thetaRadian);
    m_orientation.z = cos(phiRadian) * sin(thetaRadian);
}


// Si c'est l'axe Y

else if(m_axeVertical.y == 1.0)
{
    // Calcul des coordonnées sphériques

    m_orientation.x = cos(phiRadian) * sin(thetaRadian);
    m_orientation.y = sin(phiRadian);
    m_orientation.z = cos(phiRadian) * cos(thetaRadian);
}


// Sinon c'est l'axe Z

else
{
    // Calcul des coordonnées sphériques

    m_orientation.x = cos(phiRadian) * cos(thetaRadian);
    m_orientation.y = cos(phiRadian) * sin(thetaRadian);
    m_orientation.z = sin(phiRadian);
}

Cette fois, le code est totalement fonctionnel. :D

Dernier point à préciser, on devrait en théorie normaliser le vecteur orientation, mais vu que nous utilisons des fonctions trigonométriques le vecteur est déjà normalisé. En effet, lorsqu'on utilise la trigonométrie, le vecteur qui représente le rayon a toujours une norme égale à 1 donc il est normalisé. ;)

Calcul du vecteur de déplacement latéral

Nous avons maintenant le fameux vecteur orientation, nous pouvons donc l'utiliser pour le calcul du vecteur de déplacement latéral.
Vous vous souvenez que pour le trouver, il fallait multiplier le vecteur orientation par le vecteur représentant l'axe vertical. On trouve ainsi la normale du plan formé par ces deux vecteurs.

Quand je parle de la multiplication c'est un peu un abus de langage car il s'agit en fait d'un produit vectoriel (en comparaison du produit d'une multiplication). Le produit vectoriel permet de trouver le fameux vecteur orthogonal que nous cherchons.

Ce produit ne se fait pas avec un signe * classique, il faut plutôt utiliser une méthode de la librairie GLM qui s'appelle cross() :

glm::vec3 cross(glm::vec3 vector1, glm::vec3 vector2);

Cette méthode retourne le vecteur orthogonal des deux paramètres donnés.

Nous l'appelons donc en lui donnant les attributs m_axeVertical et m_orientation pour qu'elle puisse le calculer :

// Calcul de la normale

m_deplacementLateral = cross(m_axeVertical, m_orientation);

On pensera cette fois à normaliser le résultat car on n'utilise pas la trigo, ce qui fait que rien n'est normalisé tant qu'on ne l'a pas demandé. Mais encore une fois, la librairie GLM nous fournit directement une méthode pour normaliser les vecteurs. Nous n'avons rien à faire décidément. :p

Cette méthode s'appelle normalize() :

glm::vec3 normalize(glm::vec3 vector);

Elle prend en paramètre le vecteur à normaliser et renvoie le résultat.

Nous l'appellerons en lui donnant le vecteur que l'on vient de calculer, à savoir m_deplacementVertical :

// Calcul de la normale

m_deplacementLateral = cross(m_axeVertical, m_orientation);
m_deplacementLateral = normalize(m_deplacementLateral);

Actualisation du point ciblé

Enfin pour terminer cette méthode, il ne reste plus qu'à actualiser le point fixé par la matrice modelview (l'un des trois paramètres dont à besoin la matrice).

Pour trouver ce point, on va utiliser une petite astuce : on va additionner le vecteur position avec le vecteur orientation. Le résultat sera le point qu'attend la matrice, soit le point pile en face de la position de la caméra.

On peut additionner deux objets vec3 ? Ça doit être compliqué non ?

Non pas du tout car les développeurs de GLM ont pensé à tout et ont intégré, au même titre que les matrices, les surcharges d'opérateurs. Nous pouvons donc les additionner sans problème juste en utilisant le signe +. Génial non ? ^^

Pour additionner le vecteur position et orientation, il nous suffit donc d'utiliser le signe + :

Au niveau du code, on additionne simplement ces deux vecteurs :

// Calcul du point ciblé pour OpenGL

m_pointCible = m_position + m_orientation;

Addition terminée. :p

Et ce vecteur on ne le normalise pas ?

Nan, les vecteurs position et pointCible ne doivent jamais être normalisés car ils représentent des positions dans l'espace. Ils permettent à OpenGL de savoir où l'on se trouve dans un monde 3D, et un monde 3D ne se limite pas à des positions de 1 unité maximum.

Les vecteurs normalisés servent pour les calculs diverses comme l'orienation et le vecteur déplacementLateral.

Récapitulation

Si on récapitule tout ce que l'on vient de coder :

void Camera::orienter(int xRel, int yRel)
{
    // Récupération des angles

    m_phi += -yRel * 0.5;
    m_theta += -xRel * 0.5;


    // Limitation de l'angle phi

    if(m_phi > 89.0)
        m_phi = 89.0;

    else if(m_phi < -89.0)
        m_phi = -89.0;


    // Conversion des angles en radian

    float phiRadian = m_phi * M_PI / 180;
    float thetaRadian = m_theta * M_PI / 180;


    // Si l'axe vertical est l'axe X

    if(m_axeVertical.x == 1.0)
    {
        // Calcul des coordonnées sphériques

        m_orientation.x = sin(phiRadian);
        m_orientation.y = cos(phiRadian) * cos(thetaRadian);
        m_orientation.z = cos(phiRadian) * sin(thetaRadian);
    }


    // Si c'est l'axe Y

    else if(m_axeVertical.y == 1.0)
    {
        // Calcul des coordonnées sphériques

        m_orientation.x = cos(phiRadian) * sin(thetaRadian);
        m_orientation.y = sin(phiRadian);
        m_orientation.z = cos(phiRadian) * cos(thetaRadian);
    }


    // Sinon c'est l'axe Z

    else
    {
        // Calcul des coordonnées sphériques

        m_orientation.x = cos(phiRadian) * cos(thetaRadian);
        m_orientation.y = cos(phiRadian) * sin(thetaRadian);
        m_orientation.z = sin(phiRadian);
    }


    // Calcul de la normale

    m_deplacementLateral = cross(m_axeVertical, m_orientation);
    m_deplacementLateral = normalize(m_deplacementLateral);


    // Calcul du point ciblé pour OpenGL

    m_pointCible = m_position + m_orientation;
}

Grâce à cette méthode, nous pouvons calculer non seulement l'orientation de la caméra mais aussi son vecteur orthogonal qui sera utilisé pour le déplacement latéral. :)

La méthode deplacer

La méthode suivante va permettre de s'occuper du déplacement pur et dur de la caméra. Nous savons déjà comment faire en plus ça ne sera pas compliqué. ^^

Nous appellerons cette méthode la méthode deplacer(), elle prendra en paramètre une référence constante sur un objet de type Input. Car oui, nous aurons besoin de savoir si les touches de déplacement sont pressées ou non, nous avons donc besoin d'un objet de ce type.

void deplacer(Input const &input);

Pour faire avancer ou reculer la caméra on additionnera ou on soustraira le vecteur orientation :

Image utilisateur
Image utilisateur

Et pour la déplacer latéralement on additionnera ou on soustraira le vecteur orthogonal au vecteur orientation :

Image utilisateur

Au niveau du code, on va encapsuler les quatre touches de déplacement dans des blocs if. Si une touche est pressée, alors on effectue l'action désirée (addition ou soustraction de vecteurs).

Par exemple, si la touche Haut (SDL_SCANCODE_UP) est pressée alors on additionnera le vecteur orientation avec le vecteur position pour faire avancer la caméra. On ajoutera ici aussi une contrainte de vitesse exactement comme pour l'orientation de la caméra (on créera également un attribut pour gérer ça plus tard). Nous diviserons la vitesse de déplacement par 2 en multipliant le vecteur orientation par 0.5 (un vecteur multiplié par un nombre est différent d'un calcul vectoriel. On multiplie juste les coordonnées par 0.5 dans ce cas ^^ ) :

void Camera::deplacer(Input const &input)
{
    // Avancée de la caméra

    if(input.getTouche(SDL_SCANCODE_UP))
        m_position = m_position + m_orientation * 0.5f;
}

Lorsque la position de la caméra est modifiée alors le point ciblé par OpenGL doit également être modifié. Pour cela, on fait exactement ce que l'on a fait dans la méthode orienter() :

void Camera::deplacer(Input const &input)
{
    // Avancée de la caméra

    if(input.getTouche(SDL_SCANCODE_UP))
    {
        m_position = m_position + m_orientation * 0.5f;
        m_pointCible = m_position + m_orientation;
    }
}

Grâce à cette condition, notre caméra peut avancer quand nous voulons. :D

D'ailleurs pour la faire reculer ce n'est pas plus compliqué, on fait exactement la même chose sauf que cette fois on soustrait le vecteur position et le vecteur orientation. On utilisera le scancode SDL_SCANCODE_DOWN pour la touche du clavier :

// Recul de la caméra

if(input.getTouche(SDL_SCANCODE_DOWN))
{
    m_position = m_position - m_orientation * 0.5f;
    m_pointCible = m_position + m_orientation;
}

Le principe ne change pas pour le déplacement latéral : si on veut aller vers la gauche on additionne le vecteur m_deplacementLateral à la position, et si on veut aller vers la doite on le soustrait. On utilisera respectivement les scancodes SDL_SCANCODE_LEFT et SDL_SCANCODE_RIGHT :

// Déplacement vers la gauche

if(input.getTouche(SDL_SCANCODE_LEFT))
{
    m_position = m_position + m_deplacementLateral * 0.5f;
    m_pointCible = m_position + m_orientation;
}


// Déplacement vers la droite

if(input.getTouche(SDL_SCANCODE_RIGHT))
{
    m_position = m_position - m_deplacementLateral * 0.5f;
    m_pointCible = m_position + m_orientation;
}

Si on récapitule tout ça :

void Camera::deplacer(Input const &input)
{
    // Avancée de la caméra

    if(input.getTouche(SDL_SCANCODE_UP))
    {
        m_position = m_position + m_orientation * 0.5f;
        m_pointCible = m_position + m_orientation;
    }


    // Recul de la caméra

    if(input.getTouche(SDL_SCANCODE_DOWN))
    {
        m_position = m_position - m_orientation * 0.5f;
        m_pointCible = m_position + m_orientation;
    }


    // Déplacement vers la gauche

    if(input.getTouche(SDL_SCANCODE_LEFT))
    {
        m_position = m_position + m_deplacementLateral * 0.5f;
        m_pointCible = m_position + m_orientation;
    }


    // Déplacement vers la droite

    if(input.getTouche(SDL_SCANCODE_RIGHT))
    {
        m_position = m_position - m_deplacementLateral * 0.5f;
        m_pointCible = m_position + m_orientation;
    }
}

Petite question : pourquoi n'utilise-t-on pas des else if ?

Simplement pour être capable d'utiliser plusieurs touches à la fois. ;) Si on utilisait des blocs else if, il n'y aurait qu'une seule touche qui serait gérée pour se déplacer.

Il ne manque plus qu'une petite chose à cette méthode. En effet, vu qu'on a l'objet input sous la main on peut en profiter pour savoir si il y a eu un mouvement de souris. Et s'il y a mouvement de souris alors il y a une modification de l'orientation et donc un appel à la méthode orienter(). ^^

On va donc rajouter une condition qui sera déclenchée lors d'un mouvement de la souris. A l'intérieur, on appellera la méthode orienter() à laquelle on donnera en paramètres les attributs m_xRel et m_yRel de l'objet input.

// Gestion de l'orientation

if(input.mouvementSouris())
    orienter(input.getXRel(), input.getYRel());

Méthode finale :

void Camera::deplacer(Input const &input)
{
    // Gestion de l'orientation

    if(input.mouvementSouris())
        orienter(input.getXRel(), input.getYRel());


    // Avancée de la caméra

    if(input.getTouche(SDL_SCANCODE_UP))
    {
        m_position = m_position + m_orientation * 0.5f;
        m_pointCible = m_position + m_orientation;
    }


    // Recul de la caméra

    if(input.getTouche(SDL_SCANCODE_DOWN))
    {
        m_position = m_position - m_orientation * 0.5f;
        m_pointCible = m_position + m_orientation;
    }


    // Déplacement vers la gauche

    if(input.getTouche(SDL_SCANCODE_LEFT))
    {
        m_position = m_position + m_deplacementLateral * 0.5f;
        m_pointCible = m_position + m_orientation;
    }


    // Déplacement vers la droite

    if(input.getTouche(SDL_SCANCODE_RIGHT))
    {
        m_position = m_position - m_deplacementLateral * 0.5f;
        m_pointCible = m_position + m_orientation;
    }
}

Avec cette méthode, nous pouvons gérer complétement le déplacement de la caméra. :D

Méthode lookAt

On arrive à la dernière méthode de notre caméra. :(

Jusqu'à maintenant, nous avons utilisé pas mal de vecteurs mais vous savez que seuls 3 d'entre eux sont vraiment importants : la position, le point ciblé et l'axe vertical. Ces trois vecteurs sont indispensables pour la matrice modelview, nous devons donc les lui envoyer.

Nous allons coder une nouvelle méthode pour s'occuper de ça, on l'appellera lookAt() en référence à la méthode du même nom chez GLM. Elle prendra en paramètre une référence (non constante) sur la matrice modelview :

void lookAt(glm::mat4 &modelview);

Pour son implémentation, on appelle simplement la méthode lookAt() de la matrice modelview, on lui donne au passage les 3 vecteurs qu'elle demande. Faites attention à utiliser le namespace glm:: ici même si vous utilisez le using dans votre fichier. Vu que nous avons deux méthodes portant le même nom, il faut utiliser le namespace pour les différencier :

void Camera::lookAt(glm::mat4 &modelview)
{
    // Actualisation de la vue dans la matrice

    modelview = glm::lookAt(m_position, m_pointCible, m_axeVertical);
}

Implémentation de la caméra

Notre caméra est maintenant totalement opérationnelle ! Il ne manque plus qu'à l'implémenter dans notre scène. :D

On ajoute donc l'en-tête Camera.h dans le header SceneOpenGL.h, puis on déclare un objet de type Camera dans la méthode bouclePrincipale(). On placera cette caméra au point de coordonnées (3, 3, 3) et elle ciblera le point de coordonnées (0, 0, 0). Bien entendu, l'axe vertical reste l'axe y (0, 1, 0).

void SceneOpenGL::bouclePrincipale()
{
    // Variables

    Uint32 frameRate (1000 / 50);
    Uint32 debutBoucle(0), finBoucle(0), tempsEcoule(0);


    // Matrices

    mat4 projection;
    mat4 modelview;

    projection = perspective(70.0, (double) m_largeurFenetre / m_hauteurFenetre, 1.0, 100.0);
    modelview = mat4(1.0);


    // Caméra mobile

    Camera camera(vec3(3, 3, 3), vec3(0, 0, 0), vec3(0, 1, 0));


    ....
}

On en profite au passage pour piéger et cacher le pointeur de la souris grâce aux méthodes suivantes :

// Capture du pointeur

m_input.afficherPointeur(false);
m_input.capturerPointeur(true);
void SceneOpenGL::bouclePrincipale()
{
    // Variables

    Uint32 frameRate (1000 / 50);
    Uint32 debutBoucle(0), finBoucle(0), tempsEcoule(0);


    // Matrices

    mat4 projection;
    mat4 modelview;

    projection = perspective(70.0, (double) m_largeurFenetre / m_hauteurFenetre, 1.0, 100.0);
    modelview = mat4(1.0);


    // Caméra mobile

    Camera camera(vec3(3, 3, 3), vec3(0, 0, 0), vec3(0, 1, 0));
    m_input.afficherPointeur(false);
    m_input.capturerPointeur(true);


    ....
}

Ensuite, on appelle la méthode deplacer() de l'objet camera sans oublier de donner l'attribut m_input pour qu'il puisse travailler avec :

// Boucle principale

while(!m_input.terminer())
{
    // On définit le temps de début de boucle

    debutBoucle = SDL_GetTicks();


    // Gestion des évènements

    m_input.updateEvenements();

    if(m_input.getTouche(SDL_SCANCODE_ESCAPE))
        break;

    camera.deplacer(m_input);


    ....
}

Enfin, on remplace la méthode lookAt() de la matrice modelview par la méthode lookAt() de la caméra. On n'oublie pas de lui donner le paramètre qu'elle attend soit la matrice modelview elle-même :

....


// Nettoyage de l'écran

glClear(GL_COLOR_BUFFER_BIT | GL_DEPTH_BUFFER_BIT);


// Gestion de la caméra

camera.lookAt(modelview);


....

Et là, vous pouvez compiler joyeusement votre code source. :D

Image utilisateur

Essayez votre nouvelle caméra, vous pouvez vous déplacer dans toutes les directions sans aucun problème. ^^

Notre caméra est maintenant quasi-complète, il manque en réalité encore une méthode. En effet, tout à l'heure je vous ai demandé de mettre des valeurs par défaut pour les angles dans le constructeur. Or cette solution ne fonctionne que dans le cas où la caméra se trouve au point de coordonnées (3, 3, 3). Dans la dernière partie de ce chapitre, nous allons coder une nouvelle méthode qui permettra de régler ce problème.


Fonctionnement Fixer un point

Fixer un point

Implémentation de la caméra Améliorations

Dans ces deux dernières parties, nous allons ajouter quelques petites fonctionnalités à la classe Camera. Nous nous occuperons :

Nous commencerons évidemment par le premier point. ;) Les autres seront développés dans la dernière partie.

Fonctionnalités de la classe Camera

La méthode setPointcible()

Tout à l'heure, je vous avais demandé d'affecter certaines valeurs aux angles Theta et Phi dans le constructeur. Si vous n'aviez pas fait cela, vos angles auraient été initialisés avec la valeur 0 et votre regard aurait été complétement inversé par rapport au point à cibler :

Image utilisateur

Vous auriez bien placé votre caméra mais elle ne serait pas du tout orientée de la bonne façon malgré le fait que vous auriez donné en paramètre le point à cibler. Elle serait orientée selon la valeur des angles soit la valeur 0 à cause du constructeur. Rappelez-vous qu'à chaque fois on ne fait qu'additionner les changements de position et les angles partent avec leur valeur d'origine :

// Modification des angles

m_phi += -yRel * 0.5;
m_theta += -xRel * 0.5;

Pour régler ce problème, il faut que les angles soient initialisés avec la bonne orientation dès le départ. Et pour ça, nous allons coder une méthode qui fera l'inverse de la méthode orienter(). Elle devra être capable de calculer la valeur initiale des angles à partir des vecteurs qu'on lui envoie.

Cette méthode va être facile à coder, il suffit juste de reprendre la formule des coordonnées sphériques et d'en inverser les opérations pour trouver la valeur des angles. :p On commence avec la formule valable pour l'axe Y :

Image utilisateur
Image utilisateur
Image utilisateur
Image utilisateur

Avec cette formule, on peut trouver les angles Theta et Phi à partir des coordonnées (x, y, z) - coordonnées qui appartiennent au vecteur orientation dans le cas où on utilise l'axe Y. Pour trouver les angles avec les autres axes, il suffit juste d'interchanger les formules de départ pour tomber sur les résultats suivants :

Image utilisateur
Image utilisateur

Vous voyez que la formule reste la même, il n'y a que la coordonnée utilisée qui va changer. ^^

Oui c'est bien tout ça mais on a besoin des coordonnées du vecteur orientation pour calculer les angles non ? Or on ne l'a pas celui-la à l'initialisation de la caméra ?

Oui tout à fait nous ne l'avons pas à l'initialisation de la caméra. Mais encore une fois, nous pouvons le trouver en inversant une autre formule mathématique.

Et oui, souvenez-vous que pour trouver le vecteur pointCible, on additionne le vecteur position et le vecteur orientation ? :

// Calcul du point ciblé pour OpenGL

m_pointCible = m_position + m_orientation;
Image utilisateur

Donc pour trouver le vecteur orientation (et surtout ses coordonnées), il suffit de soustraire le vecteur pointCible par le vecteur position :

Image utilisateur

Grâce à cette soustraction, on va pouvoir calculer la valeur initiale des angles au moment de l'initialisation de la caméra. ^^

Pour effectuer tous ces calculs, nous utiliserons une méthode, ou plutôt un setter sur l'attribut m_pointCible que nous appellerons simplement setPointcible(). Il prendra en paramètre le vecteur à cibler :

void setPointcible(glm::vec3 pointCible);

On commence son implémentation en soustrayant les vecteurs pointCible et position pour trouver le vecteur orientation. Comme d'habitude, on normalisera ce vecteur :

void Camera::setPointcible(glm::vec3 pointCible)
{
    // Calcul du vecteur orientation

    m_orientation = m_pointCible - m_position;
    m_orientation = normalize(m_orientation);
}

Une fois le vecteur orientation trouvé, on peut maintenant calculer les angles Phi et Theta grâce aux formules inversées que l'on a trouvées précédemment :

Image utilisateur
Image utilisateur
Image utilisateur

Comme pour la méthode orienter(), on commence par faire 3 blocs if qui vont permettre de gérer le cas des trois axes verticaux :

// Si l'axe vertical est l'axe X

if(m_axeVertical.x == 1.0)
{
}


// Si c'est l'axe Y

else if(m_axeVertical.y == 1.0)
{
}


// Sinon c'est l'axe Z

else
{
}

Une fois que c'est fait, on associe la bonne formule au bon axe. Je vous donne l'exemple du cas où on utilise l'axe Y :

// Calcul des angles pour l'axe Y

m_phi = asin(m_orientation.y);
m_theta = acos(m_orientation.z / cos(m_phi));

Implémentation du bon calcul dans les blocs if :

// Si l'axe vertical est l'axe X

if(m_axeVertical.x == 1.0)
{
    // Calcul des angles

    m_phi = asin(m_orientation.x);
    m_theta = acos(m_orientation.y / cos(m_phi));
}


// Si c'est l'axe Y

else if(m_axeVertical.y == 1.0)
{
    // Calcul des angles

    m_phi = asin(m_orientation.y);
    m_theta = acos(m_orientation.z / cos(m_phi));
}


// Sinon c'est l'axe Z

else
{
    // Calcul des angles

    m_phi = asin(m_orientation.x);
    m_theta = acos(m_orientation.z / cos(m_phi));
}

En temps normal nous pourrions nous arrêter là mais il existe un petit problème avec la coordonnée utilisée pour calculer l'angle Theta. En effet, les formules que nous utilisons ne sont valables que si cette coordonnée est supérieure à 0. Si elle est inférieure à 0, les formules vont donner une valeur opposée de l'angle ( -Theta ), ce qui inversera le résultat final.

Pour régler ce problème, il suffit d'ajouter une sous-condition dans chaque bloc if pour vérifier le signe de la coordonnée utilisée : s'il est négatif, alors on multiplie l'angle Theta par -1 pour avoir l'opposée de l'opposée, et donc la vraie valeur. S'il est positif alors l'angle est déjà correcte, on ne fait rien.

Voici ce que ça donne dans le cas où on utilise l'axe Y :

// Calcul des angles

m_phi = asin(m_orientation.y);
m_theta = acos(m_orientation.z / cos(m_phi));

if(m_orientation.z < 0)
    m_theta *= -1;

Implémentation pour tous les blocs if :

// Si l'axe vertical est l'axe X

if(m_axeVertical.x == 1.0)
{
    // Calcul des angles

    m_phi = asin(m_orientation.x);
    m_theta = acos(m_orientation.y / cos(m_phi));

    if(m_orientation.y < 0)
        m_theta *= -1;
}


// Si c'est l'axe Y

else if(m_axeVertical.y == 1.0)
{
    // Calcul des angles

    m_phi = asin(m_orientation.y);
    m_theta = acos(m_orientation.z / cos(m_phi));

    if(m_orientation.z < 0)
        m_theta *= -1;
}


// Sinon c'est l'axe Z

else
{
    // Calcul des angles

    m_phi = asin(m_orientation.x);
    m_theta = acos(m_orientation.z / cos(m_phi));

    if(m_orientation.z < 0)
        m_theta *= -1;
}

On arrive à la fin de la méthode, il ne reste plus qu'une chose à faire : convertir les angles Theta et Phi en degrés pour pouvoir les utiliser avec les coordonnées relatives de la souris. Les fonctions cos() et sin() ne prennent et ne renvoient que des angles exprimés en radians (je ne l'ai pas déjà dit :-° ) alors que nous, nous avons besoin d'angles exprimés en degrés pour pouvoir travailler avec la souris. Il faut donc convertir les résultats en multipliant les angles par 180 puis en les divisant par Pi :

// Conversion en degrés

m_phi = m_phi * 180 / M_PI;
m_theta = m_theta * 180 / M_PI;

Si on résume tout ça :

void Camera::setPointcible(glm::vec3 pointCible)
{
    // Calcul du vecteur orientation

    m_orientation = m_pointCible - m_position;
    m_orientation = normalize(m_orientation);


    // Si l'axe vertical est l'axe X

    if(m_axeVertical.x == 1.0)
    {
        // Calcul des angles

        m_phi = asin(m_orientation.x);
        m_theta = acos(m_orientation.y / cos(m_phi));

        if(m_orientation.y < 0)
            m_theta *= -1;
    }


    // Si c'est l'axe Y

    else if(m_axeVertical.y == 1.0)
    {
        // Calcul des angles

        m_phi = asin(m_orientation.y);
        m_theta = acos(m_orientation.z / cos(m_phi));

        if(m_orientation.z < 0)
            m_theta *= -1;
    }


    // Sinon c'est l'axe Z

    else
    {
        // Calcul des angles

        m_phi = asin(m_orientation.x);
        m_theta = acos(m_orientation.z / cos(m_phi));

        if(m_orientation.z < 0)
            m_theta *= -1;
    }


    // Conversion en degrés

    m_phi = m_phi * 180 / M_PI;
    m_theta = m_theta * 180 / M_PI;
}

Et voilà ! Grâce à cette méthode nous pouvons enfin régler le problème d'initialisation de la caméra. Et de plus, nous pouvons l'orienter quand on le veut (pour une cinématique par exemple). ^^

Implémentons sans plus tarder cette méthode dans le constructeur. Pour ça, on ré-initialise les angles Theta et Phi à 0 puis on appelle la méthode setPointCible() :

Camera::Camera(glm::vec3 position, glm::vec3 pointCible, glm::vec3 axeVertical) : m_phi(0.0), m_theta(0.0), m_orientation(),
                                                                                  m_axeVertical(axeVertical), m_deplacementLateral(),
                                                                                  m_position(position), m_pointCible(pointCible)
{
    // Actualisation du point ciblé

    setPointcible(pointCible);
}

Implémentation de la caméra Améliorations

Améliorations

Fixer un point TP : Une relique retrouvée

Dans cette dernière partie, nous allons finir en douceur et voir les dernières petites fonctionnalités que nous allons ajouter à notre classe Camera. Je vous les rappelle :

On commencera par le premier point. :)

La méthode setPosition()

Bon je pense que vous avez l'habitude des setters maintenant, surtout que celui-ci va être plus simple que le précédent. :p

Nous allons coder un petit setter setPosition() qui nous permettra de positioner la caméra quand on le souhaitera :

void setPosition(glm::vec3 position);

Ce setter permet de mettre à jour l'attribut m_position. On utilisera le signe = qui nous permet de copier deux objets de type vec3 facilement. Le seul point auquel il faut faire attention est le fait qu'il faut mettre à jour le point ciblé à chaque fois que l'on change de position :

void Camera::setPosition(glm::vec3 position)
{
    // Mise à jour de la position

    m_position = position;


    // Actualisation du point ciblé

    m_pointCible = m_position + m_orientation;
}

Bien entendu on ne normalise pas ce vecteur-la, il fait partie des deux exceptions. ;)

Les attributs sensibilité et rapidité

On passe à la fonctionnalité suivante, nous allons créer deux nouveaux paramètres qui vont nous permettre de modifier la vitesse de déplacement de la caméra.

Vous vous souvenez que je vous avais demandé de multiplier les angles et le vecteur orientation par 0.5 pour réduire la vitesse de la caméra ?

void Camera::orienter(int xRel, int yRel)
{
    // Récupération des angles

    m_phi += -yRel * 0.5f;
    m_theta += -xRel * 0.5f;


    .....
}
void Camera::deplacer(Input const &input)
{
    .....


    // Avancée de la caméra

    if(input.getTouche(SDL_SCANCODE_UP))
    {
        m_position = m_position + m_orientation * 0.5f;
        m_pointCible = m_position + m_orientation;
    }


    .....
}

Le problème avec ces valeurs c'est qu'elles sont figées, on ne peut pas les moduler. Tous les jeux-vidéo n'utilisent pas forcément la même vitesse de déplacement et de plus, les valeurs que nous avons mises sont dignes des plus grands championnats de courses d'escargots !

En effet, pour un véritable jeu il faut multiplier ces vitesses par 10 voire plus et non 0.5.

Pour gérer tout ça, nous allons implémenter deux attributs m_sensibilite et m_vitesse qui correspondront respectivement à la sensibilité de la souris (l'orientation) et à la vitesse de déplacement (la position) :

class Camera
{
    public:

    // Méthodes

    ....


    private:

    float m_phi;
    float m_theta;
    glm::vec3 m_orientation;

    glm::vec3 m_axeVertical;
    glm::vec3 m_deplacementLateral;

    glm::vec3 m_position;
    glm::vec3 m_pointCible;

    float m_sensibilite;
    float m_vitesse;
};

Bien entendu, on modifie nos deux constructeurs pour qu'ils puissent prendre en paramètre des valeurs pour ces deux attributs.

Voici le constructeur par défaut :

Camera::Camera() : m_phi(0.0), m_theta(0.0), m_orientation(), m_axeVertical(0, 0, 1), m_deplacementLateral(), m_position(), m_pointCible(), m_sensibilite(0.0), m_vitesse(0.0)
{

}

Et voici le second constructeur :

Camera(glm::vec3 position, glm::vec3 pointCible, glm::vec3 axeVertical, float sensibilite, float vitesse);
Camera::Camera(glm::vec3 position, glm::vec3 pointCible, glm::vec3 axeVertical, float sensibilite, float vitesse) : m_phi(0.0), m_theta(0.0), m_orientation(), 
                                                                                                                    m_axeVertical(axeVertical), m_deplacementLateral(),
                                                                                                                    m_position(position), m_pointCible(pointCible),
                                                                                                                    m_sensibilite(sensibilite), m_vitesse(vitesse)
{
    // Actualisation du point ciblé

    setPointcible(pointCible);
}

Ensuite, on inclut l'attribut m_sensibilite dans la méthode orienter() :

void Camera::orienter(int xRel, int yRel)
{
    // Modification des angles

    m_phi += -yRel * m_sensibilite;
    m_theta += -xRel * m_sensibilite;


    .....
}

Et enfin, on ajoute l'attribut m_vitesse à chaque déplacement possible de la caméra :

void Camera::deplacer(Input const &input)
{
    // Gestion de l'orientation

    if(input.mouvementSouris())
        orienter(input.getXRel(), input.getYRel());


    // Avancée de la caméra

    if(input.getTouche(SDL_SCANCODE_UP))
    {
        m_position = m_position + m_orientation * m_vitesse;
        m_pointCible = m_position + m_orientation;
    }


    // Recul de la caméra

    if(input.getTouche(SDL_SCANCODE_DOWN))
    {
        m_position = m_position - m_orientation * m_vitesse;
        m_pointCible = m_position + m_orientation;
    }


    // Déplacement vers la gauche

    if(input.getTouche(SDL_SCANCODE_LEFT))
    {
        m_position = m_position + m_deplacementLateral * m_vitesse;
        m_pointCible = m_position + m_orientation;
    }


    // Déplacement vers la droite

    if(input.getTouche(SDL_SCANCODE_RIGHT))
    {
        m_position = m_position - m_deplacementLateral * m_vitesse;
        m_pointCible = m_position + m_orientation;
    }
}

Pensez à renseigner ces deux paramètres lorsque vous initialisez la caméra dans la classe SceneOpenGL :

// Caméra mobile

Camera camera(vec3(3, 3, 3), vec3(0, 0, 0), vec3(0, 1, 0), 0.5, 0.5);

Petit conseil pour terminer, je vous conseille vivement de faire des getters et setters sur ces deux attributs. Ca pourrait être utile dans vos futurs développements :

// Getters et Setters

float getSensibilite() const;
float getVitesse() const;

void setSensibilite(float sensibilite);
void setVitesse(float vitesse);
float Camera::getSensibilite() const
{
    return m_vitesse;
}


float Camera::getVitesse() const
{
    return m_vitesse;
}


void Camera::setSensibilite(float sensibilite)
{
    m_sensibilite = sensibilite;
}


void Camera::setVitesse(float vitesse)
{
    m_vitesse = vitesse;
}

Télécharger : Code Source C++ du chapitre 11

Nous sommes enfin arrivés à la fin de ce chapitre, j'espère que vous êtes toujours en vie. :p

Nous avons vu pas mal de notions mathématiques mais elles sont indispensables dans le développement 3D. Si ça peut vous rassurer, nous n'en reverrons pas beaucoup avant longtemps. Je ne vous ai pas encore parlé des quaternions ça sera un grand moment quand nous aborderons ce chapitre-la. ^^

Enfin, nous avons maintenant une caméra totalement opérationnelle et nous pouvons nous déplacer allégrement dans notre monde 3D. Que diriez-vous maintenant si nous faisions un gros TP récapitulatif ?


Fixer un point TP : Une relique retrouvée

TP : Une relique retrouvée

Améliorations Les consignes

Piouf, nous en avons fait du chemin depuis le début du tutoriel. Nous avons vu toutes les notions de base de la programmation OpenGL depuis l'affichage de triangles simples jusqu'à la gestion des caméras mobiles.

Pour conclure cette première partie, nous allons faire un gros TP récapitulatif qui reprendra tout ce que l'on a vu à travers les différents chapitres. Il y aura donc des matrices, des textures, la caméra, etc. Je vous donnerai toutes les indications nécessaires ainsi que quelques conseils pour que votre TP se déroule dans de bonnes conditions.

Si vous vous sentez prêt, vous pouvez continuer. :)

Les consignes

TP : Une relique retrouvée Correction

Les consignes

Objectif

Ce premier TP va vous permettre de mettre en pratique toutes les notions que nous avons abordées au cours de cette première partie. L'objectif est de faire une petite scène 3D dans laquelle vous pourrez vous balader à l'aide de votre caméra mobile.

Bien entendu, c'est un projet simple, ne vous attendez pas à avoir de la physique ou des effets avancés. Nous ne sommes qu'à la première partie, nous faisons juste un petit programmer pour débuter. :)

Je vais vous donner les consignes et des petits conseils pour bien démarrer ce TP. Mais avant tout, voyons ensemble à quoi devra ressembler votre rendu final :

Image utilisateur
Image utilisateur

Vous voyez ici la présence d'une cabane ainsi que de trois caisses à l'intérieur. Sur l'une d'elles se trouve d'ailleurs une petite relique en forme de cristal (lancer musique de Tomb Raider ici) qui tourne sur elle-même un peu à la manière du cube dans le chapitre sur la troisième dimension.

Vous devez donc recréer cette scène en incluant tous les éléments suivants :

Les dimensions

Afin d'avoir un rendu similaire à celui des images précédentes, je vais vous donner toutes les dimensions nécessaires. Vous n'aurez pas à vous prendre la tête pour les définir vous-même. Je vous donnerai également la répétition de texture à utiliser. Au cas où vous n'auriez pas le gros pack d'images donné dans le chapitre 10, je vous fournirai celles dont vous aurez besoin à la fin des explications.

Image utilisateur
Image utilisateur
Image utilisateur

Les deux vertices jaunes sont de cette couleur uniquement pour mieux les voir sur la texture. Ils n'ont rien de spécial.

Aucune des parties de la cabane n'a besoin de la répétition de texture. Vos coordonnées ne doivent donc pas dépasser de l'intervalle [0; 1];

En ce qui concerne les dimensions du sol, on a :

Image utilisateur

Cette fois, votre sol aura besoin de répéter sa texture. Vous devrez le faire 225 fois (15 fois en longueur et en largeur). Ne vous inquiétez pas, l'image n'est chargée qu'une seule fois comme nous l'avons vu. Il n'y a donc rien de dangereux pour votre carte graphique. ^^

Image utilisateur

Même chose pour la texture, vous devrez la répéter. Faites le 25 fois ici (5 fois en longueur et en largeur).

Au niveau des caisses, je pense que vous n'avez pas besoin de savoir grand chose. :p Il en faut juste 3 avec un coté de 2.0 unités et les textures Caisse.jpg et Caisse2.jpg.

Enfin, en ce qui concerne le cristal, vous aurez besoin des dimensions suivantes :

Image utilisateur

Il s'agit d'une double pyramide à 4 cotés, il y a donc 8 triangles à créer.

Quelques conseils

Maintenant que nous avons vu ensemble les consignes, je vais vous donner quelques conseils pour vous aider dans votre travail. :)

Les classes

Premièrement, au niveau même de la base de votre projet, je vous conseille de faire différentes classes pour gérer les modèles que vous devez afficher. C'est-à-dire qu'il vaut mieux faire une classe pour la cabane, une autre pour le cristal, etc. Prenez exemple sur le Cube que nous avons codé ensemble mais en intégrant en plus la gestion des textures. Ne vous compliquez pas la tâche en faisant de l’héritage cette fois. ^^

D'ailleurs, vous remarquerez que toutes vos classes contiendront les mêmes attributs : les vertices, les coordonnées de texture, un shader et une ou plusieurs textures. La méthode afficher() sera également identique, seuls les paramètres de la fonction glDrawArrays() vont varier.

La cabane

Au niveau de la cabane, je vous conseille de ne faire qu'une seule et unique classe. Celle-ci contiendrait toutes les données relatives aux murs, au toit et aux combles. Organisez votre tableau de vertices de cette façon pour avoir un code propre :

float verticesTmp[] = {1, 0, 1,   1, 0, 1,   1, 0, 1,      // Mur du Fond
		       1, 0, 1,   1, 0, 1,   1, 0, 1,      // Mur du Fond

		       1, 0, 1,   1, 0, 1,   1, 0, 1,      // Mur Gauche
		       1, 0, 1,   1, 0, 1,   1, 0, 1,      // Mur Gauche

		       ....

		       1, 0, 1,   1, 0, 1,   1, 0, 1,      // Toit Gauche
		       1, 0, 1,   1, 0, 1,   1, 0, 1};     // Toit Droit

Même chose pour le tableau de coordonnées de texture :

float coordTexture[] = {0, 0,   0, 0,   0, 0,        // Mur du Fond 
			0, 0,   0, 0,   0, 0,        // Mur du Fond

			0, 0,   0, 0,   0, 0,        // Mur Gauche
			0, 0,   0, 0,   0, 0,        // Mur Gauche

			.... 

			0, 0,   0, 0,   0, 0,        // Toit Gauche
			0, 0,   0, 0,   0, 0};       // Toit Droit

Pour éviter d'avoir à chercher l'endroit où se situe votre erreur, testez vos vertices triangle par triangle au lieu de tout faire d'un coup. Croyez-moi, ça va vous faire gagner du temps.

Autre point important pour la cabane, il y a deux textures à gérer pour un seul tableau de vertices. Vous devrez jouer avec les paramètres de la fonction glDrawArrays() pour verrouiller vos textures au bon moment.
Par exemple (et je dis bien par exemple), si vos 20 premiers vertices concernent la texture du mur, alors vous devrez faire comme ceci :

// Verrouillage de la texture du mur

glBindTexture(GL_TEXTURE_2D, m_textureMur.getID());


// Affichage des murs (20 premiers vertices)

glDrawArrays(GL_TRIANGLES, 0, 20);


// Déverrouillage de la texture

glBindTexture(GL_TEXTURE_2D, 0);

Et si les 10 vertices suivants concernent la texture du toit, alors vous devrez verrouiller la seconde texture et recommencer l'affichage en partant du 21ième vertex :

// Verrouillage de la texture du toit

glBindTexture(GL_TEXTURE_2D, m_textureToit.getID());


// Affichage du toit (10 vertices suivants)

glDrawArrays(GL_TRIANGLES, 20, 10);


// Déverrouillage de la texture

glBindTexture(GL_TEXTURE_2D, 0);

Les deux verrouillages doivent se passer dans la même méthode bien sûr.

Le cristal

Le cristal ne devrait pas trop vous poser de problème, il suffit de reprendre le même principe que le cube en y ajoutant la gestion de la texture. Faites juste attention à spécifier les coordonnées de texture de cette façon pour chaque triangle :

Image utilisateur

A part ça, n'oubliez pas de l'animer en le faisant tourner sur elle-même. Essayez de faire ça doucement en incrémentant votre angle de 1 degré à chaque tour de boucle au lieu de 4. :)

Les sols

Au niveau des deux types de sol, vous pouvez parfaitement faire deux classes pour les différencier, c'est plus facile et c'est efficace. Cependant, si vous pensez que vous pouvez le faire, je vous suggère de ne faire qu'une seule et unique classe. Vous pourrez l'instancier deux fois en modifiant juste la texture et sa répétition. Un constructeur que vous pouvez utiliser (sans être obligés) est le suivant :

Sol(float longueur, float largeur, int repitionLongueur, int repitionLargeur, std::string vertexShader, std::string fragmentShader, std::string texture);

Détail 1 : La terre doit évidemment se trouver au niveau de la cabane et pas autre part.

Détail 2 : Pour éviter de vous retrouvez avec un bug de texture, faites translater le sol herbeux de 0.01 sur l'axe Y :

// Sauvegarde de la matrice

mat4 sauvegardeModelview = modelview;


    // Affichage du sol herbeux

    modelview = translate(modelview, vec3(0, 0.01, 0));
    solHerbeux.afficher(projection, modelview);


// Restauration de la matrice

modelview = sauvegardeModelview;

Vous pouvez tenter de faire sans cette translation si vous le souhaitez pour voir ce que ça donne.

A vos classes !

Bon, je pense vous en avoir assez dit, je ne vais pas vous donner tout le code non plus. ^^ Vous avez à disposition toutes les données dont vous avez besoin ainsi que quelques conseils pour commencer.

C'est à vous de jouer maintenant !

Télécharger : Pack de textures à utiliser pour le TP


TP : Une relique retrouvée Correction

Correction

Les consignes Les Vertex Buffer Objects

Stop, arrêtez là ! Rendez-moi vos codes. :p

Bon, cette phrase ne sert pas à grand chose mais ça veut au moins dire que nous pouvons passer à la correction. Je vous propose une des solutions possibles, il y avait plusieurs façons d’aborder ce TP donc ne vous inquiétez pas si vous avez fait différemment.

Nous allons nous mettre sans plus tarder dans le bain en commençant par le code de base de la boucle principale.

La boucle principale

La méthode bouclePrincipale() est celle qui va nous permettre de mettre en scène tous nos objets. Elle devra donc contenir la cabane, les caisses, ... Mais pour le moment, il y a juste les matrices, la caméra, le nettoyage et l'actualisation de la fenêtre :

void SceneOpenGL::bouclePrincipale()
{
    // Variables

    unsigned int frameRate (1000 / 50);
    Uint32 debutBoucle(0), finBoucle(0), tempsEcoule(0);


    // Matrices

    mat4 projection;
    mat4 modelview;

    projection = perspective(70.0, (double) m_largeurFenetre / m_hauteurFenetre, 1.0, 100.0);
    modelview = mat4(1.0);


    // Caméra mobile

    Camera camera(vec3(3, 4, 10), vec3(0, 2.1, 2), vec3(0, 1, 0), 0.5, 0.5);
    m_input.afficherPointeur(false);
    m_input.capturerPointeur(true);


    // Boucle principale

    while(!m_input.terminer())
    {
        // On définit le temps de début de boucle

        debutBoucle = SDL_GetTicks();


        // Gestion des évènements

        m_input.updateEvenements();

        if(m_input.getTouche(SDL_SCANCODE_ESCAPE))
            break;

        camera.deplacer(m_input);


        // Nettoyage de l'écran

        glClear(GL_COLOR_BUFFER_BIT | GL_DEPTH_BUFFER_BIT);


        // Gestion de la caméra

        camera.lookAt(modelview);


        

        // Rendu

        ....




        // Actualisation de la fenêtre

        SDL_GL_SwapWindow(m_fenetre);


        // Calcul du temps écoulé

        finBoucle = SDL_GetTicks();
        tempsEcoule = finBoucle - debutBoucle;


        // Si nécessaire, on met en pause le programme

        if(tempsEcoule < frameRate)
            SDL_Delay(frameRate - tempsEcoule);
    }
}

Les objets à afficher seront ajoutés après.

La cabane

Le header

On passe maintenant aux différents modèles qui doivent être placés dans notre scène, on commence par la cabane.

La première chose avec elle est évidemment de créer une classe Cabane. Elle doit contenir tous les attributs nécessaires à l'affichage comme le tableau de vertices, celui des coordonnées de texture, le shader et les textures (une pour le toit et l'autre pour les murs) :

#ifndef DEF_CABANE
#define DEF_CABANE


// Includes OpenGL

#ifdef WIN32
#include <GL/glew.h>

#else
#define GL3_PROTOTYPES 1
#include <GL3/gl3.h>

#endif


// Includes GLM

#include <glm/glm.hpp>
#include <glm/gtx/transform.hpp>
#include <glm/gtc/type_ptr.hpp>


// Autres includes

#include "Shader.h"
#include "Texture.h"


// Classe Cabane

class Cabane
{
    public:

    Cabane(std::string const vertexShader, std::string const fragmentShader);
    ~Cabane();

    void afficher(glm::mat4 &projection, glm::mat4 &modelview);


    private:

    Shader m_shader;
    Texture m_textureMur;
    Texture m_textureToit;

    float m_vertices[99];
    float m_coordTexture[66];
};

#endif

Remarquez la méthode afficher() qui est la même que celle du Cube.

Mis à part le fait qu'il faille deux textures ici, cette architecture de classe est la même pour tous les objets présents dans ce TP. ;)

Le constructeur

Le constructeur est la méthode qui vous a probablement posés le plus de problèmes. Celui-ci doit initialiser tous les attributs et les premiers sont le shader et les deux textures :

Cabane::Cabane(std::string const vertexShader, std::string const fragmentShader) : m_shader(vertexShader, fragmentShader),
                                                                                   m_textureMur("Textures/Mur.jpg"), m_textureToit("Textures/Toit.jpg")
{
    // Chargement du shader

    m_shader.charger();


    // Chargement des textures

    m_textureMur.charger();
    m_textureToit.charger();
}

L'attribut le plus compliqué à initialiser était le tableau de vertices, il fallait créer tous les triangles nécessaires à l'aide des schémas fournis dans l'énoncé. Je vous avais donné quelques conseils pour y arriver comme le fait de vérifier votre affichage triangle par triangle par exemple.

La chose à ne pas faire était de créer une classe pour chaque partie de la cabane (Murs, Toit et Combles). C'est plus compliqué de gérer toutes ces parties indépendamment plutôt que tout réunir dans un seul tableau.

En prenant votre temps, vous avez pu trouver le tableau de vertices suivant :

// Vertices temporaires

float verticesTmp[] = {-5, 0, -5,   5, 0, -5,   5, 5, -5,      // Mur du Fond
                       -5, 0, -5,   -5, 5, -5,   5, 5, -5,     // Mur du Fond

                       -5, 0, -5,   -5, 0, 5,   -5, 5, 5,      // Mur Gauche
                       -5, 0, -5,   -5, 5, -5,   -5, 5, 5,     // Mur Gauche

                       5, 0, -5,   5, 0, 5,   5, 5, 5,         // Mur Droit
                       5, 0, -5,   5, 5, -5,   5, 5, 5,        // Mur Droit

                       -5, 5, -5,   5, 5, -5,   0, 6, -5,      // Combles

                       -6, 4.8, -6,   -6, 4.8, 6,   0, 6, 6,   // Toit Gauche
                       -6, 4.8, -6,   0, 6, -6,   0, 6, 6,     // Toit Gauche

                       6, 4.8, -6,   6, 4.8, 6,   0, 6, 6,     // Toit Droit
                       6, 4.8, -6,   0, 6, -6,   0, 6, 6};     // Toit Droit

J'ai aéré le code pour que l'on puisse bien distinguer les parties de la cabane. Je vous recommande de faire ça pour vos modèles. :)

Au niveau du tableau de coordonnées de texture, il faut juste faire correspondre les triangles aux bonnes coordonnées de la même façon que nous le faisions dans les chapitres précédents :

// Coordonnées de texture temporaires

float coordTexture[] = {0, 0,   1, 0,   1, 1,        // Mur du Fond
                        0, 0,   0, 1,   1, 1,        // Mur du Fond

                        0, 0,   1, 0,   1, 1,        // Mur Gauche
                        0, 0,   0, 1,   1, 1,        // Mur Gauche

                        0, 0,   1, 0,   1, 1,        // Mur Droit
                        0, 0,   0, 1,   1, 1,        // Mur Droit

                        0, 0,   1, 0,   0.5, 0.5,    // Combles

                        0, 0,   1, 0,   1, 1,        // Toit Gauche
                        0, 0,   0, 1,   1, 1,        // Toit Gauche

                        0, 0,   1, 0,   1, 1,        // Toit Droit
                        0, 0,   0, 1,   1, 1};       // Toit Droit

Attention cependant aux combles qui ne sont représentés que par un seul triangle.

Une fois les tableaux définis, il ne manque plus qu'à copier leurs valeurs dans les attributs finaux :

// Copie des vertices

for(int i(0); i < 99; i++)
    m_vertices[i] = verticesTmp[i];


// Copie des coordonnées

for(int i(0); i < 66; i++)
    m_coordTexture[i] = coordTexture[i];

Si on résume :

Cabane::Cabane(std::string const vertexShader, std::string const fragmentShader) : m_shader(vertexShader, fragmentShader), 
                                                                                   m_textureMur("Textures/Mur.jpg"), m_textureToit("Textures/Toit.jpg")
{
    // Chargement du shader

    m_shader.charger();


    // Chargement des textures

    m_textureMur.charger();
    m_textureToit.charger();


    // Vertices temporaires

    float verticesTmp[] = {-5, 0, -5,   5, 0, -5,   5, 5, -5,      // Mur du Fond
                           -5, 0, -5,   -5, 5, -5,   5, 5, -5,     // Mur du Fond

                           -5, 0, -5,   -5, 0, 5,   -5, 5, 5,      // Mur Gauche
                           -5, 0, -5,   -5, 5, -5,   -5, 5, 5,     // Mur Gauche

                           5, 0, -5,   5, 0, 5,   5, 5, 5,         // Mur Droit
                           5, 0, -5,   5, 5, -5,   5, 5, 5,        // Mur Droit

                           -5, 5, -5,   5, 5, -5,   0, 6, -5,      // Combles

                           -6, 4.8, -6,   -6, 4.8, 6,   0, 6, 6,   // Toit Gauche
                           -6, 4.8, -6,   0, 6, -6,   0, 6, 6,     // Toit Gauche

                           6, 4.8, -6,   6, 4.8, 6,   0, 6, 6,     // Toit Droit
                           6, 4.8, -6,   0, 6, -6,   0, 6, 6};     // Toit Droit


    // Coordonnées de texture temporaires

    float coordTexture[] = {0, 0,   1, 0,   1, 1,        // Mur du Fond
                            0, 0,   0, 1,   1, 1,        // Mur du Fond

                            0, 0,   1, 0,   1, 1,        // Mur Gauche
                            0, 0,   0, 1,   1, 1,        // Mur Gauche

                            0, 0,   1, 0,   1, 1,        // Mur Droit
                            0, 0,   0, 1,   1, 1,        // Mur Droit

                            0, 0,   1, 0,   0.5, 0.5,    // Combles

                            0, 0,   1, 0,   1, 1,        // Toit Gauche
                            0, 0,   0, 1,   1, 1,        // Toit Gauche

                            0, 0,   1, 0,   1, 1,        // Toit Droit
                            0, 0,   0, 1,   1, 1};       // Toit Droit



    // Copie des vertices

    for(int i(0); i < 99; i++)
        m_vertices[i] = verticesTmp[i];


    // Copie des coordonnées

    for(int i(0); i < 66; i++)
        m_coordTexture[i] = coordTexture[i];
}

La méthode afficher()

En ce qui concerne la méthode afficher(), on peut reprendre celle de la classe Caisse mais en y faisant quelques modifications. En effet, il faut gérer l'affichage de deux textures ici et donc faire attention à savoir quels vertices correspondent à quelle texture.

D'après le tableau m_vertices, les 21 premiers vertices, représentés par les 63 premières cases, correspondent aux murs et aux combles qui utilisent la texture Mur.jpg. Il faut donc appeler la fonction glDrawArrays() pour afficher les 21 vertices en partant de celui d'indice 0 (le premier) :

// Verrouillage de la texture du Mur

glBindTexture(GL_TEXTURE_2D, m_textureMur.getID());


// Rendu

glDrawArrays(GL_TRIANGLES, 0, 21);


// Déverrouillage de la texture

glBindTexture(GL_TEXTURE_2D, 0);

Bien entendu, on n'oublie pas de verrouiller la texture du mur. ;)

Ensuite, il faut s'occuper du toit qui occupe les 12 derniers vertices, représentés par les 36 dernières cases du tableau. On ré-appelle donc la fonction glDrawArrays() pour afficher les 12 vertices en partant de celui d'indice 21 (le 22ième) :

// Verrouillage de la texture du Toit

glBindTexture(GL_TEXTURE_2D, m_textureToit.getID());


// Rendu

glDrawArrays(GL_TRIANGLES, 21, 12);


// Déverrouillage de la texture

glBindTexture(GL_TEXTURE_2D, 0);

N'oubliez pas de verrouiller l'autre texture maintenant.

Ce qui donne la méthode final :

void Cabane::afficher(glm::mat4 &projection, glm::mat4 &modelview)
{
    // Activation du shader

    glUseProgram(m_shader.getProgramID());


        // Envoi des vertices

        glVertexAttribPointer(0, 3, GL_FLOAT, GL_FALSE, 0, m_vertices);
        glEnableVertexAttribArray(0);


        // Envoi des coordonnées de texture

        glVertexAttribPointer(2, 2, GL_FLOAT, GL_FALSE, 0, m_coordTexture);
        glEnableVertexAttribArray(2);


        // Envoi des matrices

        glUniformMatrix4fv(glGetUniformLocation(m_shader.getProgramID(), "projection"), 1, GL_FALSE, value_ptr(projection));
        glUniformMatrix4fv(glGetUniformLocation(m_shader.getProgramID(), "modelview"), 1, GL_FALSE, value_ptr(modelview));


        // Verrouillage de la texture du Mur

        glBindTexture(GL_TEXTURE_2D, m_textureMur.getID());


        // Rendu

        glDrawArrays(GL_TRIANGLES, 0, 21);


        // Déverrouillage de la texture

        glBindTexture(GL_TEXTURE_2D, 0);


        // Verrouillage de la texture du Toit

        glBindTexture(GL_TEXTURE_2D, m_textureToit.getID());


        // Rendu

        glDrawArrays(GL_TRIANGLES, 21, 12);


        // Déverrouillage de la texture

        glBindTexture(GL_TEXTURE_2D, 0);


        // Désactivation des tableaux

        glDisableVertexAttribArray(2);
        glDisableVertexAttribArray(0);


    // Désactivation du shader

    glUseProgram(0);
}

Le sol

Le header

La correction du sol va être un peu spécial. En fait, tout dépend de la manière dont vous l'avez codé. Je vais considérer le fait que vous n'ayez fait qu'une seule classe pour gérer les deux types de sol (herbeux et terreux). Bien entendu, si vous en avez fait deux ça fonctionne quand même, il n'y a pas qu'une seule solution je le répète. ^^

Commençons par le header qui ressemble quasiment trait pour trait à celui de la classe Cabane

#ifndef DEF_SOL
#define DEF_SOL


// Includes OpenGL

#ifdef WIN32
#include <GL/glew.h>

#else
#define GL3_PROTOTYPES 1
#include <GL3/gl3.h>

#endif


// Includes GLM

#include <glm/glm.hpp>
#include <glm/gtx/transform.hpp>
#include <glm/gtc/type_ptr.hpp>


// Autres includes

#include "Shader.h"
#include "Texture.h"


// Classe Sol

class Sol
{
    public:

    Sol(float longueur, float largeur, int repetitionLongueur, int repetitionLargeur, std::string const vertexShader, std::string const fragmentShader, std::string const texture);
    ~Sol();

    void afficher(glm::mat4 &projection, glm::mat4 &modelview);


    private:

    Shader m_shader;
    Texture m_texture;

    float m_vertices[18];
    float m_coordTexture[12];
};

#endif

La seule différence par rapport au précédent est le fait que nous n'avons besoin qu'une d'une seule texture ici.

Le constructeur

Si vous n'avez utilisé qu'une seule classe pour le sol, vous vous êtes peut-être confrontés au problème de la répétition de texture. Je vous avais donné une petite piste avec le constructeur suivant :

Sol(float longueur, float largeur, int repetitionLongueur, int repetitionLargeur, std::string const vertexShader, std::string const fragmentShader, std::string const texture);

Celui-ci prend 7 paramètres :

Je passe très rapidement sur le début du constructeur qui ne fait qu'initialiser le shader et la texture :

Sol::Sol(float longeur, float largeur, int repetitionLongueur, int repetitionLargeur, std::string const vertexShader, std::string const fragmentShader, std::string const texture) : 
         m_shader(vertexShader, fragmentShader), m_texture(texture)
{
    // Chargement du shader

    m_shader.charger();


    // Chargement de la texture

    m_texture.charger();
}

Les deux premiers paramètres de la liste ci-dessus servent à initialiser le tableau de vertices en créant deux triangles. Ces derniers formeront eux-mêmes un rectangle qui représentera le sol :

// Vertices temporaires

float verticesTmp[] = {-longueur, 0, -largeur,   longueur, 0, -largeur,   longueur, 0, largeur,     // Triangle 1
                       -longueur, 0, -largeur,   -longueur, 0, largeur,   longueur, 0, largeur};    // Triangle 2

Le petit piège ici serait de ne pas toucher aux paramètres longueur et largeur avant d'initialiser les vertices. En effet, si on ne le fait pas, le sol sera doublé :

Image utilisateur

Pour éviter cela, il faut diviser par 2 les paramètres longueur et largeur avant de les utiliser dans le tableau :

Image utilisateur

Nous avons fait la même chose dans la classe Cube pour éviter de doubler la taille de nos modèles.

// Division de la taille

longueur /= 2.0;
largeur /= 2.0;


// Vertices temporaires

float verticesTmp[] = {-longueur, 0, -largeur,   longueur, 0, -largeur,   longueur, 0, largeur,     // Triangle 1
                       -longueur, 0, -largeur,   -longueur, 0, largeur,   longueur, 0, largeur};    // Triangle 2

A noter que si vos vertices partent d'un coin, comme le coin inférieur gauche par exemple, alors vous ne devez pas faire ces divisions :

Image utilisateur

En ce qui concerne le tableau de coordonnées de texture, il suffit de reprendre celui que nous avons utilisé pour les carrés dans les chapitres précédents et d'y remplacer les valeurs 1 par les paramètres repitionLongueur et repitionLargeur :

// Coordonnées de texture temporaires

float coordTexture[] = {0, 0,   repetitionLongueur, 0,   repetitionLongueur, repetitionLargeur,      // Triangle 1
                        0, 0,   0, repetitionLargeur,   repetitionLongueur, repetitionLargeur};      // Triangle 2

Une fois les tableaux définis, on copie leurs valeurs dans les attributs :

// Copie des vertices

for(int i(0); i < 18; i++)
    m_vertices[i] = verticesTmp[i];


// Copie des coordonnées

for(int i(0); i < 12; i++)
    m_coordTexture[i] = coordTexture[i];

Ce qui donne :

Sol::Sol(float longueur, float largeur, int repetitionLongueur, int repetitionLargeur, std::string const vertexShader, std::string const fragmentShader, std::string const texture) : 
         m_shader(vertexShader, fragmentShader), m_texture(texture)
{
    // Chargement du shader

    m_shader.charger();


    // Chargement de la texture

    m_texture.charger();


    // Division de la taille

    longueur /= 2.0;
    largeur /= 2.0;


    // Vertices temporaires

    float verticesTmp[] = {-longueur, 0, -largeur,   longueur, 0, -largeur,   longueur, 0, largeur,     // Triangle 1
                           -longueur, 0, -largeur,   -longueur, 0, largeur,   longueur, 0, largeur};    // Triangle 2


    // Coordonnées de texture temporaires

    float coordTexture[] = {0, 0,   repetitionLongueur, 0,   repetitionLongueur, repetitionLargeur,      // Triangle 1
                            0, 0,   0, repetitionLargeur,   repetitionLongueur, repetitionLargeur};      // Triangle 2


    // Copie des vertices

    for(int i(0); i < 18; i++)
        m_vertices[i] = verticesTmp[i];


    // Copie des coordonnées

    for(int i(0); i < 12; i++)
        m_coordTexture[i] = coordTexture[i];
}

La méthode afficher()

Pour l'affichage, il suffit juste de reprendre la méthode afficher() de la classe Caisse, et non Cube cette fois-ci, et d'y modifier le nombre de vertices à afficher. Il y a 2 triangles dans notre cas, il en faut donc 6 :

void Sol::afficher(glm::mat4 &projection, glm::mat4 &modelview)
{
    // Activation du shader

    glUseProgram(m_shader.getProgramID());


        // Envoi des vertices

        glVertexAttribPointer(0, 3, GL_FLOAT, GL_FALSE, 0, m_vertices);
        glEnableVertexAttribArray(0);


        // Envoi des coordonnées de texture

        glVertexAttribPointer(2, 2, GL_FLOAT, GL_FALSE, 0, m_coordTexture);
        glEnableVertexAttribArray(2);


        // Envoi des matrices

        glUniformMatrix4fv(glGetUniformLocation(m_shader.getProgramID(), "projection"), 1, GL_FALSE, value_ptr(projection));
        glUniformMatrix4fv(glGetUniformLocation(m_shader.getProgramID(), "modelview"), 1, GL_FALSE, value_ptr(modelview));


        // Verrouillage de la texture

        glBindTexture(GL_TEXTURE_2D, m_texture.getID());


        // Rendu

        glDrawArrays(GL_TRIANGLES, 0, 6);


        // Déverrouillage de la texture

        glBindTexture(GL_TEXTURE_2D, 0);


        // Désactivation des tableaux

        glDisableVertexAttribArray(2);
        glDisableVertexAttribArray(0);


    // Désactivation du shader

    glUseProgram(0);
}

Le cristal

Le header

Le cristal est le modèle le plus simple du TP. Il suffit de reprendre le même principe que la classe Cube en ajoutant la gestion de texture. Voici le header :

#ifndef DEF_CRISTAL
#define DEF_CRISTAL


// Includes OpenGL

#ifdef WIN32
#include <GL/glew.h>

#else
#define GL3_PROTOTYPES 1
#include <GL3/gl3.h>

#endif


// Includes GLM

#include <glm/glm.hpp>
#include <glm/gtx/transform.hpp>
#include <glm/gtc/type_ptr.hpp>


// Autres includes

#include "Shader.h"
#include "Texture.h"


// Classe Cristal

class Cristal
{
    public:

    Cristal(std::string const vertexShader, std::string const fragmentShader, std::string const texture);
    Cristal();

    void afficher(glm::mat4 &projection, glm::mat4 &modelview);


    private:

    Shader m_shader;
    Texture m_texture;

    float m_vertices[72];
    float m_coordTexture[48];
};

#endif

Le constructeur

Le tableau de vertices :

// Vertices temporaires

float verticesTmp[] = {-0.5, 0, -0.5,   0.5, 0, -0.5,   0, 1, 0,      // Triangle 1
                       0.5, 0, -0.5,   0.5, 0, 0.5,  0, 1, 0,         // Triangle 2
                       0.5, 0, 0.5,   -0.5, 0, 0.5,   0, 1, 0,        // Triangle 3
                       -0.5, 0, 0.5,   -0.5, 0, -0.5,   0, 1, 0,      // Triangle 4

                       -0.5, 0, -0.5,   0.5, 0, -0.5,   0, -1, 0,     // Triangle 5
                       0.5, 0, -0.5,   0.5, 0, 0.5,  0, -1, 0,        // Triangle 6
                       0.5, 0, 0.5,   -0.5, 0, 0.5,   0, -1, 0,       // Triangle 7
                       -0.5, 0, 0.5,   -0.5, 0, -0.5,   0, -1, 0};    // Triangle 8

Et le tableau de coordonnées de texture :

// Coordonnées de texture temporaires

float coordTexture[] = {0, 0,   0.5, 0,   0.5, 0.5,      // Triangle 1
                        0, 0,   0.5, 0,   0.5, 0.5,      // Triangle 2
                        0, 0,   0.5, 0,   0.5, 0.5,      // Triangle 3
                        0, 0,   0.5, 0,   0.5, 0.5,      // Triangle 4
                        0, 0,   0.5, 0,   0.5, 0.5,      // Triangle 5
                        0, 0,   0.5, 0,   0.5, 0.5,      // Triangle 6
                        0, 0,   0.5, 0,   0.5, 0.5,      // Triangle 7
                        0, 0,   0.5, 0,   0.5, 0.5};     // Triangle 8

Ce qui donne le constructeur :

Cristal::Cristal(std::string const vertexShader, std::string const fragmentShader, std::string const texture) : m_shader(vertexShader, fragmentShader), m_texture(texture)
{
    // Chargement du shader

    m_shader.charger();


    // Chargement de la texture

    m_texture.charger();


    // Vertices temporaires

    float verticesTmp[] = {-0.5, 0, -0.5,   0.5, 0, -0.5,   0, 1, 0,      // Triangle 1
                           0.5, 0, -0.5,   0.5, 0, 0.5,  0, 1, 0,         // Triangle 2
                           0.5, 0, 0.5,   -0.5, 0, 0.5,   0, 1, 0,        // Triangle 3
                           -0.5, 0, 0.5,   -0.5, 0, -0.5,   0, 1, 0,      // Triangle 4

                           -0.5, 0, -0.5,   0.5, 0, -0.5,   0, -1, 0,     // Triangle 5
                           0.5, 0, -0.5,   0.5, 0, 0.5,  0, -1, 0,        // Triangle 6
                           0.5, 0, 0.5,   -0.5, 0, 0.5,   0, -1, 0,       // Triangle 7
                           -0.5, 0, 0.5,   -0.5, 0, -0.5,   0, -1, 0};    // Triangle 8


    // Coordonnées de texture temporaires

    float coordTexture[] = {0, 0,   0.5, 0,   0.5, 0.5,      // Triangle 1
                            0, 0,   0.5, 0,   0.5, 0.5,      // Triangle 2
                            0, 0,   0.5, 0,   0.5, 0.5,      // Triangle 3
                            0, 0,   0.5, 0,   0.5, 0.5,      // Triangle 4
                            0, 0,   0.5, 0,   0.5, 0.5,      // Triangle 5
                            0, 0,   0.5, 0,   0.5, 0.5,      // Triangle 6
                            0, 0,   0.5, 0,   0.5, 0.5,      // Triangle 7
                            0, 0,   0.5, 0,   0.5, 0.5};     // Triangle 8


    // Copie des vertices

    for(int i(0); i < 72; i++)
        m_vertices[i] = verticesTmp[i];


    // Copie des coordonnées

    for(int i(0); i < 48; i++)
        m_coordTexture[i] = coordTexture[i];
}

La méthode afficher()

Le reste de la classe est identique à celle du sol. La seule différence concerne la fonction glDrawArrays() qui doit afficher 24 vertices et non 6 :

void Cristal::afficher(glm::mat4 &projection, glm::mat4 &modelview)
{
    // Activation du shader

    glUseProgram(m_shader.getProgramID());


        // Envoi des vertices

        glVertexAttribPointer(0, 3, GL_FLOAT, GL_FALSE, 0, m_vertices);
        glEnableVertexAttribArray(0);


        // Envoi des coordonnées de texture

        glVertexAttribPointer(2, 2, GL_FLOAT, GL_FALSE, 0, m_coordTexture);
        glEnableVertexAttribArray(2);


        // Envoi des matrices

        glUniformMatrix4fv(glGetUniformLocation(m_shader.getProgramID(), "projection"), 1, GL_FALSE, value_ptr(projection));
        glUniformMatrix4fv(glGetUniformLocation(m_shader.getProgramID(), "modelview"), 1, GL_FALSE, value_ptr(modelview));


        // Verrouillage de la texture

        glBindTexture(GL_TEXTURE_2D, m_texture.getID());


        // Rendu

        glDrawArrays(GL_TRIANGLES, 0, 24);


        // Déverrouillage de la texture

        glBindTexture(GL_TEXTURE_2D, 0);


        // Désactivation des tableaux

        glDisableVertexAttribArray(2);
        glDisableVertexAttribArray(0);


    // Désactivation du shader

    glUseProgram(0);
}

Afficher le tout

Maintenant que nous avons toutes nos classes, il ne nous reste plus qu'à les instancier pour remplir notre scène. Celle-ci doit contenir une cabane, deux types de sol, un cristal et quelques caisses :

// Cabanne

Cabane cabane("Shaders/texture.vert", "Shaders/texture.frag");


// Sols

Sol solHerbeux(30.0, 30.0, 15, 15, "Shaders/texture.vert", "Shaders/texture.frag", "Textures/Herbe.jpg");
Sol solTerreux(10.0, 10.0, 5, 5, "Shaders/texture.vert", "Shaders/texture.frag", "Textures/Sol.jpg");


// Caisses

Caisse caisse(2.0, "Shaders/texture.vert", "Shaders/texture.frag", "Textures/Caisse2.jpg");
Caisse caisseDanger(2.0, "Shaders/texture.vert", "Shaders/texture.frag", "Textures/Caisse.jpg");


// Cristal

Cristal cristal("Shaders/texture.vert", "Shaders/texture.frag", "Textures/Cristal.tga");
float angle(0.0);

Au niveau de l'affichage, il suffit d'appeler la méthode afficher() pour tous les objets. On commence avec la cabane et le sol :

// Affichage de la cabane

cabane.afficher(projection, modelview);


// Affichage du sol terreux

solTerreux.afficher(projection, modelview);


// Affichage du sol herbeux

mat4 sauvegardeModelview = modelview;

    modelview = translate(modelview, vec3(0, -0.01, 0));
    solHerbeux.afficher(projection, modelview);

modelview = sauvegardeModelview;

Il y a deux détails qui doivent retenir notre attention ici :

Il ne manque plus qu'à placer les caisses et le cristal à l'aide de différentes translations. On commence avec les caisses sans oublier de sauvegarder et restaurer la matrice modelview. D'ailleurs, il n'y a pas besoin de redéclarer la sauvegarde vu qu'elle l'a déjà été avant. ;)

// Sauvegarde de la matrice

sauvegardeModelview = modelview;


    // Première caisse

    modelview = translate(modelview, vec3(-2.5, 1, -3));
    caisse.afficher(projection, modelview);


    // Deuxième caisse

    modelview = translate(modelview, vec3(5, 0, 1));
    caisseDanger.afficher(projection, modelview);


    // Troisième caisse

    modelview = translate(modelview, vec3(-2.5, 0, 4));
    caisse.afficher(projection, modelview);


// Restauration de la matrice

modelview = sauvegardeModelview;

Vu que les caisses sont assez proches, nous pouvons nous permettre de ne sauvegarder et de ne restaurer la matrice modelview qu'une seule fois.

On termine l'affichage par le fameux cristal qui doit pivoter sur lui-même indéfiniment. On utilise pour cela la même technique que celle du cube dans le chapitre sur la 3D, à savoir l'utilisation d'un angle incrémenté de 1 à chaque tour de boucle. Si cet angle dépasse 360° alors on lui soustrait justement 360° :

// Sauvegarde de la matrice

sauvegardeModelview = modelview;


    // Affichage des caisses

    ....


    // Rotation du cristal

    angle++;
 
    if(angle > 360)
        angle -= 360;


    // Affichage du cristal

    modelview = translate(modelview, vec3(0, 2.1, 0));
    modelview = rotate(modelview, angle, vec3(0, 1, 0));

    cristal.afficher(projection, modelview);


// Restauration de la matrice

modelview = sauvegardeModelview;

Faites attention à placer ce bout de code dans le bloc "sauvegarde/restauration de la matrice" des caisses, ne refaites pas de sauvegarde juste pour afficher le cristal. ;)

Téléchargement

Comme toute fin de chapitre, je vous propose de télécharger une archive contenant le code que nous avons fait. Ou plutôt que vous avez fait dans ce cas. :p

Télécharger (Windows - UNIX/Linux) : Correction du TP - Une relique retrouvée

Nous venons de terminer notre premier TP, celui-ci nous a permis d'utiliser toutes les notions que avons vues sur OpenGL. :D

Je vous conseille de mettre de coté le code que vous avez réalisé vous-même, le TP de la deuxième partie sera basé dessus. Bien évidemment, nous y rajouterons une multitude de nouveautés, nous les verrons toutes ensemble.

Je vous invite d'ailleurs à lire la deuxième partie de ce tutoriel qui sera consacrée aux notions avancées d'OpenGL. Je vous parlerai enfin des shaders en détails, vous saurez tout à leur sujet depuis la classe qui leur est dédiée jusqu'aux petits fichiers sources du dossier Shaders. Nous verrons également pas mal d'autres choses qui seront principalement axées autour de la carte graphique. ^^


Les consignes Les Vertex Buffer Objects

Les Vertex Buffer Objects

Correction C'est quoi un VBO ?

On attaque cette deuxième partie du tutoriel avec des objets OpenGL qui vont nous être très utiles par la suite : les Vertex Buffer Objects. Ils sont très liés à la carte graphique car ils permettent d'héberger des données directement dessus (vertex, coordonnées de texture, ...).

Vu que nous avons déjà eu l'occasion de manipuler les objets OpenGL avec les textures, vous retrouverez pas mal de notions similaires, et tant mieux parce que ça nous facilite la vie. :p

C'est quoi un VBO ?

Les Vertex Buffer Objects Création

Définition

Je vous ai déjà donné une rapide définition des Vertex Buffer Objects (ou VBO) dans l'introduction mais faisons comme si vous n'avez rien vu. :p

Un Vertex Buffer Object qu'est ce c'est ?

C'est un objet OpenGL qui contient des données relatives à un modèle 3D comme les vertices, les coordonnées de texture, les normales (pour les lumières), ... Sa particularité vient du fait que les données qu'il contient se trouvent non pas dans la RAM mais directement dans la carte graphique.

Lorsque vous achetez une carte graphique, je suis sûr que la majorité d'entre vous ne regarde qu'une seule caractéristique : la quantité de mémoire RAM (ou plutôt VRAM pour Vidéo Random Access Memory). Cette mémoire se comporte exactement comme la RAM classique, elle stocke des informations qui seront utilisées plus tard par un programme.

Un Vertex Buffer Object est donc une zone mémoire (buffer) appartenant à la carte graphique dans laquelle on peut stocker des données.

Utilité

Vous vous posez peut-être la question de savoir quel intérêt peut-on avoir à stocker des données directement dans la carte graphique ?

L'intérêt n'est peut-être pas évident pour le moment car nous n'avons pas de projets d'envergure pour le moment, mais sachez que les VBO permettent de gagner beaucoup de temps calculs en évitant à OpenGL des aller et retours inutiles.

En effet, lorsque vous affichez un modèle 3D (comme une maison par exemple), vous devez spécifier ses vertices, ses coordonnées de texture, ... Toutes ces données se trouvent automatiquement dans la RAM. Or, à chaque fois que vous appelez la fonction glDrawArrays() ou glDrawElements() pour afficher votre modèle, OpenGL va chercher toutes les données correspondantes dans la RAM pour les transférer dans la mémoire graphique pour qu'ensuite seulement il puisse travailler avec :

Image utilisateur

Je pense que vous aurez compris que ces transferts ralentissent pas mal le temps de calcul, surtout quand vous transférez des centaines de milliers de données 60 fois par seconde !

Pour éviter de perdre du temps avec ces transferts, OpenGL nous propose d'utiliser les Vertex Buffer Objects pour accéder directement à la mémoire vidéo. Au moment du chargement d'un modèle, on envoie toutes les données au VBO qui va se contenter de les stocker dans la carte graphique. Il n'y a donc plus qu'un seul transfert :

Image utilisateur
Image utilisateur

On économise ainsi le transfert de centaines de milliers de données à chaque affichage, la carte graphique peut travailler plus rapidement.

Attention cependant, on conserve tout de même une copie des données dans la RAM. Elles ne sont plus copiées à chaque affichage mais elles sont quand même là. On doit les converser pour pouvoir effectuer des calculs dessus, comme un déplacement de personnage par exemple.

D'ailleurs, lorsqu'on les mettra à jour il faudra les re-transférer dans le VBO, mais ça ce sera pour la fin du chapitre. :p


Les Vertex Buffer Objects Création

Création

C'est quoi un VBO ? Utilisation

Le header

Introduction

On sait maintenant ce que sont les Vertex Buffer Objects, on peut donc passer à leur implémentation. Mais avant tout je voudrais faire une petite comparaison avec les textures.

Souvenez-vous que les textures sont des objets OpenGL eux-aussi et que les fonctions qui permettent de les gérer sont quasiment les mêmes pour tous les objets. Ainsi, on retrouvera des fonctions identiques aux textures pour gérer les VBO comme glGenXXX(), glBindXXX() et glDeleteXXX(). De plus, on retrouvera également les variables de type GLuint qui les représentera et qu'on utilisera notamment dans le verrouillage.

Dans ça chapitre, nous travaillerons sur la classe Cube en intégrant un Vertex Buffer Objet pour l'afficher. Nous ferons de même par la suite pour la classe Caisse en prenant en compte l'héritage C++. ;)

Nouvel attribut

Pour commencer, nous allons ajouter à notre liste d'attributs une nouvelle variable de type GLuint que nous appellerons m_vboID et qui représentera l'identifiant du VBO. Nous en aurons besoin pour sa configuration et son utilisation.

#ifndef DEF_CUBE
#define DEF_CUBE


// Includes 

....


// Classe Cube

class Cube
{
    public:

    Cube(float taille, std::string const vertexShader, std::string const fragmentShader);
    ~Cube();

    void afficher(glm::mat4 &projection, glm::mat4 &modelview);


    protected:

    Shader m_shader;
    float m_vertices[108];
    float m_couleurs[108];

    GLuint m_vboID;
};

#endif

Comme tout nouvel attribut, il faut penser à l'initialiser dans le constructeur. Nous lui donnerons la valeur 0 vu qu'il est vide pour le moment :

Cube::Cube(float taille, std::string const vertexShader, std::string const fragmentShader) : m_shader(vertexShader, fragmentShader), m_vboID(0)
{
    // Initialisation

    ....
}

La méthode charger()

Génération de l'identifiant

Nous n'allons pas gérer la création du VBO dans le constructeur car cela poserait problème avec l'héritage dans les classes filles. A la place, nous allons créer une méthode à part que nous appellerons simplement charger() comme pour les textures et le shader. Son prototype ne sera pas compliqué vu qu'il n'y aura aucun paramètre à gérer :

void charger();

Ne l'appelez pas chargerVBO() car nous mettrons autre chose à l'intérieur dans le chapitre suivant. ;)

Pour en revenir à notre nouvel attribut, rappelez-vous que les identifiants (ou ID) sont créés grâce à la fonction glGenXXX() et représentent l'objet OpenGL auquel ils sont rattachés. Pour créer celui des textures par exemple, nous utilisions la fonction glGenTextures().

Pour les VBO, nous utiliserons la même fonction sauf que l'on remplacera le mot Texture par Buffer (ou zone mémoire). La fonction à utiliser devient donc glGenBuffers() :

GLuint glGenBuffers(GLsizei number, GLuint *buffers);

Donc pour générer un nouvel ID, nous devons appeler cette fonction en donnant en paramètre 1 (pour n'en créer qu'un seul) ainsi que l'adresse de l'attribut m_vboID pour récupérer la valeur retournée :

void Cube::charger()
{
    // Génération de l'ID

    glGenBuffers(1, &m_vboID);
}

Le verrouillage

Si je vous parle de la notion de verrouillage, vous vous souvenez de ce que ce que ça signifie ? ;)

A chaque fois que l'on veut configurer ou utiliser un objet OpenGL il faut le verrouiller car OpenGL a justement besoin de savoir sur quelle chose il doit travailler.
Pour configurer les textures par exemple, il fallait les verrouiller avant de leur donner les pixels d'une image. Si nous ne l'avions pas fait, nous aurions envoyé les pixels on ne sait où dans la mémoire.

Avec les VBO c'est la même chose, avant de les configurer ou de les utiliser il faut les verrouiller.

La fonction permettant de faire cette opération s'appelle glBindXXX(), avec les VBO ce sera glBindBuffer().

void glBindBuffer(GLenum target, GLuint buffer);

On appelle donc cette fonction en donnant en paramètre GL_ARRAY_BUFFER pour target et l'attribut m_vboID pour buffer :

void Cube::charger()
{
    // Génération de l'ID

    glGenBuffers(1, &m_vboID);


    // Verrouillage du VBO

    glBindBuffer(GL_ARRAY_BUFFER, m_vboID);
}

Je profite également de cette partie pour vous montrer le déverrouillage d'objet. Vous savez qu'une fois que nous n'utilisons plus nos objets il faut les déverrouiller, pour éviter d'écrire par erreur dedans par exemple.

Pour déverrouiller un VBO, il suffit d'appeler la fonction glBindbuffer() avec un ID de 0 (valeur nulle).

void Cube::charger()
{
    // Génération de l'ID

    glGenBuffers(1, &m_vboID);


    // Verrouillage du VBO

    glBindBuffer(GL_ARRAY_BUFFER, m_vboID);



        // Configuration 

        ....



    // Déverrouillage de l'objet

    glBindBuffer(GL_ARRAY_BUFFER, 0);
}

Allocation de la mémoire vidéo (Partie 1/2)

Maintenant que nous avons un VBO créé et verrouillé, nous allons pouvoir lui transférer les données stockées dans la RAM. Les transferts seront un peu déroutants car nous ne transférons pas directement des float ou des unsigned int mais des bytes.

Mais avant cela, il va falloir définir une zone mémoire à l'intérieur-même de la carte graphique. Les VBO se comportent un peu comme l'allocation dynamique, il faut allouer dynamiquement de la place dans la mémoire en fonction des données à transférer.

Pour allouer de la mémoire normale (RAM), nous devons utiliser le mot-clef new[] avec la taille désirée. Dans notre cas, il va falloir passer par une fonction dédiée qui s'appelle glBufferData() :

glBufferData(GLenum target, GLsizeiptr size, const GLvoid *data, GLenum  usage)

Le deuxième et le quatrième paramètres sont les plus importants, nous allons passer un peu plus de temps dessus.

Le paramètre size est un peu particulier, il correspond à la taille de la mémoire à allouer en bytes (ou octets). Pourquoi en bytes ? Parce que les variables primitives ne font pas forcément la même taille dans la RAM que dans la VRAM, une variable de type float par exemple peut prendre plus de place dans l'une et moins dans l'autre.

Pour transférer des variables correctement, il faut trouver un moyen de communication commun entre les deux mémoires, et ce moyen c'est le byte.
Il nous faut donc demander à la carte graphique une zone mémoire exprimée en bytes, elle devra être assez grande pour pouvoir contenir toutes les données. Dans la classe Cube, nous avons un tableau pour les vertices et un autre pour les couleurs. La zone devra donc faire la taille de ces deux-la.

Pour avoir la taille d'un tableau, il suffit de multiplier le nombre de ses cases par la taille en bytes du type de variable utilisée. Je vous rappelle que la fonction permettant d'avoir la taille d'un type de variable s'appelle sizeof(type).

Pour calculer la taille des vertices par exemple, nous savons que nous en avons 108 donc nous faisons 108 * sizeof(float) :

// Taille du tableau de vertices

int tailleVerticesBytes = 108 * sizeof(float);

Pour le tableau de couleurs, on fait exactement le même calcul. Nous avons 108 cases donc nous faisons 108 * sizeof(float) :

// Taille du tableau de couleurs

int tailleCouleursBytes = 108 * sizeof(float);

La taille de la zone mémoire à allouer dans la carte graphique vaudra donc tailleVerticesBytes + tailleCouleursBytes. :)

De nouveaux attributs

Je profite de cette partie pour faire une petite parenthèse. Nous aurons besoin des attributs précédents plusieurs fois dans la classe Cube (et ses filles). Il vaut donc mieux créer des attributs les représentant plutôt que de les redéclarer à la main à chaque fois.

Rajoutons donc deux nouvelles variables m_tailleVerticesBytes et m_tailleCouleursBytes dans le header :

#ifndef DEF_CUBE
#define DEF_CUBE


// Includes 

....


// Classe Cube

class Cube
{
    public:

    Cube(float taille, std::string const vertexShader, std::string const fragmentShader);
    ~Cube();

    void afficher(glm::mat4 &projection, glm::mat4 &modelview);


    protected:

    Shader m_shader;
    float m_vertices[108];
    float m_couleurs[108];
 
    GLuint m_vboID;
    int m_tailleVerticesBytes;
    int m_tailleCouleursBytes;
};

#endif

Initialisons-les ensuite dans le constructeur en leur donnant la taille des vertices et des couleurs en bytes :

Cube::Cube(float taille, std::string const vertexShader, std::string const fragmentShader) : m_shader(vertexShader, fragmentShader), m_vboID(0),
                                                                                             m_tailleVerticesBytes(108 * sizeof(float)),
                                                                                             m_tailleCouleursBytes(108 * sizeof(float))
{
    // Initialisation

    ....
}

Le paramètre size de la fonction glBufferData() prendra donc la valeur m_tailleVerticesBytes + m_tailleCouleursBytes.

Allocation de la mémoire vidéo (Partie 2/2)

On ferme la parenthèse et on revient à l'étude des autres paramètres. Le prochain sur la liste est usage et il sera plus rapide à comprendre. :p

Il permet à OpenGL de savoir si les données que nous stockerons dans le VBO seront mises à jour rarement, fréquemment ou tout le temps.

Par exemple, un personnage qui bouge devra quasiment tout le temps mettre à jour ses vertices, une caisse en revanche ne devra jamais le faire. OpenGL à besoin de connaitre cette fréquence de mise à jour, c'est pour ça qu'il nous donne le paramètre usage.

En théorie, il existe 9 valeurs possibles pour ce paramètre mais nous n'en retiendrons que 3 :

Vu que le cube ne bouge pas, nous mettrons la valeur GL_STATIC_DRAW. ;)

En définitif, avec tous les paramètres que l'on vient de voir, nous appellerons la fonction glBufferData() de cette façon :

void Cube::charger()
{
    // Génération de l'ID

    glGenBuffers(1, &m_vboID);


    // Verrouillage du VBO

    glBindBuffer(GL_ARRAY_BUFFER, m_vboID);


        // Allocation de la mémoire

        glBufferData(GL_ARRAY_BUFFER, m_tailleVerticesBytes + m_tailleCouleursBytes, 0, GL_STATIC_DRAW);


    // Déverrouillage de l'objet

    glBindBuffer(GL_ARRAY_BUFFER, 0);
}

Avec ça, on vient de communiquer directement avec la carte graphique pour lui demander si elle pouvait nous réserver un petit espace mémoire. ;)

Transfert des données

La fonction glBufferData() nous a permis d'allouer un espace mémoire pour y stocker nos données, et vous avez vu que nous n'avons transféré aucune donnée même si elle nous le proposait. Nous ne l'avons pas fait car il est impossible d'envoyer plusieurs tableaux dans un seul paramètre.

Pour transférer les données, nous allons utiliser une autre fonction OpenGL dont le nom ressemble étonnamment à celui de la fonction précédente : glBufferSubData().

glBufferSubData(GLenum target, GLintptr offset, GLsizeiptr size, const GLvoid *data);

Les paramètres importants ici sont l'offset et le size.

Je commence par le paramètre size, il correspond à la taille (en bytes) des données à envoyer. Si nous envoyons le tableau de vertices, nous donnerons la taille du tableau que nous avons calculée juste avant. Même chose pour le tableau de couleurs.

Le paramètre offset correspond quant à lui à la case mémoire dans laquelle va commencer la copie. Pour le transfert des vertices, ce paramètre sera de 0 vu que l'on commence à copier au début de la zone mémoire :

Image utilisateur

En revanche pour le transfert des couleurs, on ne va pas commencer la copie à la case 0 sinon on va écraser les valeurs transférées juste avant :

Image utilisateur

Il faudra commencer la copie à la fin du tableau de vertices, soit à la case tailleVerticesBytes :

Image utilisateur

A partir de cette case, on n'écrase plus rien, on copie au bon endroit.
D'ailleurs, offset signifie décalage en français, on renseigne un décalage dans la plage mémoire. ;)

Au final, pour envoyer toutes nos données à la carte graphique nous devons appeler la fonction glBindSubData() deux fois en faisant attention à copier le bon volume de données au bon endroit.
Le premier transfert s'occupera de copier le tableau de vertices dans la mémoire vidéo à partir de la case 0 :

// Transfert des vertices

glBufferSubData(GL_ARRAY_BUFFER, 0, m_tailleVerticesBytes, m_vertices);

Le second transfert s'occupera de copier le tableau de couleurs dans la mémoire vidéo juste après les vertices, soit à partir de la case tailleVerticesBytes :

// Transfert des couleurs

glBufferSubData(GL_ARRAY_BUFFER, m_tailleVerticesBytes, m_tailleCouleursBytes, m_couleurs);

On fait un petit récapitulatif de la création d'un VBO :

void Cube::charger()
{
    // Génération de l'ID

    glGenBuffers(1, &m_vboID);


    // Verrouillage du VBO

    glBindBuffer(GL_ARRAY_BUFFER, m_vboID);


        // Allocation de la mémoire vidéo

        glBufferData(GL_ARRAY_BUFFER, m_tailleVerticesBytes + m_tailleCouleursBytes, 0, GL_STATIC_DRAW);


        // Transfert des données

        glBufferSubData(GL_ARRAY_BUFFER, 0, m_tailleVerticesBytes, m_vertices);
        glBufferSubData(GL_ARRAY_BUFFER, m_tailleVerticesBytes, m_tailleCouleursBytes, m_couleurs);


    // Déverrouillage de l'objet

    glBindBuffer(GL_ARRAY_BUFFER, 0);
}

Éviter les fuites de mémoire

Si vous vous souvenez de ce que l'on a vu sur le changement de texture, vous vous souviendrez que nous avons ajouté une petite ligne de code au début de la méthode charger(). En effet, je vous avais parlé de ce qui se passait si on appelait deux fois cette méthode sur un même objet : cela entrainait une fuite de mémoire car le premier chargement était perdu dans la carte graphique.

Avec les VBO, nous avons le même problème : si on en charge un deux fois alors le premier chargement effectué sera perdu et les ressources seront considérées comme étant "toujours utilisées". Pour éviter cette fuite de mémoire, nous allons faire la même chose que les textures en vérifiant d'une part si le VBO a déjà été chargé, puis en le en détruisant si c'est le cas. Le tout au début de la méthode charger() avant l'initialisation.

La fonction permettant de savoir si un VBO a déjà été chargé s'appelle glIsBuffer() :

GLboolean glIsBuffer(GLuint buffer);

Elle ne prend en paramètre que l'identifiant à vérifier et renvoie la valeur GL_TRUE si le VBO a déjà été chargé ou GL_FALSE s'il ne l'a pas été.

La fonction de destruction quant à elle s'appelle glDeleteBuffers() :

void glDeleteBuffers(GLsizei number, const GLuint *buffers);

Nous appellerons ces deux fonctions dans un bloc if au début de la méthode charger() :

void Cube::charger()
{
    // Destruction d'un éventuel ancien VBO

    if(glIsBuffer(m_vboID) == GL_TRUE)
        glDeleteBuffers(1, &m_vboID);


    // Génération de l'ID

    glGenBuffers(1, &m_vboID);

    
    ....
}

Ce qui donne le code source définitif :

void Cube::charger()
{
    // Destruction d'un éventuel ancien VBO

    if(glIsBuffer(m_vboID) == GL_TRUE)
        glDeleteBuffers(1, &m_vboID);


    // Génération de l'ID

    glGenBuffers(1, &m_vboID);


    // Verrouillage du VBO

    glBindBuffer(GL_ARRAY_BUFFER, m_vboID);


        // Allocation de la mémoire vidéo

        glBufferData(GL_ARRAY_BUFFER, m_tailleVerticesBytes + m_tailleCouleursBytes, 0, GL_STATIC_DRAW);


        // Transfert des données

        glBufferSubData(GL_ARRAY_BUFFER, 0, m_tailleVerticesBytes, m_vertices);
        glBufferSubData(GL_ARRAY_BUFFER, m_tailleVerticesBytes, m_tailleCouleursBytes, m_couleurs);


    // Déverrouillage de l'objet

    glBindBuffer(GL_ARRAY_BUFFER, 0);
}

Notre premier VBO est prêt à l'emploi. :D

Le destructeur

Encore une fois, tout comme les textures, les VBO doivent être détruits lorsque nous n'en avons plus besoin. Vu que nous sommes dans une classe, nous devons gérer cette destruction dans la méthode prévue pour ça : le destructeur.

Cette tâche se fait avec la fonction glDeleteBuffers() que nous avons vue précédemment. Nous l’appellerons dans le destructeur en lui donnant l'adresse de l'attribut m_vboID :

Cube::~Cube()
{
    // Destruction du VBO

    glDeleteBuffers(1, &m_vboID);
}

C'est quoi un VBO ? Utilisation

Utilisation

Création Mise à jour des données

Utilisation d'un VBO

Maintenant que nous avons un VBO créé et initialisé, on ne va pas se priver du plaisir de l'utiliser dans nos programmes. :)

Pour utiliser un VBO on fait exactement la même chose qu'avec les textures. D'ailleurs, vous vous souvenez de ce qu'on doit faire pour envoyer une texture à OpenGL ?

....

On la verrouille !

On va faire exactement la même chose avec les VBO, pour les utiliser on va les verrouiller. Comme tous les objets OpenGL j'ai envie de dire. :p

Ok mais euh ... On le verrouille où ?

Ah très bonne question. ^^

Jusqu'à ce chapitre, pour afficher un modèle 3D nous devions envoyer les données à l'aide de la fonction glVertexAttribPointer() puis nous affichions le tout avec la fonction glDrawArrays(). Nous continuerons à procéder ainsi sauf que nous ajouterons le verrouillage du VBO juste avant la fonction glVertexAttribPointer().

En effet même si les données se trouvent dans la mémoire vidéo, OpenGL ne sait pas où elles se situent exactement, c'est à nous de lui dire. Pour ça, on va toujours utiliser la fonction glVertexAttribPointer() sauf qu'on va modifier son dernier paramètre. Je vous redonne son prototype pour que vous visualisiez le paramètre en question :

void glVertexAttribPointer(GLuint index, GLuint size, GLenum type, GLboolean normalized, GLsizei stride, const GLvoid *pointer);

Le paramètre pointer permet à OpenGL de savoir où se trouvent nos données (vertices et toute la clique je le rappelle). Avant nous donnions directement les tableaux à ce paramètre, ils étaient stockés dans la RAM ça ne posait pas de problème. Mais maintenant nous devons lui donner l'adresse des tableaux à l'intérieur de la mémoire vidéo.

Image utilisateur

Lorsque le VBO est verrouillé, OpenGL sait qu'il doit aller chercher les données dans la plage mémoire qui lui est consacrée. A partir de maintenant, le paramètre pointer n'attend plus un tableau mais un offset.

Offset ça ne vous rappelle pas un paramètre ? C'est celui de la fonction glBufferSubData(), il représente la case (le décalage en mémoire) où le transfert doit commencer.
Et bien c'est justement ce qu'attend OpenGL maintenant. Nous lui donnerons donc l'offset correspondant aux tableaux de données dans la mémoire vidéo.

Pour les vertices, cet offset sera de 0 car ils se situent au début de la zone mémoire.
Pour les couleurs, cet offset sera égal à l'attribut m_tailleVerticesBytes car elles sont situées juste après les vertices dans la zone mémoire.

L'appel à la fonction glVertexAttribPointer() devient donc :

// Verrouillage du VBO

glBindBuffer(GL_ARRAY_BUFFER, m_vboID);


    // Accès aux vertices dans la mémoire vidéo

    glVertexAttribPointer(0, 3, GL_FLOAT, GL_FALSE, 0, 0);
    glEnableVertexAttribArray(0);


    // Accès aux couleurs dans la mémoire vidéo

    glVertexAttribPointer(1, 3, GL_FLOAT, GL_FALSE, 0, m_tailleVerticesBytes);
    glEnableVertexAttribArray(1);


// Déverrouillage du VBO

glBindBuffer(GL_ARRAY_BUFFER, 0);

Au niveau de la méthode afficher(), ça donnerait ceci :

void Cube::afficher(glm::mat4 &projection, glm::mat4 &modelview)
{
    // Activation du shader

    glUseProgram(m_shader.getProgramID());


        // Verrouillage du VBO

        glBindBuffer(GL_ARRAY_BUFFER, m_vboID);


            // Accès aux vertices dans la mémoire vidéo

            glVertexAttribPointer(0, 3, GL_FLOAT, GL_FALSE, 0, 0);
            glEnableVertexAttribArray(0);


            // Accès aux couleurs dans la mémoire vidéo

            glVertexAttribPointer(1, 3, GL_FLOAT, GL_FALSE, 0, m_tailleVerticesBytes);
            glEnableVertexAttribArray(1);


        // Déverrouillage du VBO

        glBindBuffer(GL_ARRAY_BUFFER, 0);


        ....


    // Désactivation du shader

    glUseProgram(0);
}

Techniquement, on ne peut pas compiler ce code car le paramètre pointer attend un décalage (représenté par une adresse et non une variable). Or nous, nous lui donnons une variable de type integer. Alors bon, pour le 0 ça passe encore mais pour tailleVerticesBytes notre compilateur va nous râler dessus. :lol:

Pour utiliser les variables tailleXXX en décalage, OpenGL nous demande de les encadrer avec la macro suivante :

// Macro utile au VBO

#ifndef BUFFER_OFFSET

    #define BUFFER_OFFSET(offset) ((char*)NULL + (offset))

#endif

Ce code permet de spécifier un décalage offset en partant de l'adresse NULL (ou 0) qui indique le début du VBO. Le mot-clef char permet simplement de faire le lien avec les bytes, je vous rappelle que les variables de type char sont codées sur 1 byte. ;)

En utilisant cette macro, le compilateur comprend bien qu'on veut lui envoyer une adresse à l'aide d'une variable. Nous encadrons donc le paramètre pointer par BUFFER_OFFSET() :

// Verrouillage du VBO

glBindBuffer(GL_ARRAY_BUFFER, m_vboID);


    // Accès aux vertices dans la mémoire vidéo

    glVertexAttribPointer(0, 3, GL_FLOAT, GL_FALSE, 0, BUFFER_OFFSET(0));
    glEnableVertexAttribArray(0);


    // Accès aux couleurs dans la mémoire vidéo

    glVertexAttribPointer(1, 3, GL_FLOAT, GL_FALSE, 0, BUFFER_OFFSET(m_tailleVerticesBytes));
    glEnableVertexAttribArray(1);


// Déverrouillage du VBO

glBindBuffer(GL_ARRAY_BUFFER, 0);

Petit point important avant de compiler tout ça, faites attention à bien appeler la méthode charger() au moment de créer votre cube. Si vous ne le faites pas, votre application va joliment planter devant vos yeux ébahies. ^^

// Déclaration d'un objet Cube

Cube cube(2.0, "Shaders/couleur3D.vert", "Shaders/couleur3D.frag");
cube.charger();

Cette fois, vous pouvez compiler tranquillement.

Image utilisateur

Vous avez le même rendu qu'avant sauf que maintenant OpenGL ne fait plus d'aller-retours pour chercher les données dans la RAM. Tout se trouve déjà dans la carte graphique et ça lui fait gagner du temps. :)

Utilisation de plusieurs VBO

On termine cette sous-partie avec une petite problématique ? Comment je fais si je veux utiliser plusieurs VBO pour afficher quelque chose ?

En temps normal, je vous dirais qu'il est inutile d'en utiliser plusieurs pour afficher un unique modèle, un seul fait parfaitement l'affaire. Cependant, il existe des cas où il est utile de séparer les données dans plusieurs VBO, en général ce sera pour faire de l'optimisation.

Si ça vous arrive un jour, sachez qu'il suffit simplement de verrouiller le premier VBO avant votre premier envoi de données, puis de verrouiller le deuxième avec le deuxième envoi, et ainsi de suite :

// Accès au premier VBO

glBindBuffer(GL_ARRAY_BUFFER, premierVBO);

    // Accès à la mémoire vidéo

    glVertexAttribPointer(0, 3, GL_FLOAT, GL_FALSE, 0, BUFFER_OFFSET(0));
    glEnableVertexAttribArray(0);


// Déverrouillage du VBO

glBindBuffer(GL_ARRAY_BUFFER, 0);



// Accès au deuxième VBO

glBindBuffer(GL_ARRAY_BUFFER, deuxiemeVBO);

    // Accès à la mémoire vidéo

    glVertexAttribPointer(2, 2, GL_FLOAT, GL_FALSE, 0, BUFFER_OFFSET(m_tailleVerticesBytes));
    glEnableVertexAttribArray(2);


// Déverrouillage du VBO

glBindBuffer(GL_ARRAY_BUFFER, 0);

Petit info au passage, si vous enchainez plusieurs verrouillages sur des objets OpenGL de même type (et j'insiste bien dessus) alors vous n'êtes pas obligés de tous les déverrouiller à chaque fois, ils le seront automatiquement. Seul le dernier déverrouillage est important.

On peut donc enlever le déverrouillage du premier objet dans ce cas :

// Accès au premier VBO

glBindBuffer(GL_ARRAY_BUFFER, premierVBO);

    // Accès à la mémoire vidéo

    glVertexAttribPointer(0, 3, GL_FLOAT, GL_FALSE, 0, BUFFER_OFFSET(0));
    glEnableVertexAttribArray(0);


// Accès au deuxième VBO

glBindBuffer(GL_ARRAY_BUFFER, deuxiemeVBO);

    // Accès à la mémoire vidéo

    glVertexAttribPointer(2, 2, GL_FLOAT, GL_FALSE, 0, BUFFER_OFFSET(m_tailleVerticesBytes));
    glEnableVertexAttribArray(2);


// Déverrouillage du VBO

glBindBuffer(GL_ARRAY_BUFFER, 0);

Création Mise à jour des données

Mise à jour des données

Utilisation Un autre exemple

La méthode updateVBO()

Pourquoi mettre à jour les données ?

Transférer les données dans la carte graphique c'est bien, mais les mettre à jour quand un objet bouge c'est quand même mieux. :p

Notre caisse n'en a pas vraiment besoin car elle ne bouge pas. Mais lorsque nous animerons des personnages, il faudra bien mettre à jour leurs vertices pour voir leurs déplacements.

La modification de données dans la mémoire vidéo se fait un peu comme l'écriture de texte dans un fichier.
Avec les fichiers, on commence par en ouvrir un avec un mode d'accès (lecture, écriture ou les deux), puis on écrit les données, et une fois qu'on a fini on ferme le fichier.

Avec les VBO c'est un peu la même chose, on va commencer par récupérer l'espace mémoire qu'on a allouée, puis on écrira les données à l'intérieur et enfin on fermera l'accès à la zone mémoire.
La seule véritable différence avec les fichiers c'est que les VBO il faut les verrouiller. ;)

Pour concrétiser ce qu'on va voir sur ça, nous allons coder une méthode qui nous permettra de mettre à jour nos données. Celle-ci s’appellera updateVBO() :

void updateVBO(void *donnees, int tailleBytes, int decalage);

Le code

Pour accéder à la mémoire vidéo, nous devons utiliser une fonction qui permet de retourner un pointeur un peu spéciale. Celui-ci forme en quelque sorte une passerelle entre le VBO et la RAM. Grâce à lui, nous pourrons accéder aux données de la mémoire vidéo comme s'il s'agissait de données présentes dans la RAM.

La fonction en question s’appelle glMapBuffer().

void* glMapBuffer(GLenum target, GLenum access);

Contrairement à ce qu'on pourrait penser, la fonction renvoie bien quelque chose. L'utilisation du type void* permet de spécifier un pointeur. Un pointeur qui, ici, forme la passerelle dont nous avons parlée à l'instant.

Le paramètre mode peut prendre 3 valeurs :

Dans la plupart des cas, nous utiliserons la deuxième valeur car on ne fera que transférer des données, pas besoin de lecture dans ce cas. :)

Ainsi, pour mettre à jour les informations contenues dans un VBO on commence par le verrouiller puis on récupère l'adresse de sa zone mémoire :

void Cube::updateVBO(void *donnees, int tailleBytes, int decalage)
{
    // Verrouillage du VBO

    glBindBuffer(GL_ARRAY_BUFFER, m_vboID);


        // Récupération de l'adresse du VBO

        void *adresseVBO = glMapBuffer(GL_ARRAY_BUFFER, GL_WRITE_ONLY);


    // Déverrouillage du VBO

    glBindBuffer(GL_ARRAY_BUFFER, 0);
}

Il peut arriver que la récupération de l'adresse échoue, ce n'est pas très courant mais ça peut arriver.

Si c'est le cas alors la fonction glMapBuffer() renvoie un pointeur NULL, il faut donc vérifier sa valeur avant de continuer. Si elle est nulle, alors on déverrouille le VBO et on annule le transfert. S'il n'y a aucune erreur on peut continuer :

void Cube::updateVBO(void *donnees, int tailleBytes, int decalage)
{
    // Verrouillage du VBO

    glBindBuffer(GL_ARRAY_BUFFER, m_vboID);


        // Récupération de l'adresse du VBO

        void *adresseVBO = glMapBuffer(GL_ARRAY_BUFFER, GL_WRITE_ONLY);


        // Si l'adresse retournée est nulle alors on arrête le transfert

        if(adresseVBO == NULL)
        {
            std::cout << "Erreur au niveau de la récupération du VBO" << std::endl;
            glBindBuffer(GL_ARRAY_BUFFER, 0);

            return; 
        }


    // Déverrouillage du VBO

    glBindBuffer(GL_ARRAY_BUFFER, 0);
}

Une fois notre adresse trouvée et validée nous pouvons commencer le transfert, et comme d'habitude avec les VBO les transferts se font en bytes. Le seul problème ici, c'est qu'on n'a pas de fonction OpenGL pour mettre à jour nos données, il va falloir le faire par nous-même avec comme seul outil l'adresse de destination dans la mémoire vidéo.

Heureusement pour nous, nous n'aurons pas à faire ça à la main. Il existe une fonction C (oui oui C pas C++) qui permet de copier tout un tas de bytes d'un coup. Cette fonction s'appelle memcpy() :

void* memcpy(void *destination, const void *source, size_t num);

Le seul problème avec cette fonction, c'est qu'elle ne prend pas en compte le décalage dans une zone mémoire, elle n'est capable d'écrire qu'à partir du début.

Pour contourner ceci, nous allons reprendre la macro BUFFER_OFFSET() que nous utilisons pour l'affichage :

// Macro utile au VBO

#ifndef BUFFER_OFFSET

    #define BUFFER_OFFSET(offset) ((char*)NULL + (offset))

#endif

Le code qui nous intéresse ici c'est la définition de la macro :

(char*)NULL + (offset)

Ce code permet de spécifier un décalage offset à partir de l'adresse NULL. Ce que nous voulons nous, c'est spécifier un décalage à partir de l'adresse adresseVBO.

Pour ce faire, nous devons simplement remplacer le mot-clef NULL par le pointeur adresseVBO et l'offset par la variable decalage :

(char*)adresseVBO + decalage

Simple n'est-ce pas ? :)

Alors bon, nous n'allons pas recréer une macro pour ça, ce ne serait pas utile et ça alourdirait le header. A la place, nous allons juste donner ce code au paramètre destination de la fonction memcpy(). Quant aux autres, nous leur donnerons en valeur la taille des données à copier et le pointeur source.

L'appel à la fonction ressemblera au final à ceci :

// Mise à jour des données

memcpy((char*)adresseVBO + decalage, donnees, tailleBytes);

Avec ça, nous pouvons mettre à jour n'importe quel VBO.

Il ne manque plus qu'une seule chose à faire. Pour sécuriser le VBO, il faut invalider le pointeur retourné par glMapBuffer(). Si on ne le fait pas il y a un risque d'écraser les données présentes à l'intérieur, on peut se retrouver avec un magnifique bug d'affichage avec ça. :lol:

La fonction permettant d'invalider ce pointeur s'appelle glUnmapBuffer() :

GLboolean glUnmapBuffer(GLenum target);

La fonction renvoie un GLboolean pour savoir si tout s'est bien passé.

On l'appelle juste après les transferts précédents. On en profite au passage pour affecter la valeur 0 au pointeur pour une double sécurisation :

// Annulation du pointeur

glUnmapBuffer(GL_ARRAY_BUFFER);
adresseVBO = 0;

Si on récapitule tout ça, on a un beau code de mise à jour de VBO :

void Cube::updateVBO(void *donnees, int tailleBytes, int decalage)
{
    // Verrouillage du VBO

    glBindBuffer(GL_ARRAY_BUFFER, m_vboID);


        // Récupération de l'adresse du VBO

        void *adresseVBO = glMapBuffer(GL_ARRAY_BUFFER, GL_WRITE_ONLY);


        // Si l'adresse retournée est nulle alors on arrête le transfert

        if(adresseVBO == NULL)
        {
            std::cout << "Erreur au niveau de la récupération du VBO" << std::endl;
            glBindBuffer(GL_ARRAY_BUFFER, 0);

            return; 
        }


        // Mise à jour des données

        memcpy((char*)adresseVBO + decalage, donnees, tailleBytes);


        // Annulation du pointeur

        glUnmapBuffer(GL_ARRAY_BUFFER);
        adresseVBO = 0;


    // Déverrouillage du VBO

    glBindBuffer(GL_ARRAY_BUFFER, 0);
}

L'avantage avec cette méthode, c'est qu'elle n'aura pas besoin d'être réécrite dans les classes filles, elle est universelle. :)

D'ailleurs, comme promis au début du chapitre, nous allons maintenant passer à la gestion du VBO dans la classe fille Caisse.


Utilisation Un autre exemple

Un autre exemple

Mise à jour des données Les Vertex Array Objects

Le header

Comme promis, nous nous occupons maintenant de l'implémentation des VBO dans la classe Caisse. Il n'y aura rien de nouveau à apprendre, nous connaissons déjà tout. :p Le seul point auquel il faudra faire attention est le fait qu'elle hérite déjà des attributs de sa classe mère.

Ainsi, nous ne devrons pas redéclarer une variable GLuint pour le VBO car nous héritons naturellement de celui de la classe Cube. Même chose pour la taille du tableau de vertices en bytes.

En revanche, nous devrons déclarer une variable m_tailleCoordTextureBytes car nous en aurons besoin pour définir la taille de la mémoire à allouer. En effet, nous n'enverrons pas des couleurs mais des coordonnées de texture, il faudra donc utiliser une autre variable. Nous devrons par ailleurs redéfinir la méthode charger() pour les envoyer à la place des couleurs.

Au final, on commence par déclarer, dans le header de la classe Caisse, une variable m_tailleCoordTextureBytes de type int :

#ifndef DEF_CAISSE
#define DEF_CAISSE


// Includes

....


// Classe Caisse

class Caisse : public Cube
{
    public:

    Caisse(float taille, std::string const vertexShader, std::string const fragmentShader, std::string const texture);
    ~Caisse();

    void afficher(glm::mat4 &projection, glm::mat4 &modelview);


    private:

    Texture m_texture;
    float m_coordTexture[72];
    int m_tailleCoordTextureBytes;
};

#endif

Une fois déclarée, nous l'initialisons dans le constructeur en lui donnant la taille du tableau de coordonnées de texture. Celui-ci fait 72 cases donc sa taille bytes fera 72 * sizeof(float) :

Caisse::Caisse(float taille, std::string const vertexShader,std::string const fragmentShader, std::string const texture) : Cube(taille, vertexShader, fragmentShader), 
                                                                                                                           m_texture(texture), 
                                                                                                                           m_tailleCoordTextureBytes(72 * sizeof(float))
{
    // Initialisation

    ....
}

La méthode charger()

La méthode charger() ne va pas beaucoup changer par rapport à son parent. En fait, nous avons juste à modifier les attributs utilisés pour définir la taille du VBO. Son prototype sera aussi le même :

void charger();

Pour son implémentation, nous n'allons pas nous prendre la tête et recopier simplement tout le contenu de la méthode charger() précédente. :p Il faudra évidemment faire des petites modifications ensuite mais au moins, nous aurons déjà le plus gros du code.

En copiant ce contenu, on se retrouve avec la méthode suivante :

void Caisse::charger()
{
    // Destruction d'un éventuel ancien VBO

    if(glIsBuffer(m_vboID) == GL_TRUE)
        glDeleteBuffers(1, &m_vboID);


    // Génération de l'ID

    glGenBuffers(1, &m_vboID);


    // Verrouillage du VBO

    glBindBuffer(GL_ARRAY_BUFFER, m_vboID);


        // Allocation de la mémoire vidéo

        glBufferData(GL_ARRAY_BUFFER, m_tailleVerticesBytes + m_tailleCouleursBytes, 0, GL_STATIC_DRAW);


        // Transfert des données

        glBufferSubData(GL_ARRAY_BUFFER, 0, m_tailleVerticesBytes, m_vertices);
        glBufferSubData(GL_ARRAY_BUFFER, m_tailleVerticesBytes, m_tailleCouleursBytes, m_couleurs);


    // Déverrouillage de l'objet

    glBindBuffer(GL_ARRAY_BUFFER, 0);
}

Ce qu'il faut modifier ici ce sont les appels aux fonctions glBufferData() et glBufferSubData().

Nous savons que la première des deux permet d'allouer une zone mémoire dans la carte graphique pour le VBO. Elle a besoin de connaitre la taille de la mémoire qu'elle doit allouer. Nous devons, ici, lui donner le résultat de l'addition de la taille des vertices et des coordonnées de texture. Nous utiliserons pour cela les attributs :

Les autres paramètres eux ne changent pas :

// Allocation de la mémoire vidéo

glBufferData(GL_ARRAY_BUFFER, m_tailleVerticesBytes + m_tailleCoordTextureBytes, 0, GL_STATIC_DRAW);

La fonction glBufferSubData(), quant à elle, permet de les remplir le VBO avec les données que l'on veut envoyer. Nous l'appelons deux de façon à envoyer les vertices d'une part et les coordonnées de texture de l'autre.

// Transfert des coordonnées de texture

glBufferSubData(GL_ARRAY_BUFFER, m_tailleVerticesBytes, m_tailleCoordTextureBytes, m_coordTexture);

Vu que les coordonnées de texture se trouvent juste après les vertices dans la mémoire, nous devons donc laisser le paramètre offset (le deuxième de la fonction) à la case m_tailleVerticesBytes.

La méthode charger() ressemble au final à ceci :

void Caisse::charger()
{
    // Destruction d'un éventuel ancien VBO

    if(glIsBuffer(m_vboID) == GL_TRUE)
        glDeleteBuffers(1, &m_vboID);


    // Génération de l'ID

    glGenBuffers(1, &m_vboID);


    // Verrouillage du VBO

    glBindBuffer(GL_ARRAY_BUFFER, m_vboID);


        // Allocation de la mémoire vidéo

        glBufferData(GL_ARRAY_BUFFER, m_tailleVerticesBytes + m_tailleCoordTextureBytes, 0, GL_STATIC_DRAW);


        // Transfert des données

        glBufferSubData(GL_ARRAY_BUFFER, 0, m_tailleVerticesBytes, m_vertices);
        glBufferSubData(GL_ARRAY_BUFFER, m_tailleVerticesBytes, m_tailleCoordTextureBytes, m_coordTexture);


    // Déverrouillage de l'objet

    glBindBuffer(GL_ARRAY_BUFFER, 0);
}

N'oubliez pas d'appeler cette méthode lorsque vous souhaitez créer une caisse :

// Objet Caisse

Caisse caisse(2.0, "Shaders/texture.vert", "Shaders/texture.frag", "Textures/Caisse2.jpg");
caisse.charger();

La méthode afficher()

La méthode afficher() est plus simple à modifier que la précédente car il suffit juste de verrouiller le VBO et utiliser la macro BUFFER_OFFSET().

On commence donc par encadrer le code relatif aux tableaux Vertex Attrib par la fonction de verrouillage glBindBuffer() :

void Caisse::afficher(glm::mat4 &projection, glm::mat4 &modelview)
{
    // Activation du shader

    glUseProgram(m_shader.getProgramID());


        // Verrouillage du VBO

        glBindBuffer(GL_ARRAY_BUFFER, m_vboID);


            // Accès aux vertices dans la mémoire vidéo

            glVertexAttribPointer(0, 3, GL_FLOAT, GL_FALSE, 0, m_vertices);
            glEnableVertexAttribArray(0);


            // Envoi des coordonnées de texture

            glVertexAttribPointer(2, 2, GL_FLOAT, GL_FALSE, 0, m_coordTexture);
            glEnableVertexAttribArray(2);


        // Déverrouillage du VBO

        glBindBuffer(GL_ARRAY_BUFFER, 0);


        ....


    // Désactivation du shader

    glUseProgram(0);
}

Ensuite, on modifie le paramètre pointer pour utiliser la macro avec le bon décalage. Pour l'envoi des vertices, on lui donnera la valeur 0 vu qu'ils se trouvent au début de la zone mémoire :

// Accès aux vertices dans la mémoire vidéo

glVertexAttribPointer(0, 3, GL_FLOAT, GL_FALSE, 0, BUFFER_OFFSET(0));
glEnableVertexAttribArray(0);

Les coordonnées de texture, quant à elles, sont situées après les vertices dans la mémoire. On peut représenter cette situation par un schéma :

Image utilisateur

Il faut donc utiliser la case "tailleVerticesBytes" représentée par l'attribut m_tailleVerticesBytes afin d'accéder aux coordonnées de texture. C'est donc cet attribut qu'il faut donner à la macro pour trouver le début des coordonnées de texture :

// Accès aux coordonnées de texture dans la mémoire vidéo

glVertexAttribPointer(2, 2, GL_FLOAT, GL_FALSE, 0, BUFFER_OFFSET(m_tailleVerticesBytes));
glEnableVertexAttribArray(2);

Avec ces modifications, la méthode afficher() devient :

void Caisse::afficher(glm::mat4 &projection, glm::mat4 &modelview)
{
    // Activation du shader

    glUseProgram(m_shader.getProgramID());


        // Verrouillage du VBO

        glBindBuffer(GL_ARRAY_BUFFER, m_vboID);


            // Envoi des vertices

            glVertexAttribPointer(0, 3, GL_FLOAT, GL_FALSE, 0, BUFFER_OFFSET(0));
            glEnableVertexAttribArray(0);


            // Envoi des coordonnées de texture

            glVertexAttribPointer(2, 2, GL_FLOAT, GL_FALSE, 0, BUFFER_OFFSET(m_tailleVerticesBytes));
            glEnableVertexAttribArray(2);


        // Déverrouillage du VBO

        glBindBuffer(GL_ARRAY_BUFFER, 0);


        // Envoi des matrices

        glUniformMatrix4fv(glGetUniformLocation(m_shader.getProgramID(), "projection"), 1, GL_FALSE, value_ptr(projection));
        glUniformMatrix4fv(glGetUniformLocation(m_shader.getProgramID(), "modelview"), 1, GL_FALSE, value_ptr(modelview));


        // Verrouillage de la texture

        glBindTexture(GL_TEXTURE_2D, m_texture.getID());


        // Rendu

        glDrawArrays(GL_TRIANGLES, 0, 36);


        // Déverrouillage de la texture

        glBindTexture(GL_TEXTURE_2D, 0);


        // Désactivation des tableaux

        glDisableVertexAttribArray(2);
        glDisableVertexAttribArray(0);


    // Désactivation du shader

    glUseProgram(0);
}

Vous pouvez compiler pour admirer votre caisse chargée directement depuis votre carte graphique. ;)

Image utilisateur

Télécharger : Code Source C++ des Vertex Buffer Objects

Dans ce chapitre, nous avons vu ce que sont les VBO et la manière dont ils fonctionnent. Ils permettent d'augmenter la vitesse de nos applications en évitant à OpenGL des transferts de données inutiles. Ils sont très utilisés dans toutes les applications un tant soit peu développées, ce qui en font donc des incontournables dans la programmation 3D. ;)

A partir de maintenant, nous utiliserons toujours les VBO dans nos codes sources. Après tout, la deuxième partie du tuto a pour but de nous aider à maitriser notre carte graphique. L'utilisation directe de la mémoire vidéo en est la première étape. ^^


Mise à jour des données Les Vertex Array Objects

Les Vertex Array Objects

Un autre exemple Encore un objet OpenGL ?

Nous avons vu dans le chapitre précédent comment utiliser directement la mémoire de notre carte graphique en y stockant les données de nos modèles 3D. Aujourd'hui, nous allons continuer sur cette lancée en stockant autre chose dans cette mémoire, ce qui permettra de faire gagner encore plus de temps à OpenGL. ^^

Ne pensez pas que l'on maltraite notre carte graphique en la sollicitant ainsi, elle est justement faite pour ça et préfère même gérer ces informations elle-même plutôt que de devoir aller les chercher dans la RAM.

Ce chapitre sera très court car il se rapproche beaucoup du précédent, vous n'allez pas être dépaysés. :p

Encore un objet OpenGL ?

Les Vertex Array Objects Création et Utilisation

Les Vertex Array Object (ou VAO) sont des objets OpenGL relativement proches des Vertex Buffer Object (VBO) et font donc à peu près la même chose : stocker des informations sur la carte graphique.

Avec les VBO, nous facilitons la vie à OpenGL en lui évitant des transferts de données inutiles avec la RAM. Nous lui donnons toutes nos données une seule fois pendant le chargement et nous n'en parlons plus.
Avec les VAO, c'est un peu la même chose sauf que nous allons stocker des appels de fonctions.

Hein ? Ça veut dire qu'on va pouvoir stocker du code source dans la carte graphique ?

Alors oui et non. Nous n'allons pas lui envoyer directement du code, elle ne comprendrait pas et nous enverrait gentiment paitre. :-°

En fait, nous allons "enregistrer" certains appels de fonctions à l'intérieur de la carte graphique de façon à ce qu'OpenGL ne fasse pas des aller-retours répétitifs (à chaque frame donc 60 fois par seconde) avec l'application. Les appels concernés sont ceux qui s'occupent de l'envoi de données (vertices, ...) :

void Cube::afficher(glm::mat4 &projection, glm::mat4 &modelview)
{

    .....


    // Verrouillage du VBO

    glBindBuffer(GL_ARRAY_BUFFER, m_vboID);


        // Accès aux vertices dans la mémoire vidéo

        glVertexAttribPointer(0, 3, GL_FLOAT, GL_FALSE, 0, BUFFER_OFFSET(0));
        glEnableVertexAttribArray(0);


        // Accès aux couleurs dans la mémoire vidéo

        glVertexAttribPointer(1, 3, GL_FLOAT, GL_FALSE, 0, BUFFER_OFFSET(m_tailleVerticesBytes));
        glEnableVertexAttribArray(1);


    // Déverrouillage du VBO

    glBindBuffer(GL_ARRAY_BUFFER, 0);


    .....
}

Malgré l'utilisation l'utilisation des VBO, OpenGL fait toujours quelques aller-retours entre la carte graphique et l'application pour savoir où chercher les données. Certes, il n'y a plus le transfert de millions de données mais il y existe quand même des appels répétitifs qui ne font que spécifier un emplacement dans la mémoire vidéo.

Image utilisateur

Pour éviter ça, OpenGL propose d'utiliser les Vertex Array Objects pour enregistrer un petit bout de code dans la carte graphique, ce qui lui permet d'aller chercher ses données dans la mémoire vidéo sans avoir à demander à l'application où elles se trouvent.

Image utilisateur
Image utilisateur

Grâce aux VAO, OpenGL sait exactement où aller chercher ses données sans avoir à le mander à personne. Tout se passe directement dans la carte graphique.
On ne sait pas vraiment ce qu'il se passe à l'intérieur des VAO et d'ailleurs on s'en moque on veut seulement que ça fonctionne, peu importe comment. :p
Ceux qui connaissent OpenGL 2.1 feront surement l'analogie avec les Display List, on peut dire que les VAO sont leurs petits frères.

Pour vous donner une petite info, l'utilisation combinée des VAO et des VBO nous permettra de passer à OpenGL 3.3. Dans la dernière partie de ce chapitre, nous modifierons notre contexte pour profiter de la dernière version d'OpenGL 3. :D
Les Mac-Users sont eux-aussi concernés car vous pourrez utiliser directement OpenGL 3 sur votre Mac, vous n'aurez plus besoin de passer par un autre OS.


Les Vertex Array Objects Création et Utilisation

Création et Utilisation

Encore un objet OpenGL ? Un autre exemple

Création

Le header

Contrairement aux VBO, les VAO seront très simples à configurer et à utiliser. Nous n'aurons pas besoin d'allouer de mémoire vidéo ni de faire des transferts de données, il suffira juste de faire des opérations que l'on connait déjà.

Nous aurons tout d'abord besoin d'une variable de type GLuint pour représenter notre VAO au sein du code C++. Comme d'habitude, nous travaillerons avec la classe Cube (puis la classe Caisse) pour illustrer ce que nous verrons dans ce chapitre. Nous commençons donc pas déclarer un attribut de type GLuint dans la header, on l'appellera m_vaoID :

#ifndef DEF_CUBE
#define DEF_CUBE


// Includes 

....


// Classe Cube

class Cube
{
    public:

    Cube(float taille, std::string const vertexShader, std::string const fragmentShader);
    ~Cube();

    void charger();
    void afficher(glm::mat4 &projection, glm::mat4 &modelview);


    protected:

    Shader m_shader;
    float m_vertices[108];
    float m_couleurs[108];

    GLuint m_vboID;
    int m_tailleVerticesBytes;
    int m_tailleCouleursBytes;
    GLuint m_vaoID;
};

#endif

Bien entendu, on pense à l'initialiser dans le constructeur :

Cube::Cube(float taille, std::string const vertexShader, std::string const fragmentShader) : m_shader(vertexShader, fragmentShader), m_vboID(0),
                                                                                             m_tailleVerticesBytes(108 * sizeof(float)),
                                                                                             m_tailleCouleursBytes(108 * sizeof(float)), m_vaoID(0)
{
    // Initialisation

    ....
}

Chargement

Dans l'introduction, nous avons vu que les VAO permettent d'enregistrer certains appels de fonction dans la mémoire de la carte graphique. Ces appels concernent surtout l'affichage avec les tabl qui sont concernés Les appels qui sont concernés sont ceux relatifs aux tableaux Vertex Attrib. Ils vont donc disparaitre de la méthode afficher() pour se retrouver dans la configuration des VAO. Nous verrons cela en détail dans un instant car avant, nous devons créer un objet OpenGL valide et le verrouiller pour le configurer.

Cela se fera dans la méthode charger() exactement comme le VBO. Nous placerons notre code après sa configuration.

On commence d'ailleurs avec la création du VAO grâce l'habituelle fonction de génération d'identifiant glGenXXX(). Elle s'appelle ici glGenVertexArrays() :

void glGenVertexArrays(GLsizei number, GLuint *arrays);

Nous devons l'appeler juste après la configuration du VBO avec les paramètres donnés ci-dessus :

void Cube::charger()
{
    // Création du VBO

    ....



    // Génération de l'ID du VAO

    glGenVertexArrays(1, &m_vaoID);
}

Comme toujours avec les objets OpenGL, nous devons les verrouiller lorsque nous voulons les configurer ou les utiliser. Tout ceux que nous vus jusqu'à maintenant (texture, VBO, etc.) nécessitaient cette opération, les VAO n’échappent pas à cette règle. Nous utiliserons pour cela la fonction glBindVertexArray() :

void glBindVertexArray(GLuint array);

Remarquez que cette fonction ne prend pas de paramètre target contrairement aux textures et aux VBO. En temps normal, il y en a toujours un mais dans certains cas il arrive qu'il n'y en ait pas. :)

On verrouille donc notre VAO en appelant la fonction glBindVertexArray(), on lui donnera en paramètre l'attribut m_vaoID. On en profitera au passage pour le déverrouiller immédiatement en utilisant la même fonction mais avec le paramètre 0 :

void Cube::charger()
{
    // Gestion du VBO

    ....


    // Génération de l'identifiant du VAO

    glGenVertexArrays(1, &m_vaoID);


    // Verrouillage du VAO

    glBindVertexArray(m_vaoID);


        // Vide pour le moment

        ....


    // Déverrouillage du VAO

    glBindVertexArray(0);
}

Notre VAO est maintenant prêt à être configuré.

Nous savons que celui-ci devra contenir le code relatif aux tableaux Vertex Attrib, il devra enregistrer tous les appels de fonctions qui y sont associés comme glVertexAttribPointer(), glEnableVertexAttribPointer(), glBindBuffer(), etc.

Pour ce faire, il suffit simplement de couper le code d'envoi de données se trouvant dans la méthode afficher() et de le placer au moment de configurer le VAO (pendant le verrouillage).

Ça veut dire qu'on n'envoie plus les vertices et tout dans la méthode afficher() ?

Oui tout à fait. ^^

Le but est de sauvegarder ces appels dans la carte graphique, on les place donc dans le VAO. Nous devons donc les supprimer de la méthode afficher() pour les placer chez lui. Ne vous inquiétez pas cependant, nous ajouterons un petit bout de code dans cette méthode pour qu'OpenGL sache où chercher les données.

Au niveau de code, on coupe simplement le code suivant :

void Cube::afficher(glm::mat4 &projection, glm::mat4 &modelview)
{

    .....


    // Verrouillage du VBO

    glBindBuffer(GL_ARRAY_BUFFER, m_vboID);


        // Accès aux vertices dans la mémoire vidéo

        glVertexAttribPointer(0, 3, GL_FLOAT, GL_FALSE, 0, BUFFER_OFFSET(0));
        glEnableVertexAttribArray(0);


        // Accès aux couleurs dans la mémoire vidéo

        glVertexAttribPointer(1, 3, GL_FLOAT, GL_FALSE, 0, BUFFER_OFFSET(m_tailleVerticesBytes));
        glEnableVertexAttribArray(1);


    // Déverrouillage du VBO

    glBindBuffer(GL_ARRAY_BUFFER, 0);


    .....
}

Que l'on colle ici (entre les lignes surlignées) :

void Cube::charger()
{
    // Gestion du VBO

    ....


    // Génération de l'identifiant du VAO

    glGenVertexArrays(1, &m_vaoID);


    // Verrouillage du VAO

    glBindVertexArray(m_vaoID);


        // Verrouillage du VBO

        glBindBuffer(GL_ARRAY_BUFFER, m_vboID);


            // Accès aux vertices dans la mémoire vidéo

            glVertexAttribPointer(0, 3, GL_FLOAT, GL_FALSE, 0, BUFFER_OFFSET(0));
            glEnableVertexAttribArray(0);


            // Accès aux couleurs dans la mémoire vidéo

            glVertexAttribPointer(1, 3, GL_FLOAT, GL_FALSE, 0, BUFFER_OFFSET(m_tailleVerticesBytes));
            glEnableVertexAttribArray(1);
 

        // Déverrouillage du VBO

        glBindBuffer(GL_ARRAY_BUFFER, 0);


    // Déverrouillage du VAO

    glBindVertexArray(0);
}

De cette façon, le processus d'envoi de données est enregistré sur la carte graphique et OpenGL n'a pas besoin d'interroger l'application C++ pour savoir ce qu'il doit faire.

Petit détail, je vous conseille d'indenter le code qui se trouve dans le VAO tout comme les shaders et les VBO. :)

Éviter les fuites de mémoire

Vous vous souvenez de ce que nous avons vu dans le chapitre précédent sur les fuites de mémoire des VBO ? Que si on en chargeait un deux fois alors le premier chargement était perdu et les ressources considérées comme étant "toujours utilisées".

Le problème est le même ici, si on charge un VAO plusieurs fois alors on gâche de la mémoire. Pour éviter cela, nous allons utiliser la même astuce que celle que nous avons utilisée pour les textures et les VBO, à savoir : appeler une fonction du type glIsXXX() pour savoir si une initialisation a déjà eu lieu, puis en appeler une autre du type glDeleteXXX() si c'est le cas.

La première de ces fonctions s'appelle dans notre cas :

GLboolean glIsVertexArray(GLuint array);

Elle prend en paramètre l'identifiant à vérifier et renvoie comme d'habitude GL_TRUE ou GL_FALSE pour confirmer ou non une précédente initialisation.

La fonction de destruction de VAO quant à elle s'appelle glDeleteVertexArrays() :

void glDeleteVertexArrays(GLsizei n​umber, const GLuint *arrays​);

Nous devons les appeler dans un bloc if juste avant la génération d'ID :

void Cube::afficher(glm::mat4 &projection, glm::mat4 &modelview)
{
    // Gestion du VBO

    ....


    // Destruction d'un éventuel ancien VAO

    if(glIsVertexArray(m_vaoID) == GL_TRUE)
        glDeleteVertexArrays(1, &m_vaoID);


    // Génération de l'identifiant du VAO

    glGenVertexArrays(1, &m_vaoID);


    // Verrouillage du VAO

    glBindVertexArray(m_vaoID);


        // Verrouillage du VBO

        glBindBuffer(GL_ARRAY_BUFFER, m_vboID);


            // Accès aux vertices dans la mémoire vidéo

            glVertexAttribPointer(0, 3, GL_FLOAT, GL_FALSE, 0, BUFFER_OFFSET(0));
            glEnableVertexAttribArray(0);


            // Accès aux couleurs dans la mémoire vidéo

            glVertexAttribPointer(1, 3, GL_FLOAT, GL_FALSE, 0, BUFFER_OFFSET(m_tailleVerticesBytes));
            glEnableVertexAttribArray(1);
 

        // Déverrouillage du VBO

        glBindBuffer(GL_ARRAY_BUFFER, 0);


    // Déverrouillage du VAO

    glBindVertexArray(0);
}

De cette façon, on évite tout éventuel chargement perdu dans la mémoire.

Le destructeur

Tout comme le VBO, nous devons détruire le VAO dans le destructeur (qui lui-même est appelé au moment de détruire un objet). Nous utiliserons une fois de plus la fonction glDeleteVertexArrays(), je pense que vous n'avez pas besoin de plus d'explication. :p

Cube::~Cube()
{
    // Destruction du VBO

    glDeleteBuffers(1, &m_vboID);


    // Destruction du VAO

    glDeleteVertexArrays(1, &m_vaoID);
}

Utilisation

L'utilisation des VAO est encore plus simple que leur création puisqu'il suffit juste de les verrouiller exactement comme si on utilisait une texture. C'est-à-dire que nous devons le verrouiller avant et le déverrouiller après la fonction glDrawArrays(). Bien évidemment, il faut supprimer toute référence aux tableaux Vertex Attrib maintenant qu'ils sont utilisés autre part :

void Cube::afficher(glm::mat4 &projection, glm::mat4 &modelview)
{
    // Activation du shader

    glUseProgram(m_shader.getProgramID());


        // Verrouillage du VAO

        glBindVertexArray(m_vaoID);


            // Envoi des matrices

            glUniformMatrix4fv(glGetUniformLocation(m_shader.getProgramID(), "projection"), 1, GL_FALSE, value_ptr(projection));
            glUniformMatrix4fv(glGetUniformLocation(m_shader.getProgramID(), "modelview"), 1, GL_FALSE, value_ptr(modelview));


            // Rendu

            glDrawArrays(GL_TRIANGLES, 0, 36);


        // Déverrouillage du VAO

        glBindVertexArray(0);


    // Désactivation du shader

    glUseProgram(0);
}

Grâce à ce verrouillage, OpenGL saura automatiquement où se trouveront les données dont il a besoin.

Petit détail : vous n'êtes pas obligés d'insérer l'envoi des matrices pendant le verrouillage du VAO, ça fonctionnera très bien si vous le faites avant. Personnellement, j'aime bien tout mettre à l'intérieur (textures comprises). :)

Au fait, on ne déverrouille pas les tableaux Vertex Attrib ? On les a activés pendant la configuration du VAO mais on ne les désactive à aucun moment.

C'est une question que je me suis aussi posée la première fois. Apparemment, les appels aux fonctions glDisableVertexAttribPointer() sont inutiles avec les VAO, ils se désactivent en même temps que le déverrouillage du VAO. Pas besoin de se triturer la tête avec ça.


Encore un objet OpenGL ? Un autre exemple

Un autre exemple

Création et Utilisation OpenGL 3.3 et Mac OS X

Le header

Nous avons vu, dans la partie précédentes, comment implémenter un VAO dans la classe Cube, nous allons maintenant faire la même chose dans sa classe fille (Caisse). Ça va nous donner l'occasion de voir un autre exemple pour mieux intégrer les notions que nous avons abordées.

Avant de commencer, nous savons maintenant que nous avons besoin d'une variable de type GLuint pour gérer le VAO. Cependant, vu que la classe Caisse hérite de celui de la classe Cube alors il est inutile d'en utiliser une nouvelle. De plus, contrairement aux VBO, nous n'avons pas besoin d'attribut supplémentaire pour définir la taille des tableaux de données.

Il n'y a donc aucune modification à faire dans le header. :)

La méthode charger()

Au niveau de la méthode charger(), on commence par générer un nouvel ID pour le VAO grâce à la fonction glGenVertexArrays(). On le verrouille ensuite à l'aide de glBindVertexarray() :

void Caisse::charger()
{
    // Gestion du VBO

    ....


    // Destruction d'un éventuel ancien VAO

    if(glIsVertexArray(m_vaoID) == GL_TRUE)
        glDeleteVertexArrays(1, &m_vaoID);


    // Verrouillage du VAO

    glBindVertexArray(m_vaoID);


        // Vide pour le moment

        ....


    // Déverrouillage du VAO

    glBindVertexArray(0);
}

Il ne faut pas oublier de rajouter les fonctions qui permettent d'éviter les fuites de mémoire en détruisant un éventuel ancien VAO :

void Caisse::charger()
{
    // Gestion du VBO

    ....


    // Destruction d'un éventuel ancien VAO

    if(glIsVertexArray(m_vaoID) == GL_TRUE)
        glDeleteVertexArrays(1, &m_vaoID);


    // Génération de l'ID du VAO

    glGenVertexArrays(1, &m_vaoID);


    // Verrouillage du VAO

    glBindVertexArray(m_vaoID);


        // Vide pour le moment

        ....


    // Déverrouillage du VAO

    glBindVertexArray(0);
}

Comme nous l'avons vu depuis le début du chapitre, le VAO doit contenir le code relatif aux tableaux Vertex Attrib. On coupe donc le code concerné dans la méthode afficher() pour le transférer ici. Ce qui donne la méthode charger() suivante :

void Caisse::charger()
{
    // Gestion du VBO

    ....


    // Destruction d'un éventuel ancien VAO

    if(glIsVertexArray(m_vaoID) == GL_TRUE)
        glDeleteVertexArrays(1, &m_vaoID);


    // Génération de l'ID du VAO

    glGenVertexArrays(1, &m_vaoID);


    // Verrouillage du VAO

    glBindVertexArray(m_vaoID);


        // Verrouillage du VBO

        glBindBuffer(GL_ARRAY_BUFFER, m_vboID);


            // Accès aux vertices dans la mémoire vidéo

            glVertexAttribPointer(0, 3, GL_FLOAT, GL_FALSE, 0, BUFFER_OFFSET(0));
            glEnableVertexAttribArray(0);


            // Accès aux coordonnées de texture dans la mémoire vidéo

            glVertexAttribPointer(2, 2, GL_FLOAT, GL_FALSE, 0, BUFFER_OFFSET(m_tailleVerticesBytes));
            glEnableVertexAttribArray(2);


        // Déverrouillage du VBO

        glBindBuffer(GL_ARRAY_BUFFER, 0);


    // Déverrouillage du VAO

    glBindVertexArray(0);
}

Configuration terminée. ;)

La méthode afficher()

Pour afficher notre caisse au final, il suffit simplement de remplacer ce que l'on a supprimé dans la méthode afficher() par le verrouillage du VAO. La seule différence avec la classe Cube c'est qu'ici on utilise ici une texture :

// Verrouillage du VAO

glBindVertexArray(m_vaoID);


    // Envoi des matrices

    glUniformMatrix4fv(glGetUniformLocation(m_shader.getProgramID(), "projection"), 1, GL_FALSE, value_ptr(projection));
    glUniformMatrix4fv(glGetUniformLocation(m_shader.getProgramID(), "modelview"), 1, GL_FALSE, value_ptr(modelview));


    // Verrouillage de la texture

    glBindTexture(GL_TEXTURE_2D, m_texture.getID());


    // Rendu

    glDrawArrays(GL_TRIANGLES, 0, 36);


    // Déverrouillage de la texture

    glBindTexture(GL_TEXTURE_2D, 0);


// Déverrouillage du VAO

glBindVertexArray(0);

Le code final de la méthode afficher() est maintenant :

void Caisse::afficher(glm::mat4 &projection, glm::mat4 &modelview)
{
    // Activation du shader

    glUseProgram(m_shader.getProgramID());


        // Verrouillage du VAO

        glBindVertexArray(m_vaoID);


            // Envoi des matrices

            glUniformMatrix4fv(glGetUniformLocation(m_shader.getProgramID(), "projection"), 1, GL_FALSE, value_ptr(projection));
            glUniformMatrix4fv(glGetUniformLocation(m_shader.getProgramID(), "modelview"), 1, GL_FALSE, value_ptr(modelview));


            // Verrouillage de la texture

            glBindTexture(GL_TEXTURE_2D, m_texture.getID());


            // Rendu

            glDrawArrays(GL_TRIANGLES, 0, 36);


            // Déverrouillage de la texture

            glBindTexture(GL_TEXTURE_2D, 0);


        // Déverrouillage du VAO

        glBindVertexArray(0);


    // Désactivation du shader

    glUseProgram(0);
}

Vous pouvez maintenant compiler votre projet.

Image utilisateur

Ce chapitre est maintenant terminé. :-°

Enfin juste en théorie, car nous allons voir maintenant comment passer à la version 3.3 d'OpenGL. Comme je vous l'ai dit tout à l'heure, l'utilisation combinée des VBO et des VAO nous permettent de profiter pleinement d'OpenGL 3. Les mac-users sont également concernés car vous pourrez maintenant coder vos applications directement sur votre Mac.


Création et Utilisation OpenGL 3.3 et Mac OS X

OpenGL 3.3 et Mac OS X

Un autre exemple La compilation de shaders

Passer à OpenGL 3.3

Mine de rien, nous avons fait pas mal de chemin depuis le début de ce tutoriel. Nous avons vu les principes de base d'OpenGL et nous venons de voir deux fonctionnalités avancées (ou plutôt extensions) exploitant directement notre carte graphique. Et croyez-moi ce n'est pas fini. ^^

Grâce aux deux derniers chapitres, nous connaissons tout ce qui est nécessaire pour mettre à jour notre version d'OpenGL. Vous n'êtes pas sans savoir que depuis le début du tutoriel, nous utilisons la version 3.1. Cependant, je vous avais dit que nous passerions à OpenGL 3.3 dans le futur, et c'est justement ce que nous allons faire.

J'ai préféré utiliser la 3.1 jusqu'à maintenant car avec cette version, nous n'étions pas obligé d'utiliser les VBO et les VAO pour chaque rendu. Imaginez si je vous avais montré ça dès le début, vous auriez fuis en courant. :p
Mais maintenant que nous connaissons tout ça, nous pouvons enfin passer à la 3.3.

Pour faire cela, la SDL va beaucoup nous aider puisqu'elle fera tout pour nous. Il suffira de lui demander la version qui nous intéresse. Vous vous souvenez du moment où nous initialisions la SDL avec des paramètres OpenGL ? Nous utilisions le code suivant dans la méthode initialiserFenetre() :

bool SceneOpenGL::initialiserFenetre()
{
    // Initialisation de la SDL
	
    if(SDL_Init(SDL_INIT_VIDEO) < 0)
    {
        std::cout << "Erreur lors de l'initialisation de la SDL : " << SDL_GetError() << std::endl;
        SDL_Quit();
		
        return false;
    }
	
	
    // Version d'OpenGL
	
    SDL_GL_SetAttribute(SDL_GL_CONTEXT_MAJOR_VERSION, 3);
    SDL_GL_SetAttribute(SDL_GL_CONTEXT_MINOR_VERSION, 1);
	
	
    // Double Buffer
	
    SDL_GL_SetAttribute(SDL_GL_DOUBLEBUFFER, 1);
    SDL_GL_SetAttribute(SDL_GL_DEPTH_SIZE, 24);
	
	
    // Création de la fenêtre
	
    m_fenetre = SDL_CreateWindow(m_titreFenetre.c_str(), SDL_WINDOWPOS_CENTERED, SDL_WINDOWPOS_CENTERED, m_largeurFenetre, m_hauteurFenetre, SDL_WINDOW_SHOWN | SDL_WINDOW_OPENGL);
    m_contexteOpenGL = SDL_GL_CreateContext(m_fenetre);

    return true;
}

Les lignes intéressantes dans ce code sont celles-ci :

// Version d'OpenGL
	
SDL_GL_SetAttribute(SDL_GL_CONTEXT_MAJOR_VERSION, 3);
SDL_GL_SetAttribute(SDL_GL_CONTEXT_MINOR_VERSION, 1);

Elles permettent de demander à la SDL la version 3.1 d'OpenGL. ;)

Pour passer à la 3.3, il suffit de changer la valeur du paramètre SDL_GL_CONTEXT_MINOR_VERSION pour lui affecter la valeur 3 :

// Version d'OpenGL
	
SDL_GL_SetAttribute(SDL_GL_CONTEXT_MAJOR_VERSION, 3);
SDL_GL_SetAttribute(SDL_GL_CONTEXT_MINOR_VERSION, 3);

Mais ce n'est pas tout. En effet, à partir d'OpenGL 3.2 nous pouvons demander deux profils OpenGL : le profil de compatibilité (aussi appelé Legacy ou Compatibility) et le profil Core.

La premier permet de conserver une compatibilité avec OpenGL 2.1. Il a été créé à l'origine pour ceux qui utilisent de gros moteurs 3D pour qu'ils n'aient pas à tout recoder.

Le second, lui, purge toutes les fonctionnalités inutiles pour ne garder que celles qui sont intéressantes. Il bénéficie en plus de pas mal de nouveautés spécifiques à OpenGL 3 dont un nouveau pipeline plus souple et plus performant. Nous travaillerons toujours avec ce profil.

Pour le dire à la SDL, il suffit juste d'appeler la fonction SDL_GL_SetAttribut() avec en premier paramètre la valeur SDL_GL_CONTEXT_PROFILE_MASK. Le second quant à lui pourra prendre deux valeurs :

Vous l'aurez compris, nous utiliserons la seconde valeur. ^^

Au final, l'appel à la fonction SDL_GL_SetAttribute() ressemble à ceci :

// Utilisation du profil Core

SDL_GL_SetAttribute(SDL_GL_CONTEXT_PROFILE_MASK, SDL_GL_CONTEXT_PROFILE_CORE);

Ce qui donne en somme les paramètres suivants :

// Version d'OpenGL
	
SDL_GL_SetAttribute(SDL_GL_CONTEXT_MAJOR_VERSION, 3);
SDL_GL_SetAttribute(SDL_GL_CONTEXT_MINOR_VERSION, 3);
SDL_GL_SetAttribute(SDL_GL_CONTEXT_PROFILE_MASK, SDL_GL_CONTEXT_PROFILE_CORE);

Maintenant, nous sommes totalement à jour avec OpenGL 3. :D

OpenGL 3 sous Mac OS X

Si vous n'êtes pas utilisateurs de Mac OS X, vous n'êtes pas obligés de lire cette partie mais je vous conseille quand même de le faire (au moins à partir du titre "Version d'OpenGL") car si vous voulez créer des jeux multiplateformes, il vous suffira juste d'inclure quelques lignes de code pour les rendre compatibles avec l'OS d'Apple.

Si vous êtes utilisateurs de Mac OS X vous avez dû vous sentir frustrés depuis le début du tutoriel vu qu'il était impossible d'utiliser OpenGL 3. :(

Le problème vient du fait qu'Apple n'utilise que deux versions pour OpenGL : la 2.1 et la 3.2, donc pas de 3.1. De plus, pour profiter de la dernière version vous devez au moins être sous OS X Lion (10.7) vu qu'Apple ne soutient plus ses anciens OS.

Mais bon, si vous êtes au moins sous Lion et que vous avez suivi le tutoriel jusqu'ici, vous êtes donc capables d'utiliser OpenGL 3 directement sur votre Mac. Vous n'aurez pas la dernière version mais ce n'est pas grave, la plus importante étant la 3.2. ;)

Je vais vous expliquer comment faire en utilisant Xcode qui est un IDE beaucoup plus adapté pour vous. Pour commencer, je vais vous demander de télécharger les deux DMG suivants qui contiennent respectivement les Frameworks de SDL2 et de SDL2_image ainsi que la librairie GLM :

Copiez les Frameworks se trouvant dans ces deux DMG dans le répertoire /Library/Frameworks/ (ou /Bibliothèque/Frameworks/).

Copiez le dossier glm (en minuscules) se trouvant dans l'archive OpenG Mathematics.zip dans le répertoire /usr/local/include. Si vous ne voyez pas ce dossier, regardez dans le menu du Finder et cliquez sur "Aller" puis sur "Aller au dossier" et renseignez le chemin que je vous ai donné.

Créer un projet SDL2 sous Mac OS X

Le projet

La création de projet SDL2 avec Xcode est quelque chose d'assez folklo vu les changements fréquents de cet IDE. En effet, en temps normal vous devriez utiliser un template spécial qui crée votre projet SDL2 automatiquement. Cependant, Apple change tellement le modèle de ses templates qu'il est devenu ingérable de fournir les fichiers nécessaires pour tout le monde.

A la place, nous allons utiliser une petite astuce qui, au moins, fonctionnera pour tout le monde. :)

Pour commencer, vous devez créer un projet "Cocoa Application" :

Image utilisateur

Une fois le projet créé, vous devez supprimer les fichiers suivants :

Image utilisateur

Ensuite, ajoutez toutes les sources à votre projet (dossiers Shaders et Textures inclus). Au moment de cet ajout, faites attention à bien spécifier les options suivantes :

Image utilisateur

Une fois les fichiers ajoutés, vous devriez avoir :

Image utilisateur

Une fois que vous avez importé les sources, vous devez importer les Frameworks qui vous permettront de compiler vos applications :

Là par contre, il faut décocher la case "Copy items into destination group's folder" (Laissez le paramètre Folders au deuxième choix). Ceci est valable uniquement pour les Frameworks, pour le reste il faut qu'elle soit cochée.

Image utilisateur
Image utilisateur

Enfin dernier point pour l'importation, vérifiez la présence des dossiers Textures et Shaders dans la liste "Copy Bundle Resources" dans l'onglet Build Phases :

Image utilisateur

S'ils n'y sont pas, faites un glisser-coller depuis le menu de navigation à gauche.

La librairie GLM

Pour vous permettre d'utiliser la librairie GLM dans vos projets, il va falloir ajouter un paramètre dans le fichier de votre projet.

Commencez par cliquer sur le nom de votre projet sous le menu Targets :

Image utilisateur

Puis cliquez sur le menu "Build Settings" et sur le bouton "Basic" :

Image utilisateur

Repérez ensuite la ligne contenant le paramètre "Header Search Paths" et renseignez le chemin où vous avez copié le dossier glm tout à l'heure (/usr/local/include) :

Image utilisateur

Version d'OpenGL

N'oubliez pas que votre version d'OpenGL est la 3.2, vous devez ajouter un bloc de type #ifdef dans votre code pour gérer le cas des Mac. Si la define __APPLE__ est définie, alors l'application doit passer en mode OpenGL 3.2, sinon elle reste en 3.3 :

#ifdef __APPLE__

    // Version d'OpenGL
	
    SDL_GL_SetAttribute(SDL_GL_CONTEXT_MAJOR_VERSION, 3);
    SDL_GL_SetAttribute(SDL_GL_CONTEXT_MINOR_VERSION, 2);
    SDL_GL_SetAttribute(SDL_GL_CONTEXT_PROFILE_MASK, SDL_GL_CONTEXT_PROFILE_CORE);

#else

    // Version d'OpenGL
	
    SDL_GL_SetAttribute(SDL_GL_CONTEXT_MAJOR_VERSION, 3);
    SDL_GL_SetAttribute(SDL_GL_CONTEXT_MINOR_VERSION, 3);
    SDL_GL_SetAttribute(SDL_GL_CONTEXT_PROFILE_MASK, SDL_GL_CONTEXT_PROFILE_CORE);

#endif

Les ressources

A ce stade vous devriez être capables de compiler votre application. Cependant, vous aurez encore un problème pour trouver les ressources. En effet, Mac OS X ne se place pas dans le bon dossier lorsque vous lancez une application, ce qui fait qu'il est impossible pour lui de trouver les ressources que nous lui demandons.

Pour corriger ce problème, nous allons ajouter un petit bout de code spécifique à Mac OS X dans le même bloc #ifdef que précédemment.

Ce code est un peu spécial parce qu'il s'agit à l'origine d'un code Objective-C qui a été transposé en C. L'objective-C est le langage de base utilisé par les appareils Apple. Je ne vous expliquerai pas ce code car il faudrait faire un cours sur le Cocoa mais sachez simplement qu'il permet à Mac OS X de se placer dans le bon dossier des ressources.

Mais avant de copier ce code, vous devez inclure l'en-tête CoreFoundation.h toujours dans un bloc #ifdef à l'intérieur de la classe SceneOpenGL :

#ifdef __APPLE__
    #include <CoreFoundation/CoreFoundation.h>
#endif

Maintenant, copiez le code suivant ...

// Récupération du Bundle

CFURLRef URLBundle = CFBundleCopyResourcesDirectoryURL(CFBundleGetMainBundle());
char *cheminResources = new char[PATH_MAX];


// Changement du 'Working Directory'

if(CFURLGetFileSystemRepresentation(URLBundle, 1, (UInt8*)cheminResources, PATH_MAX))
    chdir(cheminResources);


// Libération de la mémoire

delete[] cheminResources;
CFRelease(URLBundle);

... juste après la spécification de la version d'OpenGL :

#ifdef __APPLE__

    // Version d'OpenGL
	
    SDL_GL_SetAttribute(SDL_GL_CONTEXT_MAJOR_VERSION, 3);
    SDL_GL_SetAttribute(SDL_GL_CONTEXT_MINOR_VERSION, 2);
    SDL_GL_SetAttribute(SDL_GL_CONTEXT_PROFILE_MASK, SDL_GL_CONTEXT_PROFILE_CORE);


    // Récupération du Bundle

    CFURLRef URLBundle = CFBundleCopyResourcesDirectoryURL(CFBundleGetMainBundle());
    char *cheminResources = new char[PATH_MAX];


    // Changement du 'Working Directory'

    if(CFURLGetFileSystemRepresentation(URLBundle, 1, (UInt8*)cheminResources, PATH_MAX))
        chdir(cheminResources);


    // Libération de la mémoire

    delete[] cheminResources;
    CFRelease(URLBundle);

#else

    // Version d'OpenGL
	
    SDL_GL_SetAttribute(SDL_GL_CONTEXT_MAJOR_VERSION, 3);
    SDL_GL_SetAttribute(SDL_GL_CONTEXT_MINOR_VERSION, 3);
    SDL_GL_SetAttribute(SDL_GL_CONTEXT_PROFILE_MASK, SDL_GL_CONTEXT_PROFILE_CORE);

#endif

Grâce à ce bout de code, vous n'aurez plus de problème pour trouver vos ressources. :D

Les headers

Pour terminer, faites attention aux en-têtes de la SDL et d'OpenGL qui diffèrent des autres OS :

// Include d'OpenGL

#include <OpenGL/gl3.h>


// Include de la SDL

#include <SDL2/SDL.h>


// Include de la SDL_image

#include <SDL2_image/SDL_image.h>

Ainsi, l'inclusion d'OpenGL ressemblera maintenant à ceci :

// Include Windows

#ifdef WIN32
#include <GL/glew.h>


// Include Mac

#elif __APPLE__
#define GL3_PROTOTYPES 1
#include <OpenGL/gl3.h>


// Include UNIX/Linux

#else
#define GL3_PROTOTYPES 1
#include <GL3/gl3.h>

#endif

Celui de la classe SceneOpenGL va légèrement changer par rapport aux autres puisqu'il faudra inclure l'en-tête CoreFoundation.h en plus :

// Include Windows

#ifdef WIN32
#include <GL/glew.h>


// Include Mac

#elif __APPLE__
#define GL3_PROTOTYPES 1
#include <OpenGL/gl3.h>
#include <CoreFoundation/CoreFoundation.h>


// Include UNIX/Linux

#else
#define GL3_PROTOTYPES 1
#include <GL3/gl3.h>

#endif

Et enfin, celui de la classe Texture sera :

// Include Windows

#ifdef WIN32
#include <GL/glew.h>
#include <SDL2/SDL_image.h>


// Include Mac

#elif __APPLE__
#define GL3_PROTOTYPES 1
#include <OpenGL/gl3.h>
#include <SDL2_image/SDL_image.h>


// Include UNIX/Linux

#else
#define GL3_PROTOTYPES 1
#include <GL3/gl3.h>
#include <SDL2/SDL_image.h>

#endif

Voilà pour les explications. ^^

Ce qu'il faut retenir

Si on résume la création de projet SDL 2 sous Mac OS X :

Vous êtes maintenant capables de coder avec OpenGL 3.2 sur votre Mac. ;)

Image utilisateur

Télécharger (Windows, UNIX/Linux et Mac) : Code Source C++ des Vertex Array Objects

Nous avons vu ce que sont les VAO et comment ils fonctionnement. Ils sont très proches des VBO et s'utilisent même conjointement avec eux.

Grâce à ces deux notions, OpenGL possède tout ce qu'il faut à portée de main vu que tout se trouve dans la carte graphique. Les seules choses qu'il a besoin d'aller chercher dans la RAM, ce sont les textures. Cependant nous pouvons régler ce problème en utilisant les Texture Buffer Objects (TBO) qui permettent de stocker des textures directement dans la carte graphique. Mais bon, nous ne verrons pas ça pour le moment vous allez me faire une overdose sinon. :p

Si je peux vous donner une bonne nouvelle c'est que vous avez acquis assez d'expérience avec OpenGL pour pouvoir apprendre les shaders. Nous commencerons à les attaquer en profondeur dès le prochain chapitre. Vous serez alors capables de créer votre propre classe Shader. ^^


Un autre exemple La compilation de shaders

La compilation de shaders

OpenGL 3.3 et Mac OS X Piqûre de rappel

Re-bonjour à tous !

Aujourd'hui, nous allons attaquer un gros morceau de la programmation OpenGL, je vous conseille de préparer le café, le chocolat, les biscuits, etc. :p

Les shaders sont quelque chose d'assez monstrueux, nous allons les étudier à travers 4 chapitres (et encore sans parler des effets que l'on pourra faire avec) dont le premier est consacré à une classe que l'on utilise presque depuis le début du tutoriel sans jamais avoir vu son fonctionnement. ;)

Piqûre de rappel

La compilation de shaders Compilation des sources

Introduction

Depuis quasiment le début du tutoriel, nous utilisons une classe dans tous nos programmes sans même que nous sachions ce qu'il y a à l'intérieur. Je parle évidemment de la classe Shader.

En effet, que ce soit des couleurs ou des textures nous utilisons toujours cette classe pour afficher quelque chose à l'écran :

// Shader pour la colorisation

Shader shaderCouleur("Shaders/couleurs.vert", "Shaders/couleurs.frag");
shaderCouleur.charger();



.....



// Shader pour les textures

Shader shaderTexture("Shaders/texture.vert", "Shaders/texture.frag");
shaderTexture.charger();

La question que vous vous êtes déjà probablement posée est : que fait cette mystérieuse classe ?
Je vous rassure elle ne fait rien de compliqué. En fait, elle ne fait qu'une seule chose : compiler les fichiers sources qu'on lui envoie.

L'objectif de ce chapitre va être la reprogrammation complète de cette classe de façon à ce que vous appreniez comment créer et utiliser un shader. A la fin, vous serez en mesure de comprendre totalement votre code source, il n'y aura plus de code mystère. ;) Mais avant cela, nous allons faire un petit rappel sur ce que nous savons déjà sur le shaders.

Rappel

Vertex et Fragment Shader

Comme nous l'avons vu dans le chapitre 4, nous savons que les shaders sont des programmes qui sont exécutés non pas par le CPU mais par la carte graphique. Il en existe deux types :

Ces deux types de shader sont utilisés à deux moments différents du pipeline 3D :

Image utilisateur

Pour rappel :

Au final, nous voyons que les shaders sont exécutés à deux moments : une fois pour transformer les vertices et une autre pour définir leur couleur.

Geometry Shader

En réalité, les shaders devraient être exécutés 3 fois car il existe un troisième type qui s'appelle le Geometry Shader qui vient se placer juste entre les deux premiers. Celui-ci permet de modifier les primitives (triangles, ...) formées par les vertices. Cependant, nous ne l'utiliserons pas d'une part parce qu'il est optionnel et d'autre part car il est quasiment inutile pour nous. :p

Soit dit en passant, ce nouveau type a été introduit avec la version 3.2 d'OpenGL.

Utilité

Les shaders ne se limitent pas au positionnement de vertices ou à la colorisation de pixels, ils permettent aussi de créer une multitude d'effets réalistes comme l'eau, la lumière, le feu, ... (ce que vous n'avez surement pas oublié je pense :p ). D'ailleurs, c'est certainement leur première utilité dans le monde du jeu-vidéo. Nous consacrerons une partie entière de ce tutoriel à l'élaboration de ces effets.

Depuis la version 3.1 d'OpenGL, l'utilisation des shaders est devenue obligatoire car les développeurs de l'API ont introduit une nouvelle philosophie : celle du 'tout shader'. Dans les précédentes versions, OpenGL gérait lui-même tout le pipeline 3D sans rien demander à personne mises à part les données de base comme les vertices. Seulement, cette gestion est devenue trop lourde aujourd'hui, les développeurs de l'API préfèrent nous laisser gérer le maximum de tâches de façon à ce que nous les optimisions mieux en fonction de ce que nous voulons faire.

Cette philosophie complique grandement l'apprentissage d'OpenGL, c'est pour ça que nous n'avons pas vu les shaders tout de suite, sinon le tuto aurait été beaucoup plus complexe à suivre. Vous m'auriez surement fait une overdose avant même d'avoir atteint le chapitre sur les matrices. :lol:

La classe Shader

Enfin, maintenant que vous avez acquis assez d'expérience avec la programmation OpenGL, nous allons pouvoir voir en détails le fonctionnement des shaders. Nous commencerons en premier par étudier la fameuse classe Shader. Et comme je vous l'ai dit précédemment, elle ne fait rien de magique, elle ne fait que compiler du code source.

Car oui, comme tout programme qui se respecte, les shaders possèdent bel et bien un code source. La seule différence avec les programmes classiques c'est qu'il est compilé juste avant d'être utilisé et pas avant, il n'y a donc pas d'application de type .exe à donner à votre carte graphique. D'ailleurs en parlant de ça, ces codes sources sont écrits avec un langage proche du C++ (ou plutôt du C) qui s'appelle l'OpenGL Shading Language (ou GLSL). Nous l'étudierons dans le prochain chapitre, nous devons savoir avant comment le compiler. ;)


La compilation de shaders Compilation des sources

Compilation des sources

Piqûre de rappel Création du programme

La classe Shader

Bien, après cette brève introduction j'espère vous avoir mis un peu l'eau à la bouche. :p

Il est temps de passer à la reprogrammation complète de la classe Shader, je vais vous demander de supprimer les fichiers Shader.h et Shader.cpp que vous utilisez actuellement et d'en recréer deux nouveaux (avec le même nom bien sûr). Si vous essayez de compiler votre code après ça, vous devriez avoir une belle petite erreur de compilation. ^^

Bref, on commence cette reprogrammation par le header en incluant tous les en-têtes nécessaires : ceux d'OpenGL, d'iostream et de string. Nous n'aurons pas besoin de ceux de la SDL car ils n'ont aucun rapport avec les shaders :

#ifndef DEF_SHADER
#define DEF_SHADER


// Include Windows

#ifdef WIN32
#include <GL/glew.h>


// Include Mac

#elif __APPLE__
#define GL3_PROTOTYPES 1
#include <OpenGL/gl3.h>


// Include UNIX/Linux

#else
#define GL3_PROTOTYPES 1
#include <GL3/gl3.h>

#endif


// Includes communs

#include <iostream>
#include <string>

#endif

Après les inclusions, on passe à la classe en elle-même. Elle possèdera 3 attributs majeurs : des variables de type GLuint représentant le Vertex Shader, le Fragment Shader et un programme. Nous ajouterons également le constructeur par défaut ainsi que le destructeur :

// Classe Shader

class Shader
{
    public:

    Shader();
    ~Shader();


    private:

    GLuint m_vertexID;
    GLuint m_fragmentID;
    GLuint m_programID;
};

Ah programID ? C'est le truc qu'on utilise dans la fonction glUseProgram() non ?

Oui tout à fait. ^^

Comme vous le savez un shader est un programme, c'est pour cette raison que nous avons cet attribut. Remarquez aussi que les 3 variables présentées sont en fait des objets OpenGL car elles ont le type GLuint au même titre que les textures, les VBO ou les VAO.

Nous allons également rajouter un autre constructeur à cette classe. C'est un constructeur que vous connaissez par cœur car c'est celui qui demande en paramètre le chemin vers les deux codes sources shaders. Son prototype est le suivant :

Shader(std::string vertexSource, std::string fragmentSource);

Il prend en paramètre deux string représentant le chemin vers les codes sources spécifiés. Nous aurons besoin de deux attributs supplémentaires pour les gérer dans la classe. ;)

Nous rajoutons donc deux variables m_vertexSource et m_fragmentSource de type string dans le header :

// Attributs

GLuint m_vertexID;
GLuint m_fragmentID;
GLuint m_programID;

std::string m_vertexSource;
std::string m_fragmentSource;

Si on récapitule tout ça :

#ifndef DEF_SHADER
#define DEF_SHADER


// Include Windows

#ifdef WIN32
#include <GL/glew.h>


// Include Mac

#elif __APPLE__
#define GL3_PROTOTYPES 1
#include <OpenGL/gl3.h>


// Include UNIX/Linux

#else
#define GL3_PROTOTYPES 1
#include <GL3/gl3.h>

#endif


// Includes communs

#include <iostream>
#include <string>


// Classe Shader

class Shader
{
    public:

    Shader();
    Shader(std::string vertexSource, std::string fragmentSource);
    ~Shader();


    private:

    GLuint m_vertexID;
    GLuint m_fragmentID;
    GLuint m_programID;

    std::string m_vertexSource;
    std::string m_fragmentSource;
};

#endif

Header terminé. ^^

Les constructeurs et le destructeur

Maintenant que le header de la classe est terminé, on va pouvoir passer à son implémentation. Et comme d'habitude, on commence par les constructeurs et le destructeur.

Le premier est le constructeur par défaut, qui ne fait rien de particulier d'ailleurs :

// Constructeur par défaut

Shader::Shader() : m_vertexID(0), m_fragmentID(0), m_programID(0), m_vertexSource(), m_fragmentSource()
{
}

Le second, lui, fera la même chose sauf qu'il affectera les sources avec les string donnés en paramètres :

// Constructeur

Shader::Shader(std::string vertexSource, std::string fragmentSource) : m_vertexID(0), m_fragmentID(0), m_programID(0),
                                                                       m_vertexSource(vertexSource), m_fragmentSource(fragmentSource)
{
}

Quant au destructeur, vous savez maintenant ce qui se trouve à l'intérieur. Mais attention ! Celui-ci ne restera pas vide longtemps. :p

// Destructeur

Shader::~Shader()
{
}

La méthode getProgramID

L'attribut m_programID est quelque chose que l'on utilise assez souvent, notamment pour activer les shaders. Nous allons recoder le getter qui permet de le récupérer et qui s'appelle getProgramID() :

GLuint getProgramID() const;

Son implémentation se passe de commentaire :

GLuint Shader::getProgramID() const
{
    return m_programID;
}

La méthode charger (Partie 1/2)

La méthode charger() va être la principale méthode de cette classe. En effet, vous avez surement remarqué qu'on l'utilise à chaque fois que l'on veut initialiser un shader :

// Shader Texture

shaderTexture("Shaders/texture.vert", "Shaders/texture.frag");
shaderTexture.charger();

Son prototype est assez simple vu qu'elle ne demande rien en paramètre :

bool charger();

Elle renverra un booléen pour confirmer ou non le chargement du shader.

Cependant, contrairement à son prototype, la méthode charger() ne sera pas aussi simple à programmer. Elle devra être capable de faire plusieurs choses :

Pour effectuer les deux premières étapes, nous allons créer une autre méthode qui permettra de compiler le code source d'un shader. Il vaut mieux séparer la compilation du reste du code car vous allez voir que c'est un peu ... long. :p Cette nouvelle méthode s'appellera simplement compilerShader() :

bool compilerShader(GLuint &shader, GLenum type, std::string const &fichierSource);

Elle aura besoin de 3 paramètres :

Un booléen sera également retourné pour confirmer ou non la réussite de la compilation.

Nous devons appeler cette nouvelle méthode deux fois afin de compiler nos deux codes sources. Le premier appel devra compiler un shader contenu dans l'attribut m_vertexID et dont le code source sera évidemment identifié par m_vertexSource. Le paramètre type sera quant à lui égal à la constante GL_VERTEX_SHADER. On n'oublie pas de vérifier le retour dans un bloc if :

bool Shader::charger()
{
    // Compilation du Vertex Shader

    if(!compilerShader(m_vertexID, GL_VERTEX_SHADER, m_vertexSource))
        return false;
}

Le second appel à cette méthode s'occupera cette fois du Fragment Shader. On lui donnera en paramètres les attributs m_fragmentID et m_fragmentSource. Le paramètre type sera égal à la constante GL_FRAGMENT_SOURCE :

bool Shader::charger()
{
    // Compilation des shaders

    if(!compilerShader(m_vertexID, GL_VERTEX_SHADER, m_vertexSource))
        return false;

    if(!compilerShader(m_fragmentID, GL_FRAGMENT_SHADER, m_fragmentSource))
        return false;
}

On ne retourne pas de message d'erreur ?

Si justement, les messages d'erreurs seront en fait affichés par la méthode compilerShader() car c'est à elle de dire si quelque chose ne va pas. Il est très important de vérifier les erreurs de compilation avec les shaders car nous n'avons pas d'IDE pour nous dire où elles seraient. Ce peut devenir vite embêtant si vous perdez trop de temps à chercher les erreurs par vous-même.

D'ailleurs la vérification de messages d'erreurs est quelque chose ... d'assez folklo à programmer vous verrez. :lol:

La méthode compilerShader

Créer un shader

Nous connaissons déjà le prototype ce cette méthode et nous savons également qu'elle a besoin de 3 paramètres :

bool compilerShader(GLuint &shader, GLenum type, std::string const &fichierSource);

Cette méthode devra être capable de faire plusieurs choses :

La première étape va être très simple à réaliser car elle est très similaire à la création des autres objets OpenGL. Si je dis similaire, c'est parce que nous n'allons pas utiliser les fonctions classiques du type glGenXXX(), glBindXXX(), ... comme nous avons l'habitude de faire. Les shaders sont des objets un peu particuliers qui vont utiliser leurs propres fonctions. De plus, ils ne doivent pas être verrouillés pendant leur configuration mais seulement au moment de leur utilisation.

En définitif, nous ne devons pas utiliser la fonction glGenShaders() pour générer un ID mais la fonction glCreateShader() :

GLuint glCreateShader(GLenum shaderType);

Elle prend en paramètre une constante qui peut prendre la valeur GL_VERTEX_SHADER ou GL_FRAGMENT_SHADER. Nous lui donnerons la valeur du paramètre type de la méthode compilerShader().

Nous appellerons cette fonction en affectant la valeur retournée au paramètre shader :

bool Shader::compilerShader(GLuint &shader, GLenum type, std::string const &fichierSource)
{
    // Création du shader

    shader = glCreateShader(type);
}

Vu que nous utilisons un paramètre externe à la méthode pour définir le type de shader, il est donc possible possible que ce paramètre contienne une valeur erronée. Nous devons donc vérifier l'ID retourné par la fonction glCreateShader(). S'il est égal à 0 c'est qu'il y a eu un problème, il faut donc arrêter le chargement :

// Vérification du shader

if(shader == 0)
{
    std::cout << "Erreur, le type de shader (" << type << ") n'existe pas" << std::endl;
    return false;
}

Lecture du code source

La lecture du coude source est quelque chose de capital dans la création d'un shader. Sans lui, notre programme ne serait pas quoi faire et la carte graphique nous enverrait gentiment paitre. :-°

Nous devons lire les codes sources dont les chemins sont contenus dans les attributs m_vertexSource et m_fragmentSource. Pour cela, nous allons utiliser la bibliothèque fstream qui permet de la lecture et l'écriture de fichier en C++, je suppose que vous la connaissez déjà. :p Pensez à inclure l'en-tête fstream dans le fichier Shader.h.

Pour utiliser cette bibliothèque, nous allons commencer par déclarer un objet de type ifstream que nous appellerons simplement fichier. Son constructeur demande une chaine C représentant le chemin vers le fichier à lire, nous lui donnerons donc la chaine C du paramètre fichierSource de la méthode compilerShader() :

// Flux de lecture

std::ifstream fichier(fichierSource.c_str());

Avant de continuer, nous devons tester l'ouverture du fichier au cas où celui-ci n'existerait pas. Si c'est le cas alors on arrête le chargement, on affiche un message d'erreur et on détruit le shader que l'on a créé juste avant.

La fonction permettant de détruire un shader ressemble fortement aux fonctions du type glDeleteXXX() sauf qu'elle ne prend pas deux paramètres mais un seul, elle n'a également pas de s à la fin de son nom :

glDeleteShader(GLuint shader);

Bien évidemment, elle prend en paramètre le shader à détruire.

Avec cette fonction et le code précédent, notre test d'ouverture ressemble donc à ceci :

// Flux de lecture

std::ifstream fichier(fichierSource.c_str());


// Test d'ouverture

if(!fichier)
{
    std::cout << "Erreur le fichier " << fichierSource << " est introuvable" << std::endl;
    glDeleteShader(shader);

    return false;
}

Si le fichier s'est ouvert correctement alors nous pouvons copier son contenu sans problème. Pour cela, nous allons utiliser la fonction getline() qui permet de copier une ligne entière d'un fichier. Nous l’utiliserons à l'intérieur d'une boucle while, ce qui permettra de copier le code source ligne par ligne. ;)

Nous aurons besoin de deux string pour cette boucle : une qui contiendra chaque ligne lue, et une autre qui contiendra le code source final :

// Strings permettant de lire le code source

std::string ligne;
std::string codeSource;


// Lecture

while(getline(fichier, ligne))
    codeSource += ligne + '\n';

N'oubliez pas l'inclure le caractère de saut de ligne '\n' à la fin de chaque copie, sinon votre code source ne sera constitué que d'une gigantesque ligne incompréhensible. :p

Une fois la lecture terminée, on n'oublie pas de fermer le fichier pour éviter les fuites de mémoire :

// Strings permettant de lire le code source

std::string ligne;
std::string codeSource;


// Lecture

while(getline(fichier, ligne))
    codeSource += ligne + '\n';


// Fermeture du fichier

fichier.close();

On fait un petit récap de ce que nous avons fait jusqu'à maintenant :

bool Shader::compilerShader(GLuint &shader, GLenum type, std::string const &fichierSource)
{
    // Création du shader

    shader = glCreateShader(type);


    // Vérification du shader

    if(shader == 0)
    {
        std::cout << "Erreur, le type de shader (" << type << ") n'existe pas" << std::endl;
        return false;
    }


    // Flux de lecture

    std::ifstream fichier(fichierSource.c_str());


    // Test d'ouverture

    if(!fichier)
    {
        std::cout << "Erreur le fichier " << fichierSource << " est introuvable" << std::endl;
        glDeleteShader(shader);

        return false;
    }


    // Strings permettant de lire le code source

    std::string ligne;
    std::string codeSource;


    // Lecture

    while(getline(fichier, ligne))
        codeSource += ligne + '\n';


    // Fermeture du fichier

    fichier.close();
}

Compilation du shader

Faisons le point sur ce que nous avons fait jusqu'à présent : nous avons créé un shader et lu un code source qui se trouve maintenant en mémoire. Le problème c'est que les deux sont totalement dissociés pour le moment. Notre prochain objectif est donc d'envoyer ce code source à notre shader pour qu'il puisse enfin recevoir ses instructions.

Pour cela, nous allons utiliser une fonction OpenGL qui s'appelle glShaderSource() :

void glShaderSource(GLuint shader, GLsizei count, const GLchar **string, const GLint *length)

Cette fonction est un peu spéciale vous l'aurez remarqué.

Cependant, nous pouvons contourner son trop-plein de tableaux en ne fournissant qu'une seule et unique chaine de caractère. Il suffira d'envoyer l'adresse d'une chaine C. En effet, si on envoie l'adresse d'une chaine alors on se retrouve avec un pointeur du type **chaine. La fonction glShaderSource() demande justement cette sorte de double pointeur. ;)

On commence donc pas récupérer la chaine C du code source dans un pointeur grâce à la méthode c_str() :

// Récupération de la chaine C du code source

const GLchar* chaineCodeSource = codeSource.c_str();

Ensuite, nous appelons la fonction glShaderSource() avec les paramètres que nous venons de voir. Bien entendu, on pense à donner l'adresse du pointeur chaineCodeSource pour contenter le paramètre string :

// Récupération de la chaine C du code source

const GLchar* chaineCodeSource = codeSource.c_str();


// Envoi du code source au shader

glShaderSource(shader, 1, &chaineCodeSource, 0);

Notre shader vient enfin de récupérer son code source. :D Il ne manque plus qu'à le compiler.

Et pour ça, on va utiliser une fonction toute simple (ce qui fait du bien par rapport à la précédente) qui s'appelle glCompileShader() :

void glCompileShader(GLuint shader);

Elle ne prend qu'un seul paramètre : le shader à compiler. Nous l’appelons juste après avoir envoyé le code source :

// Récupération de la chaine C du code source

const GLchar* chaineCodeSource = codeSource.c_str();


// Envoi du code source au shader

glShaderSource(shader, 1, &chaineCodeSource, 0);


// Compilation du shader

glCompileShader(shader);

Vérification de la compilation

La vérification de la compilation est certainement l'étape la plus importante et la plus chiante de cette partie. Imaginez que vous compiliez un code source et qu'il y ait une erreur à l'intérieur, comment pouvez-vous savoir où elle se trouve ? C'est un problème qui peut devenir vite énervant surtout quand votre erreur n'est qu'un bête oubli de point-virgule. :p Pour éviter d'avoir à relire vos codes sources à chaque fois, nous allons vérifier l'état de leur compilation grâce à quelques fonctions OpenGL.

La première de ces fonctions va nous permettre de renvoyer pas mal d'informations sur un shader donné, la vérification d'erreur au moment de la compilation en fait justement partie. Elle s'appelle glGetShaderiv() :

void glGetShaderiv(GLuint shader, GLenum pname, GLint *params);

Pour connaitre l'état de la compilation, nous allons créer une variable de type GLint que l'on appellera erreurCompilation. Nous donnerons son adresse à la fonction glGetShaderiv() pour qu'elle puisse stocker l'information que l'on recherche. D'ailleurs, cette information se nomme GL_COMPILE_STATUS et sera la valeur du paramètre pname :

// Vérification de la compilation

GLint erreurCompilation(0);

glGetShaderiv(shader, GL_COMPILE_STATUS, &erreurCompilation);

L'appel à cette fonction seule ne sert pas à grand chose, il faut maintenant vérifier la valeur de la variable erreurCompilation. ;) Si elle différente de la constante GL_TRUE c'est qu'il y a eu une erreur, sinon c'est que tout va bien on peut retourner le booléen true pour clore le chargement :

// Vérification de la compilation

GLint erreurCompilation(0);
glGetShaderiv(shader, GL_COMPILE_STATUS, &erreurCompilation);


// S'il y a eu une erreur

if(erreurCompilation != GL_TRUE)
{
}


// Sinon c'est que tout s'est bien passé

else
    return true;

Si la fonction glGetShaderiv() a détecté une erreur alors il faut la récupérer.

Malheureusement, nous ne pouvons pas utiliser les objets string pour cette récupération car les fonctions OpenGL ne gère pas les objets C++. Il faut donc faire à l'ancienne et allouer de la mémoire à la main pour une chaine de caractère. :(

Mais avant ça, nous devons connaitre la taille du message d'erreur pour pouvoir allouer assez de mémoire. Pour ce faire, nous allons à nouveau utiliser la fonction glGetShaderiv() sauf que l'on demandera cette fois le paramètre GL_INFO_LOG_LENGTH qui correspond à la taille recherchée. Nous utiliserons la variable tailleErreur pour stocker la valeur qui sera retournée :

// Vérification de la compilation

GLint erreurCompilation(0);
glGetShaderiv(shader, GL_COMPILE_STATUS, &erreurCompilation);


// S'il y a eu une erreur

if(erreurCompilation != GL_TRUE)
{
    // Récupération de la taille de l'erreur

    GLint tailleErreur(0);
    glGetShaderiv(shader, GL_INFO_LOG_LENGTH, &tailleErreur);
}


// Sinon c'est que tout s'est bien passé

else
    return true;

Une fois que l'on connait la taille de l'erreur, nous pouvons allouer de la mémoire pour une chaine de caractère grâce au mot-clef new[]. On ajoute au passage 1 case pour gérer le caractère de fin de chaine '\0' qui n'est pas fourni avec le message d'erreur :

// Vérification de la compilation

GLint erreurCompilation(0);
glGetShaderiv(shader, GL_COMPILE_STATUS, &erreurCompilation);


// S'il y a eu une erreur

if(erreurCompilation != GL_TRUE)
{
    // Récupération de la taille de l'erreur

    GLint tailleErreur(0);
    glGetShaderiv(shader, GL_INFO_LOG_LENGTH, &tailleErreur);


    // Allocation de mémoire

    char *erreur = new char[tailleErreur + 1];
}


// Sinon c'est que tout s'est bien passé

else
    return true;

Maintenant que l'on a une chaine allouée, nous pouvons récupérer la fameuse erreur. Nous utiliserons pour cela la fonction glGetShaderInfoLog() :

void glGetShaderInfoLog(GLuint shader, GLsizei maxLength, GLsizei *length, GLchar *infoLog);

L'appel à cette fonction ressemblera à ceci :

// Récupération de l'erreur

glGetShaderInfoLog(shader, tailleErreur, &tailleErreur, erreur);

Il faut également penser à rajouter le caractère de fin de chaine '\0' pour compléter le message :

// Récupération de l'erreur

glGetShaderInfoLog(shader, tailleErreur, &tailleErreur, erreur);
erreur[tailleErreur] = '\0';

Ce qui donne au final :

// Vérification de la compilation

GLint erreurCompilation(0);
glGetShaderiv(shader, GL_COMPILE_STATUS, &erreurCompilation);


// S'il y a eu une erreur

if(erreurCompilation != GL_TRUE)
{
    // Récupération de la taille de l'erreur

    GLint tailleErreur(0);
    glGetShaderiv(shader, GL_INFO_LOG_LENGTH, &tailleErreur);


    // Allocation de mémoire

    char *erreur = new char[tailleErreur + 1];


    // Récupération de l'erreur

    glGetShaderInfoLog(shader, tailleErreur, &tailleErreur, erreur);
    erreur[tailleErreur] = '\0';
}


// Sinon c'est que tout s'est bien passé

else
    return true;

On arrive à la fin courage. :p

Il ne nous reste plus qu'à afficher le message d'erreur et à libérer la mémoire prise par la chaine de caractère. On n'oublie pas de détruire le shader car celui-ci est inutilisable puis on retourne le booléen false pour terminer la méthode :

// Vérification de la compilation

GLint erreurCompilation(0);
glGetShaderiv(shader, GL_COMPILE_STATUS, &erreurCompilation);


// S'il y a eu une erreur

if(erreurCompilation != GL_TRUE)
{
    // Récupération de la taille de l'erreur

    GLint tailleErreur(0);
    glGetShaderiv(shader, GL_INFO_LOG_LENGTH, &tailleErreur);


    // Allocation de mémoire

    char *erreur = new char[tailleErreur + 1];


    // Récupération de l'erreur

    glGetShaderInfoLog(shader, tailleErreur, &tailleErreur, erreur);
    erreur[tailleErreur] = '\0';


    // Affichage de l'erreur

    std::cout << erreur << std::endl;


    // Libération de la mémoire et retour du booléen false

    delete[] erreur;
    glDeleteShader(shader);

    return false;
}


// Sinon c'est que tout s'est bien passé

else
    return true;

Pfiouu on est enfin arrivé au bout ... Tout ce code pour vérifier une simple erreur ! Et oui, je vous avais prévenus que le chargement des shaders était quelque chose d'assez folklo. :p

Faisons un petit récapitulatif final de la méthode compilerShader() :

bool Shader::compilerShader(GLuint &shader, GLenum type, std::string const &fichierSource)
{
    // Création du shader

    shader = glCreateShader(type);


    // Vérification du shader

    if(shader == 0)
    {
        std::cout << "Erreur, le type de shader (" << type << ") n'existe pas" << std::endl;
        return false;
    }


    // Flux de lecture

    std::ifstream fichier(fichierSource.c_str());


    // Test d'ouverture

    if(!fichier)
    {
        std::cout << "Erreur le fichier " << fichierSource << " est introuvable" << std::endl;
        glDeleteShader(shader);

        return false;
    }


    // Strings permettant de lire le code source

    std::string ligne;
    std::string codeSource;


    // Lecture

    while(getline(fichier, ligne))
        codeSource += ligne + '\n';


    // Fermeture du fichier

    fichier.close();


    // Récupération de la chaine C du code source

    const GLchar* chaineCodeSource = codeSource.c_str();


    // Envoi du code source au shader

    glShaderSource(shader, 1, &chaineCodeSource, 0);


    // Compilation du shader

    glCompileShader(shader);


    // Vérification de la compilation

    GLint erreurCompilation(0);
    glGetShaderiv(shader, GL_COMPILE_STATUS, &erreurCompilation);


    // S'il y a eu une erreur

    if(erreurCompilation != GL_TRUE)
    {
        // Récupération de la taille de l'erreur

        GLint tailleErreur(0);
        glGetShaderiv(shader, GL_INFO_LOG_LENGTH, &tailleErreur);


        // Allocation de mémoire

        char *erreur = new char[tailleErreur + 1];


        // Récupération de l'erreur

        glGetShaderInfoLog(shader, tailleErreur, &tailleErreur, erreur);
        erreur[tailleErreur] = '\0';


        // Affichage de l'erreur

        std::cout << erreur << std::endl;


        // Libération de la mémoire et retour du booléen false

        delete[] erreur;
        glDeleteShader(shader);

        return false;
    }


    // Sinon c'est que tout s'est bien passé

    else
        return true;
}

Grâce à tout ce code, nous sommes maintenant capables de compiler tous nos shaders. Il valait mieux séparer ce code de la méthode charger() sinon il aurait fallu coder ça deux, imaginez un peu le truc ! :lol:

Cependant nous n'avons pas encore fini, il nous faut encore terminer la méthode charger(). Continuons. :)


Piqûre de rappel Création du programme

Création du programme

Compilation des sources Utilisation et améliorations

La méthode charger (Partie 2/2)

Création du programme

Maintenant que nous avons codé une méthode permettant de compiler un shader, nous pouvons tranquillement retourner à la méthode charger() que nous avons laissée précédemment. D'ailleurs, elle est un peu vide pour le moment :

bool Shader::charger()
{
    // Compilation des shaders

    if(!compilerShader(m_vertexID, GL_VERTEX_SHADER, m_vertexSource))
        return false;

    if(!compilerShader(m_fragmentID, GL_FRAGMENT_SHADER, m_fragmentSource))
        return false;
}

Grâce à ce mini bout de code, nous avons enfin notre duo de shader compilé et validé. Cependant, ces shaders ne sont pas encore inutilisables pour le moment car ce ne sont que des objets intermédiaires qui ne peuvent pas être exécutés par la carte graphique, elle ne sait pas quoi faire avec. Pour régler le problème, il nous faut les réunir à l’intérieur d'un programme qui, lui, sera exécutable par la carte.

Bien entendu, il ne s'agit pas d'un programme classique que vous avez l'habitude d'exécuter sur votre ordinateur. :p C'est en fait un objet OpenGL qui va faire la passerelle entre les shaders et leur exécution au sein de la carte graphique. C'est pour cette raison que nous avons besoin du fameux attribut programID - attribut qu'on utilise depuis un bout de temps maintenant dans la fonction glUseProgram().

Pour la suite de la méthode charger(), il nous faut donc créer ce programme. Nous ferons cela grâce à une fonction qui ressemble fortement à glCreateShader() et qui s'appelle glCreateProgram() :

GLuint glCreateProgram();

C'est l'une des rares fonctions OpenGL qui ne demande aucun paramètre, profitez-en. :p Elle retourne juste l'ID d'un nouveau programme.

Nous l'appellerons donc pour créer un programme qui sera accessible via l'attribut m_programID :

bool Shader::charger()
{
    // Compilation des shaders

    if(!compilerShader(m_vertexID, GL_VERTEX_SHADER, m_vertexSource))
        return false;

    if(!compilerShader(m_fragmentID, GL_FRAGMENT_SHADER, m_fragmentSource))
        return false;


    // Création du programme

    m_programID = glCreateProgram();
}

Association des shaders au programme

Comme je vous l'ai dit précédemment, le Vertex et Fragment Shader sont inutilisables en l'état car ils ne peuvent pas être exécutés par la carte graphique. En revanche, le programme lui peut l'être. Il nous faut donc associer les shaders avec celui-ci de façon à ce que nos fichiers compilés puissent servir à quelque chose.

Image utilisateur

Cette étape d'association se fait très simplement puisqu'il suffit d'utiliser une seule fonction OpenGL : glAttachShader().

void glAttachShader(GLuint program, GLuint shader)

Nous appellerons cette fonction deux fois pour associer nos deux shaders :

bool Shader::charger()
{
    // Compilation des shaders

    if(!compilerShader(m_vertexID, GL_VERTEX_SHADER, m_vertexSource))
        return false;

    if(!compilerShader(m_fragmentID, GL_FRAGMENT_SHADER, m_fragmentSource))
        return false;


    // Création du programme

    m_programID = glCreateProgram();


    // Association des shaders

    glAttachShader(m_programID, m_vertexID);
    glAttachShader(m_programID, m_fragmentID);
}

Étape terminée. :p

Verrouillage des entrées shader

Si je vous parle d'entrées shader, ça vous dit quelque chose ? Normalement vous devriez me répondre non. :p Et pourtant si je vous disais que vous savez déjà ce que c'est, vous me croiriez ?

En fait, les entrées shader sont tout simplement les tableaux Vertex Attrib que l'on utilise depuis le début du tuto ! ;) Et oui, les shaders ont besoin d'eux pour travailler sinon ils ne pourraient pas afficher grand chose. Les tableaux Vertex Attrib constituent donc leurs sources de données (vertices, couleurs, ...) que l'on appelle plus communément leurs entrées. On parle bien d'entrées parce qu'il existe aussi des sorties, mais ça ça sera pour le chapitre suivant.

Le verrouillage des entrées consiste simplement à dire au shader :

Pour faire ça, nous devons utiliser la fonction glBindAttribLocation() :

void glBindAttribLocation(GLuint program, GLuint index, const GLchar *name);

Le dernier paramètre peut vous sembler un peu confus pour le moment mais sachez juste qu'il s'agit d'une variable, dans le code source du shader, qui permet d'accéder aux données des tableaux Vertex Attrib. Par exemple, pour accéder aux vertices dans les shaders, nous utiliserons une variable qui s’appellera in_Vertex :

Image utilisateur

Pour les couleurs ce sera in_Color et pour les coordonnées de texture ce sera in_TexCoord0 :

Image utilisateur

Vu que nous utilisons 3 tableaux Vertex Attrib (vertices, couleurs et coordonnées de texture), nous devrons utiliser 3 fois la fonction glBindAttribLocation() pour verrouiller toutes les entrées. Pour le tableau d'indice 0, l'appel ressemblera à ceci :

// Verrouillage des entrées shader (Vertices)

glBindAttribLocation(m_programID, 0, "in_Vertex");

Pour les deux autres, ce sera :

// Verrouillage des entrées shader (Couleurs et Coordonnées de texture)

glBindAttribLocation(m_programID, 1, "in_Color");
glBindAttribLocation(m_programID, 2, "in_TexCoord0");

Euh j'ai une petite question, pourquoi il y a un 0 à la fin de la variable in_TexCoord0 ?

Ça peut paraitre un peu troublant mais le 0 est là pour indiquer au shader que les coordonnées de texture qu'il reçoit correspondent simplement à la première texture verrouillée (indice 0). Quand nous utiliserons le multitexturing, nous enverrons plusieurs textures au shader et celui-ci devra faire la différence entre les coordonnées reçues pour la première, celles reçues pour la deuxième, etc. Le chiffre de la variable in_TexCoord permet de faire cette différence. Enfin, ne vous triturez pas la tête avec ça pour le moment, ce n'est pas important. :)

Au final, nous plaçons les 3 appels à la fonction glBindAttribLocation() juste après l'association des shaders :

bool Shader::charger()
{
    // Compilation des shaders

    if(!compilerShader(m_vertexID, GL_VERTEX_SHADER, m_vertexSource))
        return false;

    if(!compilerShader(m_fragmentID, GL_FRAGMENT_SHADER, m_fragmentSource))
        return false;


    // Création du programme

    m_programID = glCreateProgram();


    // Association des shaders

    glAttachShader(m_programID, m_vertexID);
    glAttachShader(m_programID, m_fragmentID);


    // Verrouillage des entrées shader

    glBindAttribLocation(m_programID, 0, "in_Vertex");
    glBindAttribLocation(m_programID, 1, "in_Color");
    glBindAttribLocation(m_programID, 2, "in_TexCoord0");
}

Linkage

Le linkage constitue l'étape finale de la création d'un programme. Jusqu'à présent, nous avons compilé nos shaders séparément puis nous les avons associés à notre programme. Il ne reste plus maintenant qu'à le finaliser pour le rendre exécutable par la carte graphique.

Cette étape se fait grâce à la fonction glLinkProgram() :

void glLinkProgram(GLuint program);

Bien entendu, le paramètre program correspond au programme à linker. On appelle cette fonction juste après le verrouillage des entrées shader :

// Verrouillage des entrées shader

glBindAttribLocation(m_programID, 0, "in_Vertex");
glBindAttribLocation(m_programID, 1, "in_Color");
glBindAttribLocation(m_programID, 2, "in_TexCoord0");


// Linkage du programme

glLinkProgram(m_programID);

Vérification du linkage

Le linkage d'un programme est un processus qui peut malheureusement échouer, nous devons donc vérifier si tout s'est bien passé. La mauvaise nouvelle, c'est qu'il va falloir écrire un gros bloc de vérification comme pour la compilation de shader. :p

L'avantage cependant c'est que cet énorme bloc de vérification ressemble exactement au premier, seules quelques fonctions OpenGL vont devoir changer. Ainsi, pour vérifier si le linkage s'est bien passé nous devrons :

Pour la compilation de shader, nous avions utilisé la fonction glGetShaderiv() pour savoir s'il y avait eu une erreur. Pour le linkage d'un programme, la fonction est exactement identique, il n'y a que le nom qui change :

void glGetProgramiv(GLuint program, GLenum pname, GLint *params);

Les paramètres sont également identiques :

On doit utiliser cette fonction, dans un premier temps, pour vérifier s'il y a eu une erreur au moment du linkage. Le nom du paramètre pname qui nous permet cela sera la constante GL_LINK_STATUS. On doit aussi créer une variable de type GLint pour contenir la valeur retournée, on l'appellera erreurLink. On en profite au passage pour implémenter que le début du bloc if :

// Linkage du programme

glLinkProgram(m_programID);


// Vérification du linkage

GLint erreurLink(0);
glGetProgramiv(m_programID, GL_LINK_STATUS, &erreurLink);


// S'il y a eu une erreur

if(erreurLink != GL_TRUE)
{
}


// Sinon c'est que tout s'est bien passé

else
    return true;

Si on se retrouve dans le bloc if, c'est que quelque chose s'est mal passé. Nous devons donc récupérer la taille du message d'erreur grâce à la fonction glGetProgramiv(). Elle prendra exactement les mêmes paramètres que la fonction glGetShaderiv() soient : une constante GL_INFO_LOG_LENGTH et l'adresse d'une variable tailleErreur de type GLint :

// Vérification du linkage

if(erreurLink != GL_TRUE)
{
    // Récupération de la taille de l'erreur

    GLint tailleErreur(0);
    glGetProgramiv(m_programID, GL_INFO_LOG_LENGTH, &tailleErreur);
}

Une fois la taille de l'erreur récupérée, on peut allouer une chaine de caractère pour la contenir sans oublier le caractère '\0' :

// Vérification du linkage

if(erreurLink != GL_TRUE)
{
    // Récupération de la taille de l'erreur

    GLint tailleErreur(0);
    glGetProgramiv(m_programID, GL_INFO_LOG_LENGTH, &tailleErreur);


    // Allocation de mémoire

    char *erreur = new char[tailleErreur + 1];
}

Maintenant que l'on a une chaine de caractère assez grande, on peut récupérer le message d'erreur grâce à une fonction très similaire à glGetShaderInfoLog() qui s'appelle glGetProgramInfoLog() :

void glGetProgramInfoLog(GLuint program, GLsizei maxLength, GLsizei *length, GLchar *infoLog);

Je vous rappelle que cette fonction permet de récupérer le message d'erreur. ;) D'ailleurs, elle prend elle-aussi les mêmes paramètres que sa sœur-jumelle :

Nous appelons donc cette fonction avec les paramètres que nous venons juste de citer. N'oubliez pas de rajouter le caractère '\0' à la fin de la chaine :

// Vérification du linkage

if(erreurLink != GL_TRUE)
{
    // Récupération de la taille de l'erreur

    GLint tailleErreur(0);
    glGetProgramiv(m_programID, GL_INFO_LOG_LENGTH, &tailleErreur);


    // Allocation de mémoire

    char *erreur = new char[tailleErreur + 1];


    // Récupération de l'erreur

    glGetShaderInfoLog(m_programID, tailleErreur, &tailleErreur, erreur);
    erreur[tailleErreur] = '\0';
}

Pour terminer cette gestion d'erreur, il ne reste plus qu'à afficher le message tant convoité. Une fois que c'est fait, on libère la mémoire prise par la chaine de caractère puis on détruit le programme vu que celui-ci est inutilisable.

La fonction permettant de détruire un programme s'appelle simplement glDeleteProgram() :

void glDeleteProgram(GLuint program);

Elle prend en paramètre le programme à détruire.

On appelle donc cette fonction en plus du mot-clef delete[] pour détruire la chaine. On renverra également le booléen false pour indiquer que le chargement s'est mal passé :

// Vérification du linkage

if(erreurLink != GL_TRUE)
{
    // Récupération de la taille de l'erreur

    GLint tailleErreur(0);
    glGetProgramiv(m_programID, GL_INFO_LOG_LENGTH, &tailleErreur);


    // Allocation de mémoire

    char *erreur = new char[tailleErreur + 1];


    // Récupération de l'erreur

    glGetShaderInfoLog(m_programID, tailleErreur, &tailleErreur, erreur);
    erreur[tailleErreur] = '\0';


    // Affichage de l'erreur

    std::cout << erreur << std::endl;


    // Libération de la mémoire et retour du booléen false

    delete[] erreur;
    glDeleteProgram(m_programID);

    return false;
}

Récapitulatif de la méthode charger() :

bool Shader::charger()
{
    // Compilation des shaders

    if(!compilerShader(m_vertexID, GL_VERTEX_SHADER, m_vertexSource))
        return false;

    if(!compilerShader(m_fragmentID, GL_FRAGMENT_SHADER, m_fragmentSource))
        return false;


    // Création du programme

    m_programID = glCreateProgram();


    // Association des shaders

    glAttachShader(m_programID, m_vertexID);
    glAttachShader(m_programID, m_fragmentID);


    // Verrouillage des entrées shader

    glBindAttribLocation(m_programID, 0, "in_Vertex");
    glBindAttribLocation(m_programID, 1, "in_Color");
    glBindAttribLocation(m_programID, 2, "in_TexCoord0");


    // Linkage du programme

    glLinkProgram(m_programID);


	// Linkage du programme

    glLinkProgram(m_programID);


    // Vérification du linkage

    GLint erreurLink(0);
    glGetProgramiv(m_programID, GL_LINK_STATUS, &erreurLink);


    // S'il y a eu une erreur

    if(erreurLink != GL_TRUE)
    {
        // Récupération de la taille de l'erreur

        GLint tailleErreur(0);
        glGetProgramiv(m_programID, GL_INFO_LOG_LENGTH, &tailleErreur);


        // Allocation de mémoire

        char *erreur = new char[tailleErreur + 1];


        // Récupération de l'erreur

        glGetShaderInfoLog(m_programID, tailleErreur, &tailleErreur, erreur);
        erreur[tailleErreur] = '\0';


        // Affichage de l'erreur

        std::cout << erreur << std::endl;


        // Libération de la mémoire et retour du booléen false

        delete[] erreur;
        glDeleteProgram(m_programID);

        return false;
    }



    // Sinon c'est que tout s'est bien passé

    else
        return true;
}

Cette fois la méthode est bel et bien terminée, et je dirai même que l'implémentation de la classe Shader est également terminée. Vous êtes maintenant en mesure de comprendre tout le code C++ de vos applications, plus de classe mystère !

Après toutes ces péripéties, vous avez bien mérité une petite pause moi j'dis. :-°

D'ailleurs, vous pouvez continuer à lire la dernière partie de ce chapitre tout en faisant une pause car nous n'allons voir que quelques points mineurs. ^^


Compilation des sources Utilisation et améliorations

Utilisation et améliorations

Création du programme OpenGL Shading Language

Utilisation

La partie utilisation est vraiment quelque chose d’anecdotique car vous savez déjà comment utiliser un shader, mais nous allons tout de même faire un petit point dessus. Après tout, les rappels ça n'a jamais fait de mal. :p

Enfin bref. Pour créer un objet de type Shader, vous devez simplement déclarer un nouvel objet en lui donnant en paramètre le chemin vers deux codes sources : celui du Vertex Shader et celui du Fragment Shader, puis d'appeler la méthode charger(). Par exemple, pour charger le shader de texture :

// Shader Texture

Shader shaderTexture("Shaders/texture.vert", "Shaders/texture.frag");
shaderTexture.charger();

Une fois chargé, vous n'avez plus qu'à l'activer au moment d'afficher votre modèle grâce à la fonction glUseProgram() :

void glUseProgram(GLuint program);

La paramètre program correspond évidemment au shader à activer.

Cette fonction est vraiment similaire aux fonctions du type glBindXXX() puisqu'elle permet de dire à OpenGL : "Je souhaite utiliser ce shader-ci pendant toute la durée où il est activé". Ainsi, tous les modèles qui se trouvent à l'intérieur des deux appels à glUseProgram() seront obligés de l'utiliser pour être affichés.

// Activation du shader

glUseProgram(m_shader.getProgramID());


    // Verrouillage du VAO

    glBindVertexArray(m_vaoID);


        // Envoi des matrices

        glUniformMatrix4fv(glGetUniformLocation(m_shader.getProgramID(), "projection"), 1, GL_FALSE, value_ptr(projection));
        glUniformMatrix4fv(glGetUniformLocation(m_shader.getProgramID(), "modelview"), 1, GL_FALSE, value_ptr(modelview));


        // Verrouillage de la texture

        glBindTexture(GL_TEXTURE_2D, m_texture.getID());


        // Rendu

        glDrawArrays(GL_TRIANGLES, 0, 36);


        // Déverrouillage de la texture

        glBindTexture(GL_TEXTURE_2D, 0);


    // Déverrouillage du VAO

    glBindVertexArray(0);


// Désactivation du shader

glUseProgram(0);

D'ailleurs en parlant de ça, je vous conseille fortement d'activer votre shader avant de verrouiller tous vos autres objets OpenGL. Si vous ne le faites pas, vous risquerez d'envoyer des données dans le vide (comme les matrices ou les textures) car aucun shader ne sera là pour les recevoir. ;)

Améliorations

Le destructeur

Dans cette petite partie améliorations, nous allons surtout parler de méthodes qui seront utiles si nous voulons copier des objets de type Shader entre eux. Mais avant ça, nous allons parler un peu de libération de mémoire car jusqu'à maintenant, lorsqu'un objet Shader est détruit, il ne libère à aucun moment les ressources qu'il a prises.

Pour l'aider à le faire, nous allons simplement détruire tous les attributs dans le destructeur. Sachant que les string savent le faire toutes seules, il ne reste plus qu'à gérer les attributs m_vertexID, m_fragmentID et m_programID. Les fonctions permettant de détruire ces objets OpenGL sont glDeleteShader() et glDeleteProgram().

Nous les appelons donc le destructeur :

Shader::~Shader()
{
    // Destruction du shader

    glDeleteShader(m_vertexID);
    glDeleteShader(m_fragmentID);
    glDeleteProgram(m_programID);
}

Comme quoi, le destructeur ne reste pas vide à chaque fois. :p

Le constructeur de copie

On continue cette dernière partie avec le constructeur de copie. J'espère que vous savez ce que c'est quand même, surtout qu'on l'utilise depuis un moment maintenant. :p

En temps normal, il est inutile de le coder tant qu'on n'utilise pas de pointeurs car seuls eux peuvent poser des problèmes. Cependant, les objets OpenGL peuvent être rapprochés aux pointeurs car leur ID se comporte un peu de la même façon. Si vous essayez de copier un ID dans un autre objet, alors les deux copies auront accès exactement aux mêmes données alors qu'ils devraient avoir chacun les leurs.

Il nous faut ré-écrire ce constructeur pour pouvoir être capables de copier deux shaders correctement sans avoir à nous soucier de ce problème. Voici d'ailleurs le prototype de cette pseudo-méthode :

Shader(Shader const &shaderACopier);

Pour la classe Shader, nous avons 5 attributs à gérer. Les deux strings peuvent être copiées directement sans problème :

Shader::Shader(Shader const &shaderACopier)
{
    // Copie des fichiers sources

    m_vertexSource = shaderACopier.m_vertexSource;
    m_fragmentSource = shaderACopier.m_fragmentSource;
}

Les 3 derniers attributs concernent les shaders et le programme. Ils ne peuvent pas être copiés de la même façon, il va falloir re-générer de nouvelles valeurs (de nouveaux ID) à partir des fichiers sources. Pour ce faire, il suffit juste d'appeler la méthode charger() car c'est elle qui s'occupe de ça :

Shader::Shader(Shader const &shaderACopier)
{
    // Copie des fichiers sources

    m_vertexSource = shaderACopier.m_vertexSource;
    m_fragmentSource = shaderACopier.m_fragmentSource;


    // Chargement du nouveau shader

    charger();
}

Le constructeur de copie est terminé. ;)

L'opérateur =

L'opérateur d'affectation = est un opérateur très pratique en C++ car il permet de copier un objet directement en utilisant le symbole = comme si on faisait une banale opération arithmétique. Nous allons l'implémenter, au même titre que le constructeur de copie, dans le cas où nous aurions à copier un shader.

Voici son prototype :

Shader& operator=(Shader const &shaderACopier);

Cette méthode prend et renvoie une référence constante.

Son contenu est strictement identique au constructeur de copie car elle fait exactement la même chose. :p On rajoutera juste le retour du pointeur *this pour retourner proprement notre objet :

Shader& Shader::operator=(Shader const &shaderACopier)
{
    // Copie des fichiers sources

    m_vertexSource = shaderACopier.m_vertexSource;
    m_fragmentSource = shaderACopier.m_fragmentSource;


    // Chargement du nouveau shader

    charger();


    // Retour du pointeur this

    return *this;
}

Encore une fois, je vous repose la question pour ce chapitre ( :p ) : vous vous souvenez de ce qui se passait si on chargeait deux fois un même objet OpenGL (texture, VBO, etc.) d'un coup ? Que cela entrainait une fuite de mémoire ? Et bien nous avons encore le même problème ici. Si vous chargez deux fois un shader, lors d'une copie par exemple, alors vous risquez de gâcher de la mémoire qui ne pourra pas être libérée avant la fermeture de votre application.

Pour éviter cela, nous devons appeler les fonctions de vérification d'objet OpenGL du type glIsXXX(), puis de les détruire si besoin est. Elles s'appellent ici glIsShader() et glIsProgram() :

// Vérification de shader

GLboolean glIsShader(GLuint shader);


// Vérification de programme

GLboolean glIsProgram(GLuint program);

Elles prennent en paramètre respectivement un identifiant de shader et un identifiant de programme pour savoir s'ils ont déjà été chargés. Elles renvoient toutes les deux la valeur GL_TRUE si c'est le cas, sinon c'est GL_FALSE.

Au final, pour les attributs m_vertexID, m_fragmentID et m_programID, nous devons faire un bloc if en vérifiant la valeur retournée par la fonction glIsXXX(). Si c'est GL_TRUE, alors on appelle leur fonction de destruction :

bool Shader::charger()
{
    // Destruction d'un éventuel ancien Shader

    if(glIsShader(m_vertexID) == GL_TRUE)
        glDeleteShader(m_vertexID);

    if(glIsShader(m_fragmentID) == GL_TRUE)
        glDeleteShader(m_fragmentID);

    if(glIsProgram(m_programID) == GL_TRUE)
        glDeleteProgram(m_programID);


    // Compilation des shaders

    if(!compilerShader(vertexShader, GL_VERTEX_SHADER, m_vertexSource)
        return false;

    if(!compilerShader(fragmentShader, GL_FRAGMENT_SHADER, m_fragmentSource)
        return false;


    ....
}

Grâce à ce bout de code, on évite toute fuite de mémoire car les éventuels anciens ID seront détruits avant d'être ré-initialisés.

Télécharger (Windows, UNIX/Linux, Mac OS X) : Code Source C++ du chapitre sur la compilation de Shader

A travers ce premier chapitre consacré aux shaders, nous avons pu voir comment compiler n'importe quel code source. Tous ceux que nous avons utilisés depuis la partie 1 sont passés par cette classe - classe dont nous sommes enfin capables de comprendre le fonctionnement.

Les notions que nous avons abordées sont assez costauds au niveau technique, je vous conseille de relire à tête reposée ceux qui vous paraissent encore un peu sombres.

Néanmoins, après le code de ce pseudo-compilateur, nous pouvons enfin passer aux codes sources mêmes des shaders. Les 3 prochains chapitres leur seront entièrement consacrés. Refaite le stock de café ou de chocolat moi j'dis ! :p


Création du programme OpenGL Shading Language

OpenGL Shading Language

Utilisation et améliorations Un peu d'histoire

Dans le chapitre précédent, nous avons vu ce qu'étaient les shaders et comment les implémenter au sein de nos applications. Nous avons même écrit, en quelque sorte, notre propre compilateur qui permet désormais de compiler absolument tous leurs codes sources. :p

Aujourd'hui, nous allons justement passer aux codes sources mêmes et étudier le langage de programmation avec lequel ils sont faits : l'OpenGL Shading Language. Nous nous concentrerons principalement sur sa syntaxe qui se rapproche fortement de celle du C mais qui contient tout de même quelques différences.

Si vous vous sentez prêts alors on peut commencer. :magicien:

Un peu d'histoire

OpenGL Shading Language Les variables

L’histoire des shaders

La création

Ce qu'il faut savoir avec les shaders, c'est que leur intégration au sein des jeux-vidéo est une chose assez récente par rapport à leur création. En effet, ceux-ci ont été créés en 1988 par les studios d'animation Pixar qui avaient remarqué qu'il était possible de traiter tous les pixels un par un pour leur appliquer des instructions spécifiques. Cela leur permettait de manipuler leurs rendus non seulement pour les améliorer mais aussi pour les rendre plus réalistes sans surcharger les ressources des ordinateurs.

Le premier standard à utiliser les shaders est le RenderMan (RIS) développé par les studios du même nom. Depuis, ils se sont développés dans tous les domaines qui traitent la 3D tels que les films d'animation, le cinéma et évidemment les jeux-vidéo. Ils permettent aujourd'hui d'exploiter efficacement la carte graphique pour effectuer une multitude de calculs mathématiques. Leur plus grand intérêt est évidemment la réalisation d'effets réalistes que l'on retrouve aujourd'hui dans tous les jeux-vidéo à la mode. ;)

Au niveau de leur fonctionnement, vous savez maintenant que les shaders sont des petits programmes qui vont traiter les vertices et les pixels. Ils sont spécialement conçus pour faire ce genre d'opération, ils n'ont donc pas peur de traiter des millions de données à chaque seconde. :p

Les différents langages

Si les shaders sont des programmes alors ils possèdent forcément un code source pour savoir ce qu'ils doivent faire. Et évidemment, ces codes sources doivent être écrits avec un langage de programmation. Depuis 1988, plusieurs entreprises ont tenté de sortir leur propre langage soit pour s'imposer dans le domaine, soit pour un type d'utilisation spécifique. Certains sont plus ou moins connus et même plus ou moins compliqués à utiliser.

Il existe deux types de langage utilisables pour la programmation des shaders. Jusqu'à récemment, il fallait en utiliser certains qui étaient proches de l'Assembleur, ils étaient donc considérés comme étant de bas-niveau. Pour ceux qui ne savent pas ce qu'est l'Assembleur, sachez qu'il s'agit d'un langage de programmation extrêmement difficile à manier pour les non-initiés. Si vous voulez faire un jeu-vidéo 3D avec ça je vous conseille de vous lever très tôt chaque matin pour avancer dans le développement. :p

Mais heureusement pour nous, il existe aussi des langages dits de haut-niveau, donc plus faciles à utiliser, qui se rapprochent fortement de ceux que l'on connait aujourd'hui. Nous pouvons en citer principalement 3 :

Ces langages ne sont pas compatibles avec toutes les API 3D mais ils sont tous utilisés dans le monde du jeu-vidéo. Vu que nous, nous programmons avec OpenGL, nous allons donc utiliser l'OpenGL Shading Language (GLSL) pour développer nos shaders.

OpenGL Shading Language

Le GLSL est donc un langage de programmation créé par l'Architecture Review Board pour permettre aux programmeurs d'utiliser directement la puissance des cartes graphiques sans passer par l'ancien pipeline 3D. Cela permet de gagner en rapidité car on évite tous les calculs superflus qui existaient auparavant. On gagne également en flexibilité car on peut traiter chaque pixel individuellement.

L'avantage de ce langage c'est que d'une part il est multiplateforme, c'est-à-dire qu'il est supporté par la majorité des cartes graphiques, et d'autre part sa syntaxe se rapproche énormément de celle du C. Il est plus facile d'apprendre à l'utiliser lui plutôt que d'apprendre l'Assembleur. :p

Malgré sa notoriété, le GLSL n'est né que très récemment. Comparé à la création des shaders qui date de 1988, il fait office de bambin puisqu'il n'a été accepté officiellement qu'en 2004 avec la sortie d'OpenGL 2.0. Pour information, la première version d'OpenGL est sortie en 1992, ce qui fait 12 ans de décalage entre les deux ! :lol:

Cependant, durant sa courte histoire, le GLSL n'a pas chômé puisqu'il a fournit pas moins de 10 versions en l'espace de 8 ans. En voici quelques unes :

Contrairement à ce qu'on pourrait penser, il n'existe pas de version 1.60, 1.70 ... A partir d'OpenGL 3.3, le numéro des versions devient le même que celui de l'API. Pour OpenGL 3.3 par exemple, le GLSL passe en 3.30, pour la 4.0 il passe en 4.0, ...

Enfin, vous savez maintenant ce que sont les langages de programmation shader et vous avez même eu le droit à un petit cours d'histoire pour votre culture générale. :p

Pour la suite du tutoriel, nous utiliserons le GLSL dans sa version 1.50. C'est avec lui que nous serons bientôt capables de faire des effets réalistes que l'on pourra intégrer dans nos scènes 3D. D'ailleurs, nous allons tout de suite passer à l'étude de ce langage en commençant par sa syntaxe de base.


OpenGL Shading Language Les variables

Les variables

Un peu d'histoire Les structures de contrôle

Le code source minimal

Comme nous l'avons vu dans l'introduction, l'OpenGL Shading Language est fortement inspiré du C, vous n'avez donc pas à être effrayés par l'apprentissage d'un nouveau langage de programmation.

Dans cette partie, nous nous concentrerons principalement sur sa syntaxe avec la gestion des variables, les fonctions, etc. Je ferai en sorte de vous montrer des exemples à chaque fois et nous en profiterons pour faire quelques exercices.

Je n'ai malheureusement pas d'IDE à vous proposer pour coder vos shaders. Par habitude, j'utilise toujours celui pour coder les applications classiques et je ne connais que très peu les autres pour pouvoir vous les conseiller efficacement. Si vous voulez ne pas être embêtés à ouvrir plusieurs programmes, je vous propose de coder également sur le même IDE que vous utilisez en temps normal.

Enfin maintenant que l'on sait tout ce que l'on à savoir, nous pouvons enfin commencer l'étude du GLSL. La première chose que nous allons voir concerne le code source minimal demandé par un shader pour pouvoir être compilé. Celui-ci est assez simple mais mérite tout de même quelques explications :

void main()
{

}

Un peu cours n'est-ce pas ? :lol:

Le code minimal contient donc simplement une fonction qui main() qui ne prend et qui ne renvoie aucun paramètre. Remarquez que la syntaxe des fonctions est strictement identiques au C. Si vous essayez de compiler ce code vous n'aurez aucun message d'erreur, le shader l'acceptera sans problème mais il n'affichera pas grand chose.

La fonction main() a la même utilité qu'en C, c'est elle qui est appelée en première au lancement d'un programme. Nous placerons donc nos premières futures instructions à l'intérieur. Cependant, contrairement au C cette fonction n'a pas besoin de renvoyer une variable pour indiquer si tout s'est bien passé (le fameux return 0;).

En définitif, ce code constitue la source minimale pour compiler un shader, nous devrons donc implémenter la fonction main() à chaque fois. ;)

Les Variables

Les variables 'classiques'

Comme tout tutoriel sur les langages de programmation, nous allons nous attaquer en premier lieu aux variables.

Il existe plusieurs types de variable avec le GLSL dont certains sont assez déroutants car ils n'ont pas leur équivalent en C. On va commencer par voir ceux qu'on a l'habitude d'utiliser car ce sont les plus simples à comprendre :

L'avantage des variables en GLSL c'est qu'elles se comportent exactement de la même façon qu'en C. Nous pouvons donc les additionner, les multiplier, leur affecter une valeur, etc. Le seul point auquel il faut faire attention c'est leur initialisation qui ne se fait non pas à l'aide de parenthèses mais avec le signe = .

Prenons un petit exemple en déclarant deux variables de type int, puis additionnons-les :

void main()
{
    // Déclaration de deux variables integer

    int mesChats = 5;
    int chatDuVoisin = 1;


    // Addition

    int resultat = mesChats + chatDuVoisin;
}

Ce code pourrait parfaitement servir à un programme normal. :p

Vous voyez ici que la déclaration et l'utilisation de variable se passent de la même manière qu'en C, chaque instruction se termine même par un point-virgule. Tout ce que vous connaissez sur les variables s'applique au GLSL, à savoir :

Vous avez peut-être même remarqué l'utilisation des commentaires dans le code source. Leur syntaxe reste aussi la même :

void main()
{
    // Petit commentaire


    /* Gros commentaire,
       Parce que j'ai beaucoup de chose à dire */
}

Les tableaux

Les tableaux, qui permettent de rassembler des données du même type en mémoire, sont aussi utilisables avec les shaders. Ils se comportent aussi de la même manière, ils possèdent donc une taille et ses cases sont accessibles à l'aide un indice.

Pour initialiser un tableau, il suffit de lui donner un nom ainsi qu'une taille entre crochets. Pour accéder ou affecter une valeur aux cases, on utilise également les crochets avec un indice qui peut commencer à 0 ou qui peut se terminer par la taille - 1.

Voici un petit exemple de l'utilisation d'un tableau de 3 flottants :

void main()
{
    // Déclaration d'un tableau

    float tableau[3] = {1.0, 2.0, 3.0};


    // Utilisation

    float premiereCase = tableau[0];
}

Les vecteurs

Les variables que nous venons de voir ont l'avantage d'être faciles à comprendre car nous avons l'habitude de les utiliser dans nos codes sources classiques. Cependant, il existe encore d'autres types propres au GLSL qui sont un peu spéciaux. D'ailleurs, je dois vous avouer que vous les connaissez déjà en fait. :p Ces derniers peuvent être comparés aux structures du C mais ce sont bel et bien des typestypes de variable.

Ils ont été créés pour faciliter la vie aux développeurs car ils permettent de faire pas mal de calculs mathématiques relatifs à la 3D sans se prendre la tête. Si je vous dis que vous les connaissez déjà c'est parce que la librairie GLM que l'on utilise depuis le début du tuto est directement inspiré du GLSL et donc de ces types de variable. C'est à dire que l'on retrouve des types communs entre les deux, même s'il s'agit d'un objet d'un coté et d'une variable de l'autre.

Le premier de ces types concerne les vecteurs, il se décline en plusieurs versions :

Le type vec3 devrait vous dire quelque chose il me semble. :p Et oui, l'objet vec3 qu'on utilise dans l'application C++ est inspiré directement du type de variable vec3.

Ces variables en GLSL se rapproche plus à des structures C car ils contiennent des sortes de "sous-variable". Par exemple, le type vec2 possède deux coordonnées (x, y) qui sont accessibles via l'utilisation du point '.' tout comme les structures :

void main()
{
    // Vecteur à 2 coordonnées

    vec2 monVecteur;


    // Accès aux coordonnées

    monVecteur.x = 1.0;
    monVecteur.y = 2.0;
}

Bien entendu, on peut affecter des valeurs à ces coordonnées. Elles n'auraient que bien peu d'intérêt sinon. :p Ces valeurs doivent être des float et non des int.

Les types vec3 et vec4 ont eux-aussi les coordonnées (x, y) sauf qu'ils en possèdent respectivement 1 (x, y, z) et 2 (x, y, z, w) en plus.

L'accès à ces nouvelles coordonnées se fait exactement de la même façon ben sûr :

void main()
{
    // Vecteurs à 3 et 4 coordonnées

    vec3 monVecteur;
    vec4 monGrandVecteur;


    // Accès aux coordonnées du premier vecteur

    monVecteur.x = 1.0;
    monVecteur.y = 2.0;
    monVecteur.z = 3.0;


    // Accès aux coordonnées du second vecteur

    monGrandVecteur.x = 1.0;
    monGrandVecteur.y = 2.0;
    monGrandVecteur.z = 3.0;
    monGrandVecteur.w = 4.0;
}

Vu que ces vecteurs sont des variables comme les autres, nous pouvons donc utiliser les opérateurs arithmétiques sur eux comme le +, -, *, etc :

void main()
{
    // Vecteurs 

    vec3 position, orientation;


    // Affectation de valeur

    position.x = 10.0;
    orientation.x = 5.0;
    ....


    // Opérations

    vec3 resultat = position + orientation;
    resultat *= 0.5;
}

Comme d'habitude avec les vecteurs, vous devez faire attention au nombre de coordonnées avant d'effectuer des opérations entre eux. Une variable vec2 ne peut pas être multipliée par un vec4 par exemple.

Petit bonus : il est possible de faire des tableaux de vecteur vu que ce sont des variables (j'espère vous l'avoir assez rabâché ^^ ) :

void main()
{
    // Vecteurs

    vec4 vecteur1, vecteur2;


    // Tableau

    vec4 montableau[2] = {vecteur1, vecteur2};
}

Les matrices

Aaaaah les matrices, je suis sûr que vous êtes tous contents de les retrouver. :p Surtout que vous pouvez l'être car le GLSL nous fournit très gentiment des types de variable qui devraient vous dire quelque chose.

Les matrices sont des outils mathématiques incontournables dans la 3D. Il était donc évident de les intégrer dans le langage de programmation des shaders, au même titre que les vecteurs. Elles sont tellement importantes qu'elles possèdent même plusieurs types de variable. Voici ceux que l'on utilisera le plus :

Hum mat4, moi j'dis ça me rappellerait quelque chose. :-°

Les matrices en GLSL se déclarent simplement : il suffit d'utiliser un des types précédents suivi du nom qu'on veut donner.

void main()
{
    // Matrice carrée d'ordre 3

    mat3 matrice;
}

Leur principal avantage c'est qu'elles sont AUSSI considérées comme des variables tout comme les vecteurs. Il est donc possible de faire des opérations arithmétiques dessus :

void main()
{
    // Matrices

    mat3 matrice1, matrice2;


    // Multiplication

    mat3 resultat = matrice1 * matrice2;
}

Simple n'est-ce pas ?

Je ne vous parle pas de la façon d'accéder aux valeurs des matrices car elles fonctionnement d'une manière différente de celle que l'on connait. En fait, elles se lisent colonne par colonne plutôt que ligne par ligne. Nous verrons cela dans un prochain chapitre pour éviter de s'embrouiller. ;) En revanche, nous allons voir dans cette partie la façon de les initialiser.

Enfin, vous connaissez maintenant tous les types de variable qu'il existe en GLSL. Ou plutôt presque tous car il en existe encore plein d'autres comme les vecteurs d'entier (ivec), les matrices non-carrées (mat3x4), etc. Je ne vous ai présenté ici que ceux que nous utiliserons le plus, le reste est plus anecdotique.

Les constructeurs

L'initialisation simple

Les constructeurs sont des outils très puissants et très flexibles qui vont nous permettre de faire gagner pas mal à temps à nos shaders. C'est une des seuls points que l'on peut rapprocher au C++, même s'il ne s'agit pas de réel constructeur de classe car la notion d'objet n'existe pas en GLSL.

Leur utilité vient du fait qu'ils permettent d'initialiser les variables (vecteurs et matrices compris) en une seule ligne de code. Il devient alors inutile d'affecter toutes les valeurs à la main. Le nom du constructeur à utiliser correspond au type de variable à initialiser.

Par exemple, si on veut initialiser une variable vec3 avec les coordonnées (1.0, 2.0, 3.0), il suffit de faire :

void main()
{
    // Initialisation d'un vecteur à 3 coordonnées

    vec3 vecteur = vec3(1.0, 2.0, 3.0);
}

C'est exactement la même chose qu'avec GLM. Ce qui est normal d'ailleurs puisque les développeurs de cette librairie ont fait en sorte que le comportement C++ des objets se rapproche au maximum de celui des variables en GLSL. Même l'utilisation faite des constructeurs est recopiée.

Ce constructeur nous évite au final d'avoir à faire :

void main()
{
    // Initialisation d'un vecteur à 3 coordonnées

    vec3 vecteur;

    vecteur.x = 1.0;
    vecteur.y = 2.0;
    vecteur.z = 3.0;
}

Les constructeurs font très plaisir quand vous avez plusieurs vecteurs à initialiser dans votre shader, croyez-moi. :p

Petit bonus : Si vous voulez initialiser un vecteur nul, vous n'avez pas besoin de renseigner toutes les coordonnées. Seule la valeur 0.0 sera nécessaire, le constructeur saura qu'il doit tout initialiser avec :

void main()
{
    // Initialisation d'un vecteur nul

    vec4 vecteur = vec4(0.0);
}

Les vecteurs ne sont pas les seuls concernés par les constructeurs, les matrices aussi ont le droit d'en profiter. Voici, par exemple, comment initialiser une matrice carrée d'ordre 3 :

void main()
{
    // Initialisation d'une matrice

    mat3 matrice = mat3(0.0, 3.0, 6.0,
                        1.0, 4.0, 7.0,
                        2.0, 5.0, 8.0);
}

J'ai volontairement fait un retour à la ligne toutes les 3 valeurs pour que le code soit plus lisible, il est évidemment possible de tout mettre en une seule.

On remarque dans cet exemple la présence de 9 valeurs allant de 0.0 à 8.0 qui permettent d'initialiser la matrice. Si on avait utilisé un type mat4, alors il en aurait fallu 16. On remarque aussi que les valeurs sont arrangées en colonnes. Si vous suivez les valeurs des yeux dans l'ordre croissant, vous remarquerez cette particularité.

C'est compliqué d'utiliser les matrices comme ça, je vais devoir m'adapter à chaque fois que je vais m'en servir ?

Non pas vraiment car elles seront la plupart du temps déjà données. Nous n'aurons donc pas à jouer avec cette lecture en colonne. ;)

Petit bonus : pour initialiser une matrice nulle, c'est-à-dire qu'avec des valeurs égales à 0.0, il existe heureusement une astuce qui nous évite tous les petits soucis précédents. En fait, il suffit juste de mettre une seule valeur 0.0 dans le constructeur comme pour les vecteurs :

void main()
{
    // Matrice nulle

    mat4 matrice = mat4(0.0);
}

Plus simple que l'exemple précédent n'est-ce pas ? :p

Dernier bonus : si vous voulez initialiser une matrice d'identité, vous pouvez faire exactement la même chose qu'avec GLM en appelant le constructeur avec la valeur 1.0. Ce dernier saura automatiquement qu'il doit affecter cette valeur à la diagonale :

void main()
{
    // Matrice d'identité

    mat4 matrice = mat4(1.0);
}

Cette astuce ne fonctionne qu'avec les matrices. Pour les vecteurs, votre compilateur vous râlera dessus car il demandera la valeur des autres coordonnées.

L'initialisation à partir d'autres variables

L'utilité des constructeurs ne s'arrête pas avec des valeurs statiques, il est tout à fait possible d'initialiser une variable à partir d'autres variables pré-existantes. C'est même une chose que l'on fera très souvent dans nos codes sources. :p

Le gros avantage également c'est que vous pouvez initialiser des variables à partir de n'importe quelle autre variable quelque soit son type. Par exemple, vous pouvez très bien utiliser un vec2 pour construire un vec4 à partir de ses coordonnées :

void main()
{
    // Vecteur

    vec2 petitVecteur = vec2(1.0, 2.0);


    // Initialisation à partir d'un autre vecteur

    vec4 grandVecteur = vec4(petitVecteur);
}

Vous avez compris le principe ? Le constructeur vec4() va prendre automatiquement les coordonnées (x, y) du premier vecteur pour les copier dans le second. Nous aurions pu utiliser ce code pour faire la même chose :

void main()
{
    // Vecteur

    vec2 petitVecteur = vec2(1.0, 2.0);


    // Initialisation à partir d'un autre vecteur

    vec4 grandVecteur;

    grandVecteur.x = petitVecteur.x;
    grandVecteur.y = petitVecteur.y;
}

Alors bon, je dois vous avouer que ce code n'est pas totalement correcte. En fait, si nous le compilions nous nous retrouverions avec un beau message d'erreur car le constructeur ne sait pas comment initialiser les dernières coordonnées (z, w). Il faut donc leur affecter une valeur à elles-aussi.

Pour cela, il suffit simplement de rajouter 2 autres valeurs en paramètres :

void main()
{
    // Vecteur

    vec2 petitVecteur = vec2(1.0, 2.0);


    // Initialisation à partir de la variable

    vec4 grandVecteur = vec4(petitVecteur, 3.0, 4.0);
}

Cette fois, notre compilateur est content car toutes les coordonnées ont le droit à une valeur.

D'ailleurs, il est même possible d'inverser les trois paramètres en plaçant les valeurs 3.0 et 4.0 au début :

void main()
{
    // Vecteur position

    vec2 vecteur = vec2(1.0, 2.0);


    // Vecteur

    vec4 vecteur2 = vec4(3.0, 4.0, vecteur);
}

Si on fait ça en revanche, les données ne seront pas initialisées de la même façon. C'est-à-dire que la valeur 3.0 sera affectée à la coordonnée x et la valeur 4.0 à y. Pour z et w, le constructeur va prendre ce qu'il lui reste, à savoir respectivement les coordonnées (x, y) de la variable vec2.

Ce code revient à faire la chose suivante :

void main()
{
    // Vecteur

    vec2 petitVecteur = vec2(1.0, 2.0);


    // Autre vecteur

    vec4 grandVecteur;

    grandVecteur.x = 3.0;
    grandVecteur.y = 4.0;
    grandVecteur.z = petitVecteur.x;
    grandVecteur.w = petitVecteur.y;
}

Allez, on prend un dernier exemple pour être sûr que vous ayez compris. Si je vous montre le bout de code suivant, seriez-vous capable de trouvez l'équivalent en utilisant un constructeur ?

void main()
{
    // Vecteur

    vec2 petitVecteur = vec2(5.0, 8.0);


    // Autre vecteur

    vec4 grandVecteur;

    grandVecteur.x = 7.0;
    grandVecteur.y = petitVecteur.x;
    grandVecteur.z = petitVecteur.y;
    grandVecteur.w = 2.0;
}

J'ai volontairement changé les valeurs pour vous déstabiliser. :p

Vous avez trouvé ?

void main()
{
    // Vecteur

    vec2 petitVecteur = vec2(5.0, 8.0);


    // Autre vecteur

    vec4 grandVecteur = vec4(7.0, petitVecteur, 2.0);
}

Bien évidemment, je passe à coté de toute la subtilité offerte par le GLSL au niveau des variables. Cependant, nous en avons vu assez pour pouvoir travailler nos shaders efficacement. ^^


Un peu d'histoire Les structures de contrôle

Les structures de contrôle

Les variables Fonctions prédéfinies

Les structures de contrôles

Nous avons vu le plus gros du chapitre avec la partie sur les variables, il y avait pas mal de petites notions à voir. Nous allons maintenant nous attaquer à tout ce qui concerne les structures de contrôle comme les conditions, les boucles, etc. Il n'y aura pas de surprise cette fois, vous connaissez déjà tout. :p

Les conditions

Les conditions permettent de déclencher une portion de code en fonction de la valeur d'une variable. Il y a deux manières de les utiliser :

void main()
{
    // Variable

    int variable = 1;


    // Conditions

    if(variable == 0)
        ... ;

    else if(variable == 1)
        ... ;

    else
        ... ;
}
void main()
{
    // Variable

    int variable = 1;


    // Conditions

    switch(variable)
    {
        // Cas 1

        case 0:
            ... ;
        break;


        // Cas 2

        case 1:
            ... ;
        break;


        // Sinon

        default:
            ... ;
        break;
    }
}

Les boucles

Les boucles permettent de répéter une portion de code en fonction d'une condition donnée. Ces conditions sont les mêmes que celles vues précédemment. Il y existe trois façons d'utiliser une boucle :

void main()
{
    // Variable

    int variable = 0;


    // Boucle 

    while(variable < 10)
        variable++;
}
void main()
{
    // Variable

    int variable = 0;


    // Boucle 

    do
    {
        variable++;

    }while(variable < 10);
}
void main()
{
    // Variable

    int variable = 0;


    // Boucle 

    for(int i = 0; i < 10; i++)
        variable++;
}

Les fonctions

La déclaration

Les fonctions sont des fonctionnalités importantes avec les langages de programmation. Nous serions très malheureux sans elles puisqu'il faudrait tout coder au même endroit. Imaginez si nous devions réunir toutes les classes d'un projet C++ dans un seul fichier ! :lol:

Heureusement pour nous, ça ne sera pas le cas avec le GLSL car il permet la création et l'utilisation de fonctions. L'avantage en plus c'est qu'elles se comportent exactement comme en C il n'y a aucun différence. Nous retrouvons donc leurs caractéristiques principales :

Le prototype, qui représente la signature de la fonction, n'est pas obligatoire mais je vous conseille de l'utiliser pour simplifier la lecture de vos codes sources. Il se place juste avant la fonction main() pour que le compilateur puisse connaitre leur existence avant d'attaquer le programme.

Voici un exemple de prototype de fonction :

// Prototype

vec4 convertirVecteur(vec2 vecteur);


// Fonction main

void main()
{

}

L'implémentation se fait après la fonction main() de façon à ce que ce soit plus lisible :

// Implémentation de la fonction

vec4 convertirVecteur(vec2 vecteur)
{
    vec4 resultat = vec4(vecteur, 0.0, 0.0);

    return resultat;
}

Notez la présence du mot-clef return qui permet de retourner une variable.

Ce qui donnerait un shader final :

// Prototype

vec4 convertirVecteur(vec2 vecteur);


// Fonction main

void main()
{

}


// Implémentation

vec4 convertirVecteur(vec2 vecteur)
{
    vec4 resultat = vec4(vecteur, 0.0, 0.0);

    return resultat;
}

L'utilisation

Les fonctions s'utilisent également de la même manière qu'en C. Il suffit de les appeler en leur donnant les paramètres qu'elles demandent.

Si on reprend l'exemple précédent :

void main()
{
    // Vecteur

    vec2 monPetitVecteur = vec2(1.0, 2.0);


    // Appel à la fonction de conversion

    vec4 monGrandVecteur = convertirVecteur(monPetitVecteur);
}

Les surcharges

La surcharge de fonction est la deuxième notion du GLSL que l'on peut rapprocher au C++. Il est possible d'utiliser plusieurs fois le même nom pour des fonctions différentes. Les conditions qui permettent de faire cela sont les mêmes qu'avec le C++, à savoir que les paramètres doivent être différents en nombre ou en type.

On reprend une fois de plus l'exemple précédent en surchargeant la fonction convertirVecteur() afin qu'elle puisse prendre en paramètre des variables de type vec3:

// Prototype original

vec4 convertirVecteur(vec2 vecteur);


// Surcharge

vec4 convertirVecteur(vec3 vecteur);

Il faut bien évidemment faire une seconde implémentation car les deux prototypes représentent des fonctions différentes :

// Implémentation de la surcharge

vec4 convertirVecteur(vec3 vecteur)
{
    vec4 resultat = vec4(vecteur, 0.0);

    return resultat;
}

Pour utiliser cette surcharge, il suffit aussi de l'appeler par son nom. Le shader s'occupera tout seul de savoir s'il doit prendre celle-ci ou la fonction originale :

void main()
{
    // Vecteur

    vec3 monPetitVecteur = vec3(1.0, 2.0, 3.0);


    // Appel à la fonction de conversion

    vec4 monGrandVecteur = convertirVecteur(monPetitVecteur);
}

Les pointeurs

Malheureusement, les pointeurs n'existent pas en GLSL, et je ne vous parle même pas des références qui existent encore moins. Il n'est donc pas possible de modifier plusieurs variables dans une seule fonction, il faudra en utiliser plusieurs. Mais je vous rassure, nous n'aurions quasiment jamais eu besoin de pointeur de toute façon. ;)

Divers

Le préprocesseur

Le préprocesseur est un processus qui s'exécute juste avant le compilateur et qui permet de filtrer ou d'ajouter des instructions au code source original.

Sa particularité vient du fait qu'il ne lit pas les lignes de code 'normales' mais uniquement celles que l'on appelle des directives de préprocesseur. On les reconnait grâce à leur symbole #.

Avec le GLSL, il existe aussi un préprocesseur qui nous permet d'utiliser des directives comme #define, #ifdef, ... La plus importante pour nous va être celle qui permet de définir la version du GLSL avec laquelle nous coderons. Elle s'appelle #version et s'utilise de cette façon :

// Version du GLSL

#version 150 core


// Fonction main()

void main()
{

}

Elle permet de dire à OpenGL que notre code source utilisera la version 1.50 du GLSL ainsi que le profil core. Notez qu'il est possible de remplacer le mot-clef core par compatibility. ;)

Nous utiliserons cette directive au début de chacun de nos codes sources à partir de maintenant.

Les structures

Les structures sont un peu comme les ancêtres des objets. Ils possèdent des champs, que l'on peut rapprocher aux attributs, mais ne possèdent pas de méthodes propres. La bonne nouvelle c'est qu'on peut quand même les utiliser pour programmer nos shaders. :)

Leur déclaration se fait exactement comme en C, on utilise le mot-clef struct accompagné du nom souhaité. On inclut ensuite les champs à l'intérieur.

Prenons un petit exemple en déclarant une structure Camera. Structure qui ressemble étonnement à une classe que nous avons déjà codée. :p

// Structure Camera

struct Camera
{
    vec3 position;
    vec3 orientation;

    float rapidite;
};

L'avantage des structures en GLSL c'est qu'il n'y a pas besoin d'utiliser le mot clef typedef pour s'affranchir du mot-clef struct. Nous pouvons donc utiliser notre structure directement comme s'il s'agissait d'une variable normale :

void main()
{
    // Déclaration d'une structure Camera

    Camera maCamera;


    // Utilisation

    maCamera.position = vec3(2.0, 5.0, 2.0);
    maCamera.rapidite = 0.5;
}

Les variables Fonctions prédéfinies

Fonctions prédéfinies

Les structures de contrôle Les shaders démystifiés (Partie 1/2)

Nous avons fait le tour de la syntaxe de notre nouveau langage, il n'y a pas grand chose à dire de plus dessus. Je vous réserve le reste pour le chapitre suivant. ;) Mais avant de passer à ça, j'aimerais vous montrer quelques fonctions prédéfinies qui nous serons utiles par la suite.

En effet, le GLSL a l'avantage d'intégrer nativement une bibliothèque mathématique assez complète qui permet d'aider le développeur dans ses calculs 3D. On retrouve ainsi plusieurs fonctions relatives à la trigonométrie, aux vecteurs, aux matrices, etc.

Les fonctions trigonométriques

Sinus, Cosinus et Tangente

Si je vous parle de trigonométrie vous devez forcément penser aux fonctions sin(), cos() et tan(). :p Elles permettent de calculer respectivement le sinus, le cosinus et la tangente d'un angle. Leur prototype est le même qu'en C++ :

float sin(float angle);
float cos(float angle);
float tan(float angle);

Voici un petit exemple qui permet de calculer le sinus d'un angle :

#version 150 core

void main()
{
    // Calcul du sinus d'un angle de 90°

    float sinus = sin(90.0);             /* La valeur du sinus sera de 1.0 */
}

Les autres fonctions s'utilisent de la même façon.

Convertir un angle en radian et inversement

Il existe des fonctions permettant de convertir un angle exprimé en degrés vers les radians, et inversement bien sûr. Elles sont très utiles dans certains cas, d'ailleurs on aurait bien aimé les avoir en C++ quand nous avons utilisé la trigonométrie. :p

Ces fonctions s'appellent respectivement radians() et degrees() :

float radians(float degrees);
float degrees(float radians);

Un petit exemple de conversion d'un angle exprimé en degrés :

#version 150 core

void main()
{
    // Conversion de l'angle 90° en radians

    float radians = radians(90.0);                /* La valeur de l'angle sera de 1/2 Pi soit environ 1.57 */
}

Les fonctions relatives aux vecteurs

Normalisation

Ah la normalisation ... Ça devrait vous rappeler quelques souvenirs. Surtout que nous avons eu l'occasion d'en faire plein avec GLM. :p

Vous devriez donc savoir que normaliser un vecteur revient à réduire sa norme (sa longueur) à 1.0. Cela permet de faire pas mal d'opérations mathématiques et de profiter de la trigonométrie.

La fonction qui permet de normaliser un vecteur s'appelle normalize() exactement comme celle de GLM :

vec normalize(vec vector);

Je ne vous fait pas d'exemple, je pense que vous avez compris le principe. ;)

Calculer la norme

Vu que l'on parle de la norme d'un vecteur, nous pouvons parler de la fonction qui permet de la calculer. Elle s'appelle length() :

float length(vec vector);

Calculer le produit vectoriel

Nous avons déjà utilisé le produit vectoriel pour faire des calculs dans la classe Camera qui nous permettait de trouver le vecteur orthogonal à l'orientation. La fonction permettant de faire la même chose en GLSL s'appelle aussi cross() :

vec cross(vec vector1, vec vertor2);

Cette fonction prend deux paramètres représentant les deux vecteurs à multiplier. Faites attention à utiliser le même type pour cette opération. Vous aurez une erreur de compilation si vous essayez d'en utilisez deux différents.

Autres fonctions

Il existe encore une multitude de fonctions prédéfinies dont je ne vous ai pas parlées mais il y en a tellement que mes pauvres doigts souffriraient trop si je devais toutes vous les énumérer. :lol:

Sachez qu'il existe aussi des fonctions permettant d'effectuer des calculs sur les matrices comme le calcul du déterminant, d'inversion, etc. Il en existe aussi qui permettent de faire des opérations 'classiques' comme les arrondis, les valeurs absolues, les modulos, etc. Le GLSL contient une véritable bibliothèque couteau-suisse pour les calculs mathématiques dont est inspirée la librairie GLM.

Dernier point à préciser : rappelez-vous que les shaders s'exécutent autant de fois qu'il y a de vertices/pixels, donc potentiellement des millions de fois par seconde. Il est donc préférable d'utiliser les fonctions prédéfinies à la place des nôtres quand on le peut.

Nous avons fait le tour du langage de programmation qu'est l'OpenGL Shading Language.

Nous connaissons les types de variables que l'on peut utiliser, les structures de contrôle comme les conditions, les boucles, etc. Nous avons vu en somme sa syntaxe globale; syntaxe qui se rapproche beaucoup de C/C++, les développeurs ont tout fait pour faciliter son apprentissage.

Nous nous servirons de ce langage pour coder tous nos futurs codes sources. D'ailleurs, nous allons commencer tout de suite dans le chapitre suivant en programmant notre premier shader ! :D


Les structures de contrôle Les shaders démystifiés (Partie 1/2)

Les shaders démystifiés (Partie 1/2)

Fonctions prédéfinies Préparation

Nous voici arrivés (enfin !) au chapitre qui va nous permettre de créer nos propres shaders. Nous avons appris la syntaxe du langage de programmation GLSL et nous savons même comment compiler des codes sources l'utilisant.

Aujourd'hui, nous allons lever le voile sur les dernières zones d'ombres qui subsistent dans nos programmes, notamment en étudiant tous les petits fichiers sources que l'on utilisés depuis le début. Nous en profiterons pour jouer un peu avec afin de créer nos premiers effets personnalisés. Ils seront un peu basiques certes, mais il faut bien commencer par quelque chose. ^^

J'ai préféré couper ce chapitre en deux car il était trop lourd à suivre en une seule fois. A la place, vous aurez le droit à deux chapitres plus petits dans lesquels vous vous sentirez moins étouffés.

Préparation

Les shaders démystifiés (Partie 1/2) Premier shader

Préparation

Dans ce chapitre, nous allons nous concentrer sur les premiers shaders que nous avons utilisés au début du tuto. Exit donc les matrices et la caméra, nous verrons ça dans le prochain chapitre. Il vaut mieux ne pas s'en occuper pour le moment car si je vous montre tout d'un coup, vous risquez de vous emmêler les pinceaux. :p Il vaut mieux y aller en douceur. Mais ne vous inquiétez pas, nous en verrons assez pour faire nos premiers essais dans la programmation GLSL.

Avant de commencer, il va nous falloir nettoyer un peu la boucle principale en enlevant la gestion des matrices et de la caméra. Cependant, nous allons devoir conserver l'utilisation du VBO et du VAO car ceux-ci sont obligatoirement demandés par la version 3.3 d'OpenGL.

Nous testerons nos premières sources sur un petit carré à 2 dimensions pour le moment vu que les matrices ne sont pas encore utilisables. Nous finirons sur des cubes et des pyramides dans le chapitre suivant.

Bref pour commencer, je vous demande de vider votre méthode bouclePrincipale() de tout son contenu précédent. Ajoutez-y ensuite les vertices de notre petit carré :

void SceneOpenGL::bouclePrincipale()
{
    // Vertices 

    float vertices[] = {-0.5, -0.5,   0.5, -0.5,   0.5, 0.5,    // Triangle 1
                        -0.5, -0.5,   -0.5, 0.5,   0.5, 0.5};   // Triangle 2
}

Ce carré ne sera pas minuscule ne vous inquiétez pas. Vu que nous n'utilisons pas la caméra il faut revenir à l'ancien repère où les coordonnées sont comprises dans l'intervalle [-1; 1]. Si vous faites un carré dépassant cette taille alors il prendra toute votre fenêtre.

Enfin, maintenant qu'on déclaré nos vertices, nous pouvons passer à l'implémentation du VBO. Il n'y a qu'un seul tableau à envoyer pour le moment donc le calcul de sa taille sera simple. L'espace mémoire à allouer fait donc 3 vertices x 2 coordonnées x 2 triangles = 12 cases :

// VBO et taille des données

GLuint vbo;
int tailleVerticesBytes = 12 * sizeof(float);

Une fois la taille définie, on peut allouer VBO :

// Génération du VBO

glGenBuffers(1, &vbo);


// Verrouillage

glBindBuffer(GL_ARRAY_BUFFER, vbo);


    // Allocation

    glBufferData(GL_ARRAY_BUFFER, tailleVerticesBytes, 0, GL_STATIC_DRAW);


// Déverrouillage

glBindBuffer(GL_ARRAY_BUFFER, 0);

Puis, on peut le remplir avec les vertices :

// Allocation

glBufferData(GL_ARRAY_BUFFER, tailleVerticesBytes, 0, GL_STATIC_DRAW);


// Remplissage

glBufferSubData(GL_ARRAY_BUFFER, 0, tailleVerticesBytes, vertices);

Nous avons vu ce code dans le chapitre sur les VBO, il ne devrait pas vous poser de problème. ;)

Ce qui nous donne pour le moment :

void SceneOpenGL::bouclePrincipale()
{
    // Vertices 

    float vertices[] = {-0.5, -0.5,   0.5, -0.5,   0.5, 0.5,    // Triangle 1
                        -0.5, -0.5,   -0.5, 0.5,   0.5, 0.5};   // Triangle 2



    /* ***** Gestion du VBO ***** */


    GLuint vbo;
    int tailleVerticesBytes = 12 * sizeof(float);


    // Génération du VBO

    glGenBuffers(1, &vbo);


    // Verrouillage

    glBindBuffer(GL_ARRAY_BUFFER, vbo);


        // Remplissage

        glBufferData(GL_ARRAY_BUFFER, tailleVerticesBytes, 0, GL_STATIC_DRAW);
        glBufferSubData(GL_ARRAY_BUFFER, 0, tailleVerticesBytes, vertices);


    // Déverrouillage du VBO

    glBindBuffer(GL_ARRAY_BUFFER, 0);
}

On passe maintenant au VAO. On commence évidemment par lui générer un ID :

// VAO

GLuint vao;


// Génération du VAO

glGenVertexArrays(1, &vao);

Nous devons mettre à l'intérieur tous nos appels aux tableaux Vertex Attrib (activation comprise). Pour le moment, nous n'avons que celui des vertices à appeler donc c'est assez simple.

D'ailleurs en parlant de ça, faites attention aux paramètres de ce tableau car nos vertices possèdent 2 coordonnées et non 3. Affectez donc la valeur 2 au paramètre size :

// Verrouillage du VAO

glBindVertexArray(vao);


    // Verrouillage du VBO

    glBindBuffer(GL_ARRAY_BUFFER, vbo);


        // Vertex Attrib 0 (Vertices)

        glVertexAttribPointer(0, 2, GL_FLOAT, GL_FALSE, 0, BUFFER_OFFSET(0));
        glEnableVertexAttribArray(0);


    // Déverrouillage du VBO

    glBindBuffer(GL_ARRAY_BUFFER, 0);


// Déverrouillage du VAO

glBindVertexArray(0);

Si on résume tout ça :

void SceneOpenGL::bouclePrincipale()
{
    // Vertices 

    float vertices[] = {-0.5, -0.5,   0.5, -0.5,   0.5, 0.5,    // Triangle 1
                        -0.5, -0.5,   -0.5, 0.5,   0.5, 0.5};   // Triangle 2



    /* ***** Gestion du VBO ***** */


    GLuint vbo;
    int tailleVerticesBytes = 12 * sizeof(float);


    // Génération du VBO

    glGenBuffers(1, &vbo);


    // Verrouillage

    glBindBuffer(GL_ARRAY_BUFFER, vbo);


        // Remplissage

        glBufferData(GL_ARRAY_BUFFER, tailleVerticesBytes, 0, GL_STATIC_DRAW);
        glBufferSubData(GL_ARRAY_BUFFER, 0, tailleVerticesBytes, vertices);


    // Déverrouillage du VBO

    glBindBuffer(GL_ARRAY_BUFFER, 0);

 

    /* ***** Gestion du VAO ***** */


    GLuint vao;
    glGenVertexArrays(1, &vao);


    // Verrouillage du VAO

    glBindVertexArray(vao);


        // Verrouillage du VBO

        glBindBuffer(GL_ARRAY_BUFFER, vbo);


            // Vertex Attrib 0 (Vertices)

            glVertexAttribPointer(0, 2, GL_FLOAT, GL_FALSE, 0, BUFFER_OFFSET(0));
            glEnableVertexAttribArray(0);


        // Déverrouillage du VBO

        glBindBuffer(GL_ARRAY_BUFFER, 0);


    // Déverrouillage du VAO

    glBindVertexArray(0);
}

Pfiouuu, tout ce code pour envoyer deux simples triangles ! :lol:

Et encore ce n'est pas fini, il nous manque toujours la boucle while. On commence à bien la connaitre celle-la :

// Variables relatives au framerate

unsigned int frameRate (1000 / 50);
Uint32 debutBoucle(0), finBoucle(0), tempsEcoule(0);


// Boucle principale

while(!m_input.terminer())
{
    // Gestion des évènements, etc.

    .... 
}

On inclut évidemment le code de gestion des évèndments :

// Boucle principale

while(!m_input.terminer())
{
    // On définit le temps de début de boucle

    debutBoucle = SDL_GetTicks();


    // Gestion des évènements

    m_input.updateEvenements();

    if(m_input.getTouche(SDL_SCANCODE_ESCAPE))
       break; 


    // Rendu 

    ....



    // Calcul du temps écoulé

    finBoucle = SDL_GetTicks();
    tempsEcoule = finBoucle - debutBoucle;


    // Si nécessaire, on met en pause le programme

    if(tempsEcoule < frameRate)
        SDL_Delay(frameRate - tempsEcoule);  
}

Et enfin, on rajoute le code permettant de nettoyer et d'actualiser ce qui est affiché à l'écran :

// Boucle principale

while(!m_input.terminer())
{
    // On définit le temps de début de boucle

    debutBoucle = SDL_GetTicks();


    // Gestion des évènements

    m_input.updateEvenements();

    if(m_input.getTouche(SDL_SCANCODE_ESCAPE))
       break; 


    // Nettoyage de l'écran

    glClear(GL_COLOR_BUFFER_BIT | GL_DEPTH_BUFFER_BIT);




    /* *** Rendu *** */




    // Actualisation de la fenêtre

    SDL_GL_SwapWindow(m_fenetre);


    // Calcul du temps écoulé

    finBoucle = SDL_GetTicks();
    tempsEcoule = finBoucle - debutBoucle;


    // Si nécessaire, on met en pause le programme

    if(tempsEcoule < frameRate)
        SDL_Delay(frameRate - tempsEcoule);  
}

Il ne reste plus qu'à afficher notre rendu. Celui-ci va être très simple car il suffit de verrouiller le VAO, puis d'appeler la fonction glDrawArrays() :

// Verrouillage du VAO

glBindVertexArray(vao);


// Rendu

glDrawArrays(GL_TRIANGLES, 0, 6);


// Déverrouillage du VAO

glBindVertexArray(0);

Ah dernier point, il faut penser à détruire le VBO et le VAO une fois la boucle terminée. ;)

// Destruction du VAO et du VBO

glDeleteBuffers(1, &vbo);
glDeleteVertexArrays(1, &vao);

Récap final :

void SceneOpenGL::bouclePrincipale()
{
    // Vertices

    float vertices[] = {-0.5, -0.5,   0.5, -0.5,   0.5, 0.5,    // Triangle 1
                        -0.5, -0.5,   -0.5, 0.5,   0.5, 0.5};   // Triangle 2



    /* ***** Gestion du VBO ***** */


    GLuint vbo;
    int tailleVerticesBytes = 12 * sizeof(float);


    // Génération du VBO

    glGenBuffers(1, &vbo);


    // Verrouillage

    glBindBuffer(GL_ARRAY_BUFFER, vbo);


        // Remplissage

        glBufferData(GL_ARRAY_BUFFER, tailleVerticesBytes, 0, GL_STATIC_DRAW);
        glBufferSubData(GL_ARRAY_BUFFER, 0, tailleVerticesBytes, vertices);


    // Déverrouillage

    glBindBuffer(GL_ARRAY_BUFFER, 0);



    /* ***** Gestion du VAO ***** */


    GLuint vao;


    // Génération du VAO

    glGenVertexArrays(1, &vao);


    // Verrouillage du VAO

    glBindVertexArray(vao);


        // Verrouillage du VBO

        glBindBuffer(GL_ARRAY_BUFFER, vbo);


            // Vertex Attrib 0 (Vertices)

            glVertexAttribPointer(0, 2, GL_FLOAT, GL_FALSE, 0, BUFFER_OFFSET(0));
            glEnableVertexAttribArray(0);


        // Déverrouillage du VBO

        glBindBuffer(GL_ARRAY_BUFFER, 0);


    // Déverrouillage du VAO

    glBindVertexArray(0);


    // Variables relatives au framerate

    unsigned int frameRate (1000 / 50);
    Uint32 debutBoucle(0), finBoucle(0), tempsEcoule(0);


    // Boucle principale

    while(!m_input.terminer())
    {
        // On définit le temps de début de boucle

        debutBoucle = SDL_GetTicks();


        // Gestion des évènements

        m_input.updateEvenements();

        if(m_input.getTouche(SDL_SCANCODE_ESCAPE))
           break;


        // Nettoyage de l'écran

        glClear(GL_COLOR_BUFFER_BIT | GL_DEPTH_BUFFER_BIT);


        // Verrouillage du VAO

        glBindVertexArray(vao);


        // Rendu

        glDrawArrays(GL_TRIANGLES, 0, 6);


        // Déverrouillage du VAO

        glBindVertexArray(0);


        // Actualisation de la fenêtre

        SDL_GL_SwapWindow(m_fenetre);


        // Calcul du temps écoulé

        finBoucle = SDL_GetTicks();
        tempsEcoule = finBoucle - debutBoucle;


        // Si nécessaire, on met en pause le programme

        if(tempsEcoule < frameRate)
            SDL_Delay(frameRate - tempsEcoule);
    }


    // Destruction du VAO et du VBO

    glDeleteBuffers(1, &vbo);
    glDeleteVertexArrays(1, &vao);
}

Nous avons maintenant un code propre sur lequel nous pouvons nous exercer. Nous augmenterons son contenu au fur et à mesure jusqu'à réintégrer les matrices, la caméra et les textures.

J'ai préféré faire une partie dédiée pour cela, en vous expliquant chaque étape, plutôt que de vous jeter le code d'un coup. Vous connaissez absolument tout ce qui se trouve à l'intérieur, il n'y a rien de nouveau (pour le moment). ^^


Les shaders démystifiés (Partie 1/2) Premier shader

Premier shader

Préparation Gestion de la couleur

Affichage simple

Chargement

Il est enfin temps de programmer notre premier shader, celui-ci sera très basique car il ne se contentera que d'afficher le carré à l'écran. Dans un premier temps nous lui donnerons la couleur blanche, nous gèrerons les autres couleurs petit à petit.

Pour commencer, je vais vous demander de vider complétement le dossier Shaders de votre projet afin d'enlever tous les précédents codes sources. Une fois fait, créez à la main deux nouveaux fichiers qui porteront le nom de basique2D.vert et basique2D.frag. Ensuite, déclarez un objet de type Shader dans la méthode bouclePrincipale() avec en paramètres le chemin vers ces fichiers :

void SceneOpenGL::bouclePrincipale()
{
    // Shader

    Shader shader("Shaders/basique2D.vert", "Shaders/basique2D.frag");
    shader.charger();


    // Vertices 

    float vertices[] = {-0.5, -0.5,   0.5, -0.5,   0.5, 0.5,    // Triangle 1
                        -0.5, -0.5,   -0.5, 0.5,   0.5, 0.5};   // Triangle 2


    ....
}

Activez-le ensuite au moment du rendu de façon à ce qu'il soit prit en compte par OpenGL :

// Activation du shader

glUseProgram(shader.getProgramID());


    // Rendu

    glBindVertexArray(vao);

        glDrawArrays(GL_TRIANGLES, 0, 6);

    glBindVertexArray(0);


// Désactivation du shader

glUseProgram(0);

Le Vertex Shader

Nos outils sont en place et les fichiers sont crées ... Nous pouvons maintenant passer à la programmation du code source.

Nous commencerons par celui du Vertex Shader car c'est celui-ci qu'OpenGL appellera en premier dans le pipeline 3D. Son rôle consiste à prendre un vertex (avec la couleur et les coordonnées de texture qui lui sont associées) pour travailler dessus.

Son code source commencera par l'utilisation de la balise #version, pour indiquer la version du GLSL utilisée, suivie par la fonction main() :

// Version du GLSL

#version 150 core


// Fonction main

void main()
{

}

Pour la suite, nous aurons besoin d'une notion que l'on a déjà vue précédemment : les entrées shader. Nous avons évoqué ce terme il y a à peine deux chapitres quand nous parlions du linkage du shader. Nous utilisions alors la fonction glBindAttribLocation() qui permettait de créer une passerelle entre un tableau Vertex Attrib et sa variable présente dans le GLSL.

Pour les vertices par exemple, le nom de cette variable était in_Vertex :

Image utilisateur

Nous avons utilisé la fonction glBindAttribLocation() pour verrouiller cette entrée, donc la variable in_Vertex est accessible dans notre code source. D'ailleurs, les autres variables comme in_Color sont elles aussi accessibles, nous verrons cela un peu plus loin. ;)

Pour utiliser in_Vertex, il faut déclarer une variable globale portant son nom. Je dis bien globale parce qu'elle doit être déclarée en dehors de la fonction main(). Elle doit être représentée par un type vec dont le nombre de coordonnées dépend de celui renseigné dans le tableau Vertex Attrib. Dans notre cas, nos vertices possèdent 2 coordonnées, donc in_Vertex sera de type vec2 :

// Version du GLSL

#version 150 core


// Entrée Shader

vec2 in_Vertex;


// Fonction main

void main()
{

}

Cette déclaration n'est pas encore tout à fait complète. En effet, si nous la laissons ainsi, OpenGL croira qu'il s'agit d'une variable normale sans aucun rapport avec les tableaux Vertex Attrib. Pour corriger ça, il faut lui ajouter le mot-clef in juste avant son type :

// Version du GLSL

#version 150 core


// Entrée Shader

in vec2 in_Vertex;


// Fonction main

void main()
{

}

Grâce à ce mot-clef, OpenGL saura que cette variable est reliée à un tableau VertexAttrib.

Enfin, maintenant que l'on a récupéré le vertex en cours, il faut l'utiliser pour qu'il puisse servir à quelque chose. :p Pour cela, nous allons affecter son contenu à une variable prédéfinie dans le GLSL (comme les fonctions mathématiques) qui se nomme gl_Position :

vec4 gl_Position;

Cette variable est prédéfinie dans le GLSL, nous n'avons donc pas besoin de la déclarer en in. Elle permet, entre autres, de définir la position finale du vertex à l'écran, elle demande pour ça le contenu de la variable in_Vertex.

La seule difficulté que l'on peut rencontrer lors de cette affectation concerne le conflit de type entre les deux variables. En effet, in_Vertex est de type vec2 alors que gl_Position est de type vec4. Cependant, vous devriez savoir comment surmonter ce problème non ? ;)

Pour combler ce manque de coordonnées, il suffit simplement d'utiliser un constructeur ! Et plus précisément, le constructeur vec4(). Nous lui donnerons la variable in_Vertex ainsi que deux autres coordonnées égales à 0.0 pour Z, car le carré n'est qu'en 2D pour le moment, et 1.0 pour W.

La coordonnée W d'un vertex est un peu spéciale. Si vous mettez d'autres valeurs comme 2.0 par exemple, vous remarquerez que la taille de votre rendu sera divisée par deux. Pour conserver une taille normale, il faut laisser la valeur 1.0 à W. C'est ce que nous ferons pour tous nos shaders.

// Position finale du vertex

gl_Position = vec4(in_Vertex, 0.0, 1.0);

Ce qui donne :

// Version du GLSL

#version 150 core


// Entrée Shader

in vec2 in_Vertex;


// Fonction main

void main()
{
    // Position finale du vertex

    gl_Position = vec4(in_Vertex, 0.0, 1.0);
}

Je vous avais dit que les constructeurs étaient utiles. :p

Et voilà ! Notre premier Vertex Shader est terminé ! Certes, il ne fait pas grand chose mais au moins il fait exactement ce qu'on veut : il définit la position d'un vertex à l'écran. Sachez que ce bout de code sera présent dans TOUS vos futurs shaders, quelque soit leur complexité.

Les Entrées-Sorties

Avant d'aller plus loin dans le développement des codes sources, j'aimerais que l'on voit ensemble le fonctionnement des entrées-sorties au niveau des shaders. Vous connaissez déjà le mot-clé in qui permet de définir des données entrantes. Sachez qu'il existe aussi son opposé, le mot-clef out, qui permet de définir des données sortantes.

Ces termes sont assez subtiles car ils ne signifient pas la même chose en fonction du shader où ils sont utilisés.

Pour le Vertex Shader, ils signifient :

Pour le Fragment Shader, ces termes signifient :

Vous voyez qu'il y a une différence selon le shader qu'on utilise, faites bien la différence.

La variable gl_Position est un peu spéciale et ne fait pas partie de ce système d'entrées-sorties, elle est spécifique au Vertex Shader. Il y en a quelques unes comme ça mais c'est la la seule vraiment importante.

Le Fragment Shader

On passe maintenant au Fragment Shader. Celui-ci permet de définir la couleur de chaque pixel d'une surface affichée. Si vous avez utilisé une résolution de 800x600 pour votre fenêtre alors votre carte graphique devra gérer 120 000 pixels pour votre carré ! Non non vous ne rêvez pas, votre Fragment Shader devra gérer 120 000 pixels différent et cela 60 fois par seconde. :p

Mais ne vous inquiétez pas, elle est justement faite pour ça. Pour vous dire, 120 000 c'est un nombre extrêmement petit, elle en gère beaucoup plus dans des applications développées.

Enfin, le code source du Fragment Shader commence par la même chose que précédemment : la balise #version et la fonction main().

// Version du GLSL

#version 150 core


// Fonction main

void main()
{

}

Contrairement au Vertex Shader, nous n'aurons pas (pour le moment) de variable d'entrée ici, nous n'aurons donc pas besoin d'utiliser le mot-clef in. En revanche, nous devrons gérer une variable de sortie, donc nous devrons utiliser le mot-clef out.

Comme nous l'avons vu juste avant, la sortie d'un Fragment Shader correspond à la couleur finale du pixel. Il s'agit d'une variable vec4 tout comme gl_Position sauf que cette fois-ci elle n'est pas prédéfinie, nous devons la déclarer nous-même. Nous l'appellerons out_Color :

// Version du GLSL

#version 150 core


// Sortie Shader

out vec4 out_Color;


// Fonction main

void main()
{

}

Cette variable demande 4 valeurs représentant les composantes RGBA d'une couleur. Chaque valeur doit être comprise entre 0 et 1, comme lorsque nous utilisions le tableau Vertex Attrib au début du tuto.

Pour affecter ces composantes à la variable out_Color, nous aurons besoin une fois de plus du constructeur vec4(). Pour le moment, nous leur affecterons 4 fois la valeur 1.0 de façon à avoir la couleur blanche :

void main()
{
    // Couleur finale du pixel

    out_Color = vec4(1.0, 1.0, 1.0, 1.0);
}

Ce qui donne :

// Version du GLSL

#version 150 core


// Sortie Shader

out vec4 out_Color;


// Fonction main

void main()
{
    // Couleur finale du pixel

    out_Color = vec4(1.0, 1.0, 1.0, 1.0);
}

Et là, vous pouvez enfin compiler pour voir ce que ça donne :

Image utilisateur

Félicitation, vous venez de programmer votre premier shader ! Champagne ! :D

Ce qu'il faut absolument retenir

Avant de passer à la suite, j'aimerais faire un petit point sur ce que vous devez absolument retenir de cette partie.

En ce qui concerne le Vertex Shader, vous devez savoir que :

En ce qui concerne le Fragment Shader, vous devez savoir que :

Il faut absolument que vous connaissez ces points par cœur. Ce sont vraiment les bases de la programmation GLSL. ;)

Utilisation de couleur

Changer de couleur

Le blanc n'est évidemment pas la seule couleur que l'on peut utiliser. Pour en prendre une autre, il suffit simplement de changer les valeurs données à la variable out_Color.

Par exemple, pour afficher le carré avec la couleur bleue, nous pouvons affecter les valeurs RGB : 0.0, 0.0, 1.0. Pour la valeur Alpha, il vaut mieux la laisser à 1.0 pour le moment, quelque soit la couleur que l'on veut utiliser :

// Version du GLSL

#version 150 core


// Sortie Shader

out vec4 out_Color;


// Fonction main

void main()
{
    // Couleur finale du pixel

    out_Color = vec4(0.0, 0.0, 1.0, 1.0);
}

Si vous relancez le projet (sans le compiler ;) ), vous devriez avoir ceci :

Image utilisateur

Exercices

Allez, je vais vous donner vos premiers exercices utilisant la programmation en GLSL. Ils sont très simples. ^^

Exercice 1 : Coloriez le carré en rouge.

Exercice 2 : Coloriez le carré en violet/rose (avec les composantes rouge et bleu).

Exercice 3 : Coloriez le carré en jaune.

Exercice 4 : Coloriez le carré en gris (n'importe quelle nuance).

Solutions

Exercice 1 :

Il n'y a que le Fragment Shader à modifier (pour les 4 exercices), l'autre ne change absolument pas. ;)

// Version du GLSL

#version 150 core


// Sortie Shader

out vec4 out_Color;


// Fonction main

void main()
{
    // Couleur finale du pixel

    out_Color = vec4(1.0, 0.0, 0.0, 1.0);
}

Exercice 2 :

// Version du GLSL

#version 150 core


// Sortie Shader

out vec4 out_Color;


// Fonction main

void main()
{
    // Couleur finale du pixel

    out_Color = vec4(1.0, 0.0, 1.0, 1.0);
}

Exercice 3 :

// Version du GLSL

#version 150 core


// Sortie Shader

out vec4 out_Color;


// Fonction main

void main()
{
    // Couleur finale du pixel

    out_Color = vec4(1.0, 1.0, 0.0, 1.0);
}

Exercice 4 :

// Version du GLSL

#version 150 core


// Sortie Shader

out vec4 out_Color;


// Fonction main

void main()
{
    // Couleur finale du pixel

    out_Color = vec4(0.5, 0.5, 0.5, 1.0);
}

Préparation Gestion de la couleur

Gestion de la couleur

Premier shader Les shaders démystifiés (Partie 2/2)

Préparation

Changement de shader

Avant toute chose, vu que nous ajoutons une nouvelle fonctionnalité à notre rendu il nous faut donc créer un nouveau shader. Créons donc deux nouveaux fichiers appelés couleur2D.vert et couleur2D.frag dans le dossier Shaders.

Il nous faut ensuite ajouter leur chemin dans notre objet shader :

void SceneOpenGL::bouclePrincipale()
{
    // Shader

    Shader shader("Shaders/couleur2D.vert", "Shaders/couleur2D.frag");
    shader.charger();

    ....
}

Déclaration du tableau de couleurs

Il y a bien longtemps, dans une galaxy loin..., nous utilisions des tableaux de couleurs pour afficher nos modèles. Nous ne connaissions pas encore les textures, c'était alors le seul moyen d'afficher quelque chose de non-blanc à l'écran.

Pour fonctionner correctement, il fallait affecter une couleur pour chaque vertex et chacune d'elles possédait 3 composantes (Rouge Vert Bleu):

// Exemple de couleur

float rouge = {1.0, 0.0, 0.0);

Dans notre code test actuel nous avons 6 vertices, nous aurons donc besoin d'un tableau de 6 couleurs x 3 composantes soit 18 cases. Nous utiliserons la couleur bleu pour le premier triangle et le rouge pour le second :

void SceneOpenGL::bouclePrincipale()
{
    // Shader

    ....



    // Vertices 

    float vertices[] = {-0.5, -0.5,   0.5, -0.5,   0.5, 0.5,    // Triangle 1
                        -0.5, -0.5,   -0.5, 0.5,   0.5, 0.5};   // Triangle 2


    // Couleurs

    float couleurs[] = {0.0, 0.0, 1.0,   0.0, 0.0, 1.0,   0.0, 0.0, 1.0,    // Triangle 1
                        1.0, 0.0, 0.0,   1.0, 0.0, 0.0,   1.0, 0.0, 0.0};   // Triangle 2


    ....
}

Avec ce tableau, chacun de nos vertices aura sa propre couleur.

Gestion du VBO et du VAO

Bien évidemment, déclarer un tableau comme ça ne sert pas à grand chose, il faut l'intégrer au VBO et au VAO.

Pour ce qui est du premier, il va falloir le redimensionner car il ne peut accueillir que les vertices pour le moment. On commence donc pas créer une variable tailleCouleursBytes qui contiendra la taille du tableau de couleurs en bytes :

// VBO et taille des données

GLuint vbo;

int tailleVerticesBytes = 12 * sizeof(float);
int tailleCouleursBytes = 18 * sizeof(float);

On redimensionne ensuite le VBO en additionnant les deux tailles de données :

// Nouvelle taille du VBO

glBufferData(GL_ARRAY_BUFFER, tailleVerticesBytes + tailleCouleursBytes, 0, GL_STATIC_DRAW);

Et enfin, on le remplie avec le tableau de couleurs :

// Envoi des données

glBufferSubData(GL_ARRAY_BUFFER, 0, tailleVerticesBytes, vertices);
glBufferSubData(GL_ARRAY_BUFFER, tailleVerticesBytes, tailleCouleursBytes, couleurs);

Au niveau du VAO, nous devons juste appeler puis activer le tableau Vertex Attrib 1 qui correspond à l'envoi des couleurs :

// Verrouillage du VAO

glBindVertexArray(vao);


    // Verrouillage du VBO

    glBindBuffer(GL_ARRAY_BUFFER, vbo);


        // Vertex Attrib 0 (Vertices)

        glVertexAttribPointer(0, 2, GL_FLOAT, GL_FALSE, 0, BUFFER_OFFSET(0));
        glEnableVertexAttribArray(0);


        // Vertex Attrib 1 (Couleurs)

        glVertexAttribPointer(1, 3, GL_FLOAT, GL_FALSE, 0, BUFFER_OFFSET(tailleVerticesBytes));
        glEnableVertexAttribArray(1);


    // Déverrouillage du VBO

    glBindBuffer(GL_ARRAY_BUFFER, 0);


// Déverrouillage du VAO

glBindVertexArray(0);

Gestions des shaders

Le Vertex Shader

Contrairement à ce qu'on pourrait penser au premier abord, les couleurs ne sont absolument pas envoyées au Fragment Shader mais bel et bien au Vertex Shader. C'est lui qui récupère toutes les données issues des tableaux Vertex Attrib. Si nous voulons travailler sur les pixels avec une couleur envoyée, alors il faudra la transférer manuellement au Fragment Shader.

Cependant, avant de faire cela il va falloir la récupérer dans notre source, tout comme nous l'avons fait avec le vertex (in_Vertex). La variable qui permet d'accéder aux couleurs s'appelle in_Color, nous l'avions appelée ainsi lors du linkage du shader. Vu qu'elle possède 3 composantes RGB alors elle sera de type vec3. Si nous avions spécifié la valeur Alpha dans le tableau de couleurs, elle aurait été de type vec4.

// Entrée Shader

in vec3 in_Color;

Ce qui donne le code source suivant :

// Version du GLSL

#version 150 core


// Entrées

in vec2 in_Vertex;
in vec3 in_Color;


// Fonction main

void main()
{
    // Position finale du vertex

    gl_Position = vec4(in_Vertex, 0.0, 1.0);
}

Maintenant que l'on a récupéré la couleur du vertex, nous allons pouvoir l'envoyer au Fragment Shader. Pour cela, nous allons utiliser ..... une variable out !

Et oui, rappelez-vous que les variables out du Vertex Shader sont automatiquement envoyées au shader suivant. La seule condition pour pouvoir les utiliser est qu'elles doivent être strictement identiques dans les deux codes sources. C'est-à-dire qu'elles doivent avoir le même type et surtout le même nom. Si vous ne respectez pas l'une de ces deux conditions, alors OpenGL ne fera pas le lien entre les deux. ;)

Pour envoyer notre couleur donc, nous devons utiliser une variable out qui sera du type vec3 de façon à pouvoir envoyer toutes les composantes. Nous l'appellerons simplement color :

// Sortie

out vec3 color;

Ce qui donne le code suivant :

// Version du GLSL

#version 150 core


// Entrées

in vec2 in_Vertex;
in vec3 in_Color;


// Sortie

out vec3 color;


// Fonction main

void main()
{
    // Position finale du vertex

    gl_Position = vec4(in_Vertex, 0.0, 1.0);
}

Pourquoi on ne l'appelle pas out_Color ? Vu qu'elle sort du shader on peut la nommer ainsi ?

Vous pouvez certes, mais il y aura un petit problème de logique. En effet, je vous ai dit qu'elle doit avoir le même nom dans les deux codes sources, ce qui voudrait dire que la variable d'entrée in du Fragment Shader aurait un nom qui commencerait pas out_ ? Ce n'est pas logique évidemment. ^^

Enfin bref, maintenant que nous avons un moyen de communiquer avec le Fragment Shader, nous allons pouvoir lui envoyer le contenu de la variable in_Color. Nous n'avons pas besoin de constructeur vu qu'elles sont de même type :

void main()
{
    // Position finale du vertex

    gl_Position = vec4(in_Vertex, 0.0, 1.0);


    // Envoi de la couleur au Fragment Shader

    color = in_Color;
}

Ce qui donne le code source final :

// Version du GLSL

#version 150 core


// Entrées

in vec2 in_Vertex;
in vec3 in_Color;


// Sortie

out vec3 color;


// Fonction main

void main()
{
    // Position finale du vertex

    gl_Position = vec4(in_Vertex, 0.0, 1.0);


    // Envoi de la couleur au Fragment Shader

    color = in_Color;
}

Et voilà, Vertex Shader terminé. :D

Le Fragment Shader

La Fragment Shader va être très simple à programmer car il ne fera que récupérer une couleur pour la renvoyer ensuite dans une variable de sortie out.

La première chose à faire va être de re-déclarer la variable color qui sort du Vertex Shader précédent. Et comme vous le savez maintenant, elle doit être exactement identique au code source précédent. On conserve donc le même type et le même nom, la seule différence va être le mot-clef utilisé car elle ne sort pas mais elle rentre dans le Fragment Shader. On utilise donc non pas le mot-clef out mais in :

// Entrée

in vec3 color;

Ce qui donne :

// Version du GLSL

#version 150 core


// Entrée

in vec3 color;


// Sortie 

out vec4 out_Color;


// Fonction main

void main()
{
    // Couleur finale du pixel

    out_Color = vec4(1.0, 1.0, 1.0, 1.0);
}

Le nom et le type sont respectés, la variable color est donc utilisable. D'ailleurs, nous allons l'utiliser tout de suite en enlevant le code de la couleur blanc pour affecter son contenu à la variable out_Color.

Si vous faites attention, vous remarquerez qu'il y a un conflit de type entre les deux variables. En effet, l'une est de type vec3 alors que l'autre est de type vec4. Pour régler ce problème, il va falloir utiliser .... un constructeur, encore une fois ! ^^

Et pour mon plus grand plaisir, je vais vous demander de convertir la variable color vous-même. Ce n'est pas compliqué bien sûr, nous avons déjà fait cet opération plusieurs fois, vous devez juste convertir un vec3 et vec4 en rajoutant la composante Alpha (1.0).

.....

Vous avez trouvé ?

Voici la solution :

void main()
{
    // Couleur finale du pixel

    out_Color = vec4(color, 1.0);
}

Il ne manque qu'une coordonnée au vec3 pour devenir un vec4. On appelle donc le bon constructeur en ajoutant la composante Alpha à la variable color. Le résultat sera une variable de type vec4.

Ce qui donne le code source final :

// Version du GLSL

#version 150 core


// Entrée

in vec3 color;


// Sortie 

out vec4 out_Color;


// Fonction main

void main()
{
    // Couleur finale du pixel

    out_Color = vec4(color, 1.0);
}

Vous pouvez maintenant relancer votre projet, vous devriez avoir le résultat suivant :

Image utilisateur

Notre shader est maintenant capable de gérer les couleurs. :D Vous pouvez même changer le tableau des composantes pour vérifier que tout fonctionne correctement :

float couleurs[] = {0.5, 1.0, 0.0,   0.5, 1.0, 0.0,   0.5, 1.0, 0.0,    // Triangle 1
                    0.5, 0.0, 1.0,   0.5, 0.0, 1.0,   0.5, 0.0, 1.0};   // Triangle 2
Image utilisateur

Exercices

Énoncés

On continue notre petite vague d'exercices à l'instar de la partie précédente. Je vais monter un peu le niveau cette fois, il faudra réfléchir un peu plus. :p

Exercice 1 : Ajoutez la composante Alpha pour chaque couleur dans le tableau couleurs. Modifiez ensuite le shader pour gérer les couleurs entrantes à 4 composantes. (Pensez à modifier le VBO et le VAO pour prendre en compte la nouvelle composante.)

Exercice 2 : Inversez la couleur entrante dans le Fragment Shader avant de l'affecter à la couleur sortante. Pour vous donner un indice : inverser une couleur revient à inverser l'ordre des composantes en passant de l'ordre RGB à BGR. La composante Alpha reste cependant toujours à la fin. Vous pouvez reprendre le code de l’exercice précédent, ou utiliser celui du cours.

Exercice 3 : Oubliez complétement le tableau de couleurs et créez une variable maCouleur (à la place de Color) de type vec4 dans le Vertex Shader. Ses composantes doivent permettre d'afficher du bleu. L'objectif est d'envoyer cette variable au Fragment Shader à la place des données issues du tableau Vertex Attrib.

Exercice 4 : Reprenez le même principe que l'exercice précédent (voire correction si besoin) sauf que la couleur à envoyer doit dépendre de l’abscisse du vertex. Si la coordonnée x est supérieure à zéro alors vous devez envoyer la couleur bleu, si elle est inférieure ou égale à zéro alors vous devez envoyer la couleur rouge.

Solutions

Exercice 1 :

Pour ajouter la composante Alpha aux couleurs, il suffit de rajouter la valeur 1.0 au tableau couleurs[] :

float couleurs[] = {0.5, 1.0, 0.0, 1.0,   0.5, 1.0, 0.0, 1.0,   0.5, 1.0, 0.0, 1.0,    // Triangle 1
                    0.5, 0.0, 1.0, 1.0,   0.5, 0.0, 1.0, 1.0,   0.5, 0.0, 1.0, 1.0};   // Triangle 2

Pensez à modifier la variable tailleCouleursBytes pour prendre en compte les nouvelles données soit 4 composantes x 3 coordonnées x 2 triangles = 24 valeurs :

// Gestion du VBO

GLuint vbo;
int tailleVerticesBytes = 12 * sizeof(float);
int tailleCouleursBytes = 24 * sizeof(float);

Pensez également à modifier le paramètre size du tableau Vertex Attrib 1 pour le passer à 4 (pour 4 composantes) :

// Vertex Attrib 1 (Couleurs)

glVertexAttribPointer(1, 4, GL_FLOAT, GL_FALSE, 0, BUFFER_OFFSET(tailleVerticesBytes));
glEnableVertexAttribArray(1);

Dans le Vertex Shader, la variable entrante in_Color n'est plus de type vec3 mais de type vec4 maintenant. La variable sortante color devient donc elle-aussi une vec4 :

// Version du GLSL

#version 150 core


// Entrées

in vec2 in_Vertex;
in vec4 in_Color;


// Sortie

out vec4 color;


// Fonction main

void main()
{
    // Position finale du vertex

    gl_Position = vec4(in_Vertex, 0.0, 1.0);


    // Envoi de la couleur au Fragment Shader

    color = in_Color;
}

Dans le Fragment Shader, on commence évidemment par changer le type de la variable color en vec4. Puis on enlève le constructeur vu qu'elle possède maintenant le même type que la variable sortante out_Color. On peut donc l'affecter normalement :

// Version du GLSL

#version 150 core


// Entrée

in vec4 color;


// Sortie 

out vec4 out_Color;


// Fonction main

void main()
{
    // Couleur finale du pixel

    out_Color = color;
}

Exercice 2 :

Pour inverser une couleur, il suffit juste d'inverser les 'sous-variables' (x, y, z) avant d'affecter la variable color à out_Color. On peut appeler le constructeur vec4() ou affecter les valeurs à la main, comme vous voulez. Mais il est préférable d'utiliser la première solution :

// Version du GLSL

#version 150 core


// Entrée

in vec4 color;


// Sortie 

out vec4 out_Color;


// Fonction main

void main()
{
    // Couleur finale du pixel

    out_Color = vec4(color.z, color.y, color.x, color.w);
}

Il y a un moyen de raccourcir encore plus ce code et même d'utiliser d'autres noms pour les composantes, mais je ne vous en parle pas maintenant pour éviter de nous embrouiller l'esprit. ^^

Le Vertex Shader n'a pas besoin d'être modifié car il ne fait qu'envoyer la couleur, il ne fait pas de traitement dessus.

Exercice 3 :

On commence par supprimer la variable Color dans le Vertex Shader pour la remplacer par une nouvelle. On la nomme maCouleur et on lui donne le type vec4. On utilise également le mot-clef out puisqu'elle sort du shader :

// Sortie

out vec4 maCouleur;

Ensuite, on lui assigne les 4 composantes permettant d'afficher du bleu :

void main()
{
    // Position finale du Vertex

    gl_Position = vec4(in_Vertex, 0.0, 1.0);


    // Envoi de la couleur au Fragment Shader

    maCouleur = vec4(0.0, 0.0, 1.0, 1.0);
}

Ce qui donne le code source :

// Version du GLSL

#version 150 core


// Entrées

in vec2 in_Vertex;
in vec4 in_Color;


// Sortie

out vec4 maCouleur;


// Fonction main

void main()
{
    // Position du vertex

    gl_Position = vec4(in_Vertex, 0.0, 1.0);


    // Envoi de la couleur au Fragment Shader

    maCouleur = vec4(0.0, 0.0, 1.0, 1.0);
}

Quant au Fragment Shader, on supprime simplement la variable inColor pour la remplacer par maCouleur afin de respecter les conditions des entrées-sorties :

// Entrée

in vec4 maCouleur;

Il ne reste plus qu'à assigner le contenu de la variable maCouleur à out_Color. On n'utilise pas de constructeur vu qu'elles sont de même type :

// Version du GLSL

#version 150 core


// Entrée

in vec4 maCouleur;


// Sortie 

out vec4 out_Color;


// Fonction main

void main()
{
    // Couleur finale du pixel

    out_Color = maCouleur;
}

Exercice 4 :

On reprend le même code que précédemment auquel on va rajouter une condition pour choisir une couleur dans le Vertex Shader. Si la coordonnée x de la variable in_Vertex est supérieure à zéro alors on assigne la couleur bleu à maCouleur. Dans le cas contraire, on assigne la couleur rouge :

// Version du GLSL

#version 150 core


// Entrées

in vec2 in_Vertex;
in vec4 in_Color;


// Sortie

out vec4 maCouleur;


// Fonction main

void main()
{
    // Position du vertex

    gl_Position = vec4(in_Vertex, 0.0, 1.0);


    // Si la coordonnée x est supérieure à 0

    if(in_Vertex.x > 0)
        maCouleur = vec4(0.0, 0.0, 1.0, 1.0);


    // Dans le cas inverse

    else
        maCouleur = vec4(1.0, 0.0, 0.0, 1.0);
}

Il n'y a rien à changer au niveau du Fragment Shader.

Télécharger (Windows, UNIX/Linux, Mac OS X) : code source C++ du chapitre sur les shaders (Partie 1/2)

Nous avons vu pas mal de choses dans ce chapitre, nous avons même appris à programmer nos premiers effets ! :D

Vous savez maintenant comment gérer les vertices du coté des shaders pour afficher quelque chose à l'écran. Vous savez même gérer les tableaux de couleur pour colorier toutes les surfaces à votre guise. Ces effets sont assez simples et ne gèrent pas la 3D mais au moins, vous avez fait vos premiers pas dans le développement de shaders.

Si vous êtes prêts, je vous invite à lire le prochain chapitre qui va nous permettre d'apprendre à intégrer la troisième dimension et afficher des textures. ^^


Premier shader Les shaders démystifiés (Partie 2/2)

Les shaders démystifiés (Partie 2/2)

Gestion de la couleur Les variables uniform

Précédemment, nous avons commencé à démystifier un peu les shaders en étudiant leur comportement dans un environnement en deux dimensions. Nous avons même vu comment gérer la couleur grâce aux tableaux Vertex Attrib et envoyer des variables d'un shader à un autre.

Ces échanges de données seront quasiment toujours présents quelque soit les effets que l'on voudra programmer. Si vous n'êtes pas à l'aise avec ça, je vous conseille vivement de relire le chapitre précédent. ;)

D'ailleurs, ce que nous allons voir aujourd'hui concerne également les échanges de données sauf qu'ici, nous parlerons d'échanges entre l'application principale (en C++) et les shaders (en GLSL). Grâce à eux, nous pourrons enfin envoyer nos matrices à nos codes sources et nous pourrons enfin gérer la 3D. :D

Nous parlerons aussi des derniers petits points à connaitre sur la programmation GLSL.

Les variables uniform

Les shaders démystifiés (Partie 2/2) Gestion de la 3D

Qu'est-ce qu'une variable uniform ?

On commence ce chapitre par une notion que l'on retrouvera dans tous les shaders un tant soit peu développés. ;)

Les variables uniform sont des variables envoyées depuis une application classique (codée en C++) jusqu'à un shader. Elles peuvent être utilisées pour envoyer tous les types de données possibles au niveau du GLSL soit les variables classiques (float, int, etc.), les vecteurs et les matrices. Nous connaissons particulièrement ce dernier cas car nous avons déjà eu l'occasion d'envoyer les fameuses matrices projection et modelview, ce qui permettait d'intégrer la troisième dimension à nos applications.

D'ailleurs lorsque nous les avons vues, je vous avais fourni deux fonctions totalement incompréhensibles qui permettaient d'envoyer des matrices aux shaders. Elles ressemblaient à ceci :

// Envoi des matrices au shader

glUniformMatrix4fv(glGetUniformLocation(shader.getProgramID(), "projection"), 1, GL_FALSE, value_ptr(projection));
glUniformMatrix4fv(glGetUniformLocation(shader.getProgramID(), "modelview"), 1, GL_FALSE, value_ptr(modelview));

Complément incompréhensible bien sûr. :p

Vous remarquerez cependant l'utilisation du terme uniform dans le nom de la fonction glUniformMatrix4fv(). Ce qui signifie que les matrices sont bien considérées comme des variables uniform. Elles arrivent donc directement dans le shader. C'est un exemple d'utilisation que l'on rencontrera tout le temps, mais les matrices ne sont pas les seules valeurs à pouvoir être envoyées comme nous allons le voir.

Envoyer une variable simple

Le mot-clef uniform

Avant d'étudier en détails les fonctions que l'on vient de voir, nous allons faire un petit détour au niveau des codes sources GLSL. Les variables uniform se comportent un peu comme les in et les out dans le sens où ils possèdent un mot-clef qui leur est propres. Ce mot-clef est simplement uniform.

Prenons un petit exemple en déclarant une variable float en tant qu'uniform :

// Version du GLSL

#version 150 core


// Variable uniform

uniform float maVariable;


// Fonction main

void main()
{
}

Ce nouveau mot-clef indique au shader que l'application enverra une variable au code source GLSL. Bien évidemment, celle-ci se comportera comme une variable classique sauf qu'on ne pourra pas la modifier. Nous pourrons toujours l'utiliser dans des opérations arithmétiques, dans des conditions, ... mais nous ne pourrons jamais modifier sa valeur directement.

Il faut savoir également qu'une variable uniform est accessible dans les deux types de shaders (Vertex et Fragment), nous n'avons donc pas besoin de les manipuler avec les entrées-sorties ni de spécifier dans quel code source les utiliser. Ça les rend plus simple à utiliser. :)

La localisation et son utilisation

On revient maintenant aux fonctions de gestion des uniform au niveau de l'application. Nous en avons rapidement survolé une que nous connaissions déjà depuis un moment et qui s’appelait glUniformMatrix4fv(). Celle-ci permet d'envoyer une matrice directement au shader.

Cependant, ce n'est pas la seule fonction qui permet d'envoyer des données. Elle possède plusieurs 'sœurs' qui prennent en compte d'autres types comme les variables simples (float, int, etc.) et les vecteurs. Tous ces cas se gèrent un peu de la même façon, il n'y a que les paramètres à utiliser qui vont changer.

D'ailleurs nous allons étudier en premier le cas des variables simples car c'est celui qui en requiert le moins. :p Nous aurons besoin pour cela d'utiliser une fonction dont le nom se rapproche fortement de celui que nous connaissons déjà. Elle s'appelle glUniform1f() :

void glUniform1f(GLint location, GLfloat value);

Le premier paramètre peut vous sembler un peu flou et c'est tout à fait normal. Pour le comprendre, nous allons faire une analogie avec la fonction glBindAttribLocation(). Celle-ci demandait, parmi ses paramètres, le nom correspondant à la variable de destination dans le code GLSL. Par exemple, nous l'utilisions pour faire le lien entre la variable in_Vertex et le tableau de vertices. Même chose avec la variable in_Color et le tableau de couleurs.

Cette fonction nous permettait donc de spécifier directement un nom pour retrouver son destinataire dans le code GLSL.

Le problème avec les uniform, c'est que ce système de nom n'existe pas directement. Il faut passer par une fonction intermédiaire pour faire le lien entre le shader et l'application. Cette fonction intermédiaire s'appelle glGetUniformLocation() :

GLint glGetUniformLocation(GLuint program, const GLchar *name)

Grâce à elle, nous pouvons trouver facilement le paramètre location de glUniform1f(). ^^

On reprend notre petit exemple précédent qui contenait la variable uniformmaVariable. Pour récupérer sa localisation au sein du shader, on appelle donc la fonction glGetUniformLocation() en donnant en paramètre l'ID du programme ainsi qu'une chaine de caractère contenant le nom "maVariable" :

// Localisation de maVariable

int localisation = glGetUniformLocation(shader.getProgramID(), "maVariable");

Maintenant que l'on connait la localisation de maVariable, nous pouvons lui envoyer une valeur. On utilise pour cela la fonction glUniform1f() en donnant en paramètre cette fameuse localisation ainsi qu'une valeur (par exemple 8.5) :

// Localisation de maVariable

int localisation = glGetUniformLocation(shader.getProgramID(), "maVariable");


// Envoi d'une valeur à maVariable

glUniform1f(localisation, 8.5);

La variable uniform dans le code GLSL possèdera maintenant la valeur 8.5. ;)

Petit détail, il est tout à fait possible de combiner les deux fonctions utilisées comme nous l'avons vu pour les matrices :

// Envoi d'une valeur à maVariable

glUniform1f(glGetUniformLocation(shader.getProgramID(), "maVariable"), 8.5);

Point récapitulatif

Nous allons faire un petit point récapitulatif car ce que nous venons de voir constitue la base de l'envoi de variable au shader. Il n'y a que trois points à retenir alors ouvrez grand vos oreilles (ou plutôt vos yeux :p ) :

Je le répète, ces 3 points constituent la base du fonctionnement des uniform. Retenez-les bien. Nous ferons quelques exercices à la fin de cette partie pour vous familiariser avec eux.

Envoyer un vecteur

Coté GLSL

Comme nous l'avons vu précédemment, il existe une multitude de variantes de la fonction glUniform1f() qui permettent d'envoyer d'autres types de variable que les float ou les int. Nous allons justement voir une de ces variantes qui nous servira à envoyer des vecteurs (à 2, 3, ou 4 coordonnées).

Pour illustrer cela, nous allons déclarer une variable position de type vec3 avec le mot-clef uniform dans le Vertex Shader :

// Version du GLSL

#version 150 core


// Variable uniform

uniform vec3 position;


// Fonction main

void main()
{
}

Coté application

Le détail qui vous a peut-être frappé dans le nom de la fonction glUniform1f() est l'utilisation du chiffre1 qui, apparemment, n'avait rien à faire ici. Ce chiffre est en fait très important car il permet de déterminer le nombre de données à envoyer à la variable de destination.

Lorsqu'il s'agit d'un variable simple comme un float, nous n'avons besoin d'envoyer qu'une seule valeur. Cependant lorsque l'on parle de vecteur, le nombre de données à envoyer devient un peu plus important car il faut affecter une valeur à chacune de ses coordonnées.

Vu qu'il existe 3 types de vecteur (vec2, vec3 et vec4), il existe donc 3 formes possibles pour la fonction glUniform*(). La seule chose qui va être modifiée avec celle que l'on connait déjà est le fameux chiffre utilisé à la fin du nom. Pour envoyer un vecteur à 2 coordonnées par exemple, il faudra mettre la valeur 2, ce qui donnera la fonction suivante :

// Vecteur à 2 coordonnées

void glUniform2f(GLint location, GLfloat valu0, GLfloat value1);

Pour les vecteurs à 3 ou 4 coordonnées, il faudra mettre le chiffre correspondant au nom de la fonction glUniform() :

// Vecteur à 3 coordonnées

void glUniform3f(GLint location, GLfloat valu0, GLfloat value1, GLfloat valu2);


// Vecteur à 4 coordonnées

void glUniform4f(GLint location, GLfloat valu0, GLfloat value1, GLfloat valu2, GLfloat value3);

Si on reprend l'exemple du vecteur vec3position déclaré dans le shader, la fonction à utiliser sera glUniform3f(). Il faudra lui donner en paramètre la localisation de la variable ainsi qu'une valeur pour chacune de ses 3 coordonnées :

// Localisation du vecteur position

int localisation = glGetUniformLocation(shader.getProgramID(), "position");


// Envoi d'une valeur au vecteur position

glUniform3f(localisation, 1.0, 2.0, 3.0);

Le vecteur position est maintenant utilisable dans notre shader :

// Version du GLSL

#version 150 core


// Variable uniform

uniform vec3 position;


// Fonction main

void main()
{
    // Exemple d'utilisation

    if(position.x >= 0)
        .... ;

    else
        .... ;
}

Le fonctionnement reste évidemment le même pour les autres types de vecteur.

Envoyer une matrice

Coté GLSL

Avant de s'occuper de la partie application, nous allons déclarer une matrice dans le Vertex Shader. Nous l’appellerons modelview en référence avec une certaine matrice que l'on connait déjà. ;)

Nous déclarons donc une matrice carrée d'ordre 4 (mat4) avec le mot-clef uniform :

// Version du GLSL

#version 150 core


// Variable uniform

uniform mat4 modelview;


// Fonction main

void main()
{
}

"Transposer" une matrice

Les envois de matrice se passent quasiment de la même façon que ceux que nous venons d'étudier. A vrai dire, il n'y a que deux paramètres supplémentaires à gérer. Pour envoyer une matrice carrée d'ordre 4 par exemple, la fonction à utiliser s'appelle glUniformMatrix4fv() :

void glUniformMatrix4fv(GLint location, GLsizei count, GLboolean transpose, const GLfloat *value);

Le paramètre transpose peut vous sembler un peu flou pour le moment. C'est parce que nous n'avons pas encore vu ce que voulait dire le terme "transposer" une matrice. C'est pourtant une notion assez simple qui signifie "inverser" les valeurs d'une matrice pour que les lignes se retrouvent à la place des colonnes et les colonnes à la place des lignes :

Image utilisateur

Si vous utilisez GLM, ce qui est normalement le cas, vous n'avez pas à vous soucier de ce paramètre car la librairie est en parfaite adéquation avec le GLSL. C'est-à-dire que les objets mat4 en C++ se lisent aussi en colonne et c'est exactement ce que veut le shader :

Image utilisateur

Si vous utilisez une autre librairie mathématique pour gérer vos matrices, je vous conseille de vérifier leur ordre de lecture car elles doivent peut-être être transposées. C'est-à-dire qu'elles se lisent peut-être en ligne :

Image utilisateur

Si c'est le cas, vous devez les transposer à l'aide du paramètre transpose.

Coté application

Ceci étant dit, nous pouvons maintenant repasser à la fonction . Nous allons pouvoir l'utiliser pour envoyer notre matrice modelview à la variable du même nom dans le code source GLSL.

Nous savons qu'elle prendra 4 paramètres :

Ainsi, pour envoyer la matrice modelview au sahder, nous devrons d'abord la localiser à l'aide de la fonction glGetUniformLocation() :

// Localisation de la matrice modelview

int localisation = glGetUniformLocation(shader.getProgramID(), "modelview");

Puis, nous envoyons ses valeurs grâce à la fonction glUniformMatrix4fv() avec les paramètres cités précédemment :

// Localisation de la matrice modelview

int localisation = glGetUniformLocation(shader.getProgramID(), "modelview");


// Envoi de la matrice

glUniformMatrix4fv(localisation, 1, GL_FALSE, value_ptr(modelview));

La variable uniform au niveau du shader contient maintenant les valeurs de la matrice modelview.

Vous êtes à présent capables de comprendre les fameux envois que nous utilisons depuis le chapitre sur la 3D. :p

// Envoi des matrices au shader

glUniformMatrix4fv(glGetUniformLocation(shader.getProgramID(), "projection"), 1, GL_FALSE, value_ptr(projection));
glUniformMatrix4fv(glGetUniformLocation(shader.getProgramID(), "modelview"), 1, GL_FALSE, value_ptr(modelview));

Envoyer un tableau

Coté GLSL

L'envoi de tableaux est parfois utile lorsque vous souhaitez envoyer plusieurs variables en une seule fois. Nous savons déjà comment faire en plus car ce type d'envoi s'effectue exactement de la même façon que les matrices. Les paramètres sont eux-aussi identiques, il n'y a que le nom de la fonction à utiliser qui va changer.

Au niveau du GLSL, il suffit simplement de déclarer un tableau comme nous le ferions en temps normal mais précédé par le mot-clef uniform. Pour déclarer un tableau de 10 cases par exemple, nous ferions ainsi :

// Version du GLSL

#version 150 core


// Variable uniform

uniform float monTableau[10];


// Fonction main

void main()
{
}

Coté application

La fonction à utiliser est très similaire à celle des matrices au niveau des paramètres. Elle s’appelle : glUniform1fv() :

void glUniform1fv(GLint location, GLsizei count, const GLfloat *value);

Pour envoyer un tableau de 10 float à l'uniform précédent, il suffit donc d'appeler la fonction glUniform1fv() avec les paramètres suivants :

// Tableau de 10 float

float tableau[10] = {1.0, 2.0, 3.0, 4.0, 5.0, 6.0, 7.0, 8.0, 9.0, 1.0};


// Localisation du tableau monTableau

int localisation = glGetUniformLocation(shader.getProgramID(), "monTableau");


// Envoi des valeurs

glUniform1fv(localisation, 10, tableau);

Ce qu'il faut retenir

Les variables uniform sont un peu complexes au premier abord mais vous avez remarqué qu'ils se gèrent tous de la même façon. La seule difficulté vient du nombre de variantes de la fonction glUniform*() à utiliser. Nous allons faire un petit résumé de ce qu'il faut retenir pour éviter de vous emmêler les pinceaux dans le futur.

Tout d'abord, il faut savoir que les uniform sont des variables envoyées de l'application jusqu'au shader. Elles doivent être déclarées avec le mot-clef uniform dans le code GLSL.

Pour envoyer des données, il faut commencer par localiser les variables contenues dans le shader grâce à la fonction glGetUniformLocation(). Puis, il faut appeler l'une des variantes suivantes :

Enfin, la lettre f dans le nom des fonctions peut être remplacée par i ou ui pour envoyer respectivement des entiers ou des entiers non-signés. Si vous laissez la lettre f, alors vous enverrez des flottants.

C'est tout ce qu'il faut retenir. :)

Exercices

Énoncés

Comme d'habitude, nous allons faire quelques exercices pour assimiler ce que nous avons vu dans cette partie. Vous avez évidemment le droit de revenir sur le cours pour vous aider. ;)

Exercice 1 : Créez une variable de type float dans votre application que vous appellerez maCouleur. Envoyez-la ensuite au Fragment Shader pour qu'elle puisse remplacer la composante rouge de la variable d'entrée inColor au moment de l'affecter à la variable de sortie out_Color.

Exercice 2 : Créez un objet de type Vecteur dans votre application, ses attributs représenteront une couleur quelconque. Envoyez justement ces attributs au Fragment Shader pour définir la couleur du pixel.

Exercice 3 : Re-déclarez les matrices projection et modelview dans votre application (vous n'avez pas besoin des les initialiser). Envoyez-les ensuite dans le Vertex Shader pour les multiplier dans la fonction main(). Le résultat doit être contenu dans une variable de type mat4.

Solutions

Exercice 1 :

On commence par créer la variable maCouleur dans l'application, puis on l'envoie au shader depuis la boucle principale grâce à la fonction glUniform1f() :

// Variable à envoyer

float maCouleur(1.0);

....


// Boucle principale

while(!m_input.terminer())
{
    ....


    // Localisation de la variable maCouleur

    int localisationMaCouleur = glGetUniformLocation(shader.getProgramID(), "maCouleur");


    // Envoi de la variable

    glUniform1f(localisationMaCouleur, maCouleur);


    ....
}

Au niveau du Fragment Shader, on déclare la variable maCouleur avec le mot-clef uniform :

// Uniform

uniform float maCouleur;

Puis on modifie l'affectation de la variable de sortie out_Color en prenant en compte l'uniform et les composantes (y, z) de la variable d'entrée Color :

void main()
{
    // Couleur du pixel

    out_Color = vec4(maCouleur, color.y, color.z, 1.0);
}

Ce qui donne le code source suivant :

// Version du GLSL

#version 150 core


// Entrée

in vec3 color;


// Uniform

uniform float maCouleur;


// Sortie 

out vec4 out_Color;


// Fonction main

void main()
{
    // Couleur du pixel

    out_Color = vec4(maCouleur, color.y, color.z, 1.0);
}

Exercice 2 :

On commence par créer un objet Vecteur dans l'application, puis on envoie ses coordonnées grâce à la fonction glUniform3f() :

// Vecteur à envoyer

Vecteur monVecteur(1.0, 0.0, 1.0);

....


// Boucle principale

while(!m_input.terminer())
{
    ....


    // Localisation de la variable monVecteur

    int localisationMonVecteur = glGetUniformLocation(shader.getProgramID(), "monVecteur");


    // Envoi de la variable

    glUniform3f(localisationMonVecteur, monVecteur.getX(), monVecteur.getY(), monVecteur.getZ());


    ....
}

Au niveau du Fragment Shader, on déclare la variable monVecteur de type vec3 avec le mot-clef uniform :

// Uniform

uniform vec3 monVecteur;

Puis on utilise le constructeur vec4() en donnant en paramètre monVecteur ainsi qu'une valeur représentant la composante Alpha (1.0) :

void main()
{
    // Couleur du pixel

    out_Color = vec4(monVecteur, 1.0);
}

Ce qui donne le code source suivant :

// Version du GLSL

#version 150 core


// Entrée

in vec3 color;


// Uniform

uniform vec3 monVecteur;


// Sortie 

out vec4 out_Color;


// Fonction main

void main()
{
    // Couleur du pixel

    out_Color = vec4(monVecteur, 1.0);
}

Exercice 3 :

On commence par déclarer les matrices projection et modelview comme nous savons le faire depuis un moment déjà. Puis on les localise toutes les deux grâce à la fonction glGetUniformLocation() :

// Matrices

mat4 projection;
mat4 modelview;


....


// Boucle principale

while(!m_input.terminer())
{
    ....


    // Localisation des matrices

    int localisationProjection = glGetUniformLocation(shader.getProgramID(), "projection");
    int localisationModelview = glGetUniformLocation(shader.getProgramID(), "modelview");
}

Ensuite, on les envoie au shader grâce à la fonction glUniformMatrix4fv() en n'oubliant pas des les transposer :

// Localisation des matrices

int localisationProjection = glGetUniformLocation(shader.getProgramID(), "projection");
int localisationModelview = glGetUniformLocation(shader.getProgramID(), "modelview");


// Envoi des matrices

glUniformMatrix4fv(localisationProjection, 1, GL_FALSE, value_ptr(projection));
glUniformMatrix4fv(localisationModelview, 1, GL_FALSE, value_ptr(modelview));

Au niveau du Vertex Shader, on déclare deux variables uniform de type mat4 :

// Uniform

uniform mat4 projection;
uniform mat4 modelview;

Enfin, il ne reste plus qu'à les multiplier en prenant soin de créer une variable pour contenir le résultat de l'opération :

void main()
{
    // Multiplication des deux matrices

    mat4 resultat = projection * modelview;


    ....
}

Ce qui donne le code source suivant :

// Version du GLSL

#version 150 core


// Entrées

in vec2 in_Vertex;
in vec3 in_Color;


// Uniform

uniform mat4 projection;
uniform mat4 modelview;


// Sortie

out vec3 color;


// Fonction main

void main()
{
    // Multiplication des deux matrices

    mat4 resultat = projection * modelview;
	
	
    // Position finale du vertex

    gl_Position = vec4(in_Vertex, 0.0, 1.0);


    // Envoi de la couleur au Fragment Shader

    color = in_Color;
}

Les shaders démystifiés (Partie 2/2) Gestion de la 3D

Gestion de la 3D

Les variables uniform Gestion des textures

Préparation

Dans la partie précédente, nous avons vu ce qu'étaient les variables uniform et comment elles fonctionnaient. Nous allons maintenant pouvoir en tirer profit en envoyant nos fameuses matrices à notre shader. Pour rappel, la matrice modelview permet de "placer" un modèle dans un monde en 3D. La matrice de projection quant à elle permet de transformer, ou plutôt projeter, ce monde vers notre écran; ce dernier n'étant qu'en 2 dimensions.

Ce qu'il faut comprendre c'est qu'elles ont chacune une utilité bien particulière. Elles sont complémentaires pour afficher quelque chose mais elles sont totalement différentes dans le fond.

Pour afficher des modèles en 3D, nous aurons donc besoin de les envoyer toutes les deux au shader que l'on utilisera grâce aux uniform.

Le gros avantage avec la préparation du code c'est qu'on va pouvoir supprimer le gros code tout moche de la boucle principale. En effet, nous n'avons plus besoin d'afficher un carré en 2D pour faire nos tests, nous avons besoin de modèles 3D. Et nous avons justement codé deux classes qui permettent d'en afficher (Cube et Caisse), nous n'allons donc pas nous priver de leur utilisation. :p

On peut donc supprimer tout le code relatif au carré pour ne garder que ceci (sans la boucle while) :

void SceneOpenGL::bouclePrincipale()
{
    // Variables

    unsigned int frameRate (1000 / 50);
    Uint32 debutBoucle(0), finBoucle(0), tempsEcoule(0);


    // Matrices

    mat4 projection;
    mat4 modelview;

    projection = perspective(70.0, (double) m_largeurFenetre / m_hauteurFenetre, 1.0, 100.0);
    modelview = mat4(1.0);


    // Boucle principale

    while(!m_input.terminer())
    {
    }
}

Profitons-en dès maintenant pour réutiliser notre bonne vielle caméra en déclarant un objet Camera et en la positionnant en 3D au point de coordonnées (3, 3, 3) :

// Caméra mobile

Camera camera(vec3(3, 3, 3), vec3(0, 0, 0), vec3(0, 1, 0), 0.5, 0.5);

Pour tester l'implémentation de la 3D, nous allons utiliser un objet Cube. Nous verrons par la suite la façon de gérer les textures avec un objet Caisse. Nous lui donnerons une taille de 2.0 ainsi que le chemin vers deux nouveaux fichiers que nous appellerons couleur3D.vert et couleur3D.frag (n'oubliez pas de les placer dans le dossier Shaders de votre projet) :

// Objet Cube

Cube cube(2.0, "Shaders/couleur3D.vert", "Shaders/couleur3D.frag");
cube.charger();

Au niveau de la boucle principale, on supprime tout le code relatif à l'ancien carré pour ne garder que ceci :

// Boucle principale

while(!m_input.terminer())
{
    // On définit le temps de début de boucle

    debutBoucle = SDL_GetTicks();


    // Gestion des évènements

    m_input.updateEvenements();

    if(m_input.getTouche(SDL_SCANCODE_ESCAPE))
       break;


    // Gestion du déplacement de la caméra

    camera.deplacer();


    // Nettoyage de l'écran

    glClear(GL_COLOR_BUFFER_BIT | GL_DEPTH_BUFFER_BIT);


    // Placement de la caméra

    camera.lookAt(modelview);


    
    // Rendu




    // Actualisation de la fenêtre

    SDL_GL_SwapWindow(m_fenetre);


    // Calcul du temps écoulé

    finBoucle = SDL_GetTicks();
    tempsEcoule = finBoucle - debutBoucle;


    // Si nécessaire, on met en pause le programme

    if(tempsEcoule < frameRate)
        SDL_Delay(frameRate - tempsEcoule);
}

On y ajoute ensuite l'appel à la méthode afficher() de l'objet cube. On lui donnera au passage les matrices projection et modelview :

// Placement de la caméra

....



// Affichage du cube

cube.afficher(projection, modelview);


// Actualisation de la fenêtre

....

La préparation du code est terminée. ;)

Intégrer la troisième dimension

Coté application

Pour programmer nos premiers shaders "3D", nous avons vu à l'instant qu'il fallait envoyer les matrices projection et modelview en tant que variable uniform. Nous aurons besoin pour cela de la fonction glUniformMatrix4fv() dont nous avons enfin appris son fonctionnement dans la partie précédente.

Vérifiez donc bien (même s'il ne devrait pas y avoir de problème) qu'elles sont bien présentes dans la méthode afficher() du cube :

// Verrouillage du VAO

glBindVertexArray(m_vaoID);


    // Envoi des matrices

    glUniformMatrix4fv(glGetUniformLocation(m_shader.getProgramID(), "projection"), 1, GL_FALSE, value_ptr(projection));
    glUniformMatrix4fv(glGetUniformLocation(m_shader.getProgramID(), "modelview"), 1, GL_FALSE, value_ptr(modelview));


    // Rendu

    glDrawArrays(GL_TRIANGLES, 0, 36);


// Déverrouillage du VAO

glBindVertexArray(0);

Le Vertex Shader

La première chose à faire au niveau du GLSL va être la déclaration des matrices avec le mot-clef uniform. D'ailleurs, vu qu'elles sont relatives aux vertices, et non aux pixels, il faut les déclarer dans le Vertex Shader.

On reprend donc le code que nous avons laissé au chapitre précédent auquel on va rajouter les nouveaux uniform :

// Uniform

uniform mat4 projection;
uniform mat4 modelview;

Ce qui donne :

// Version du GLSL

#version 150 core


// Entrées

in vec2 in_Vertex;
in vec3 in_Color;


// Uniform

uniform mat4 projection;
uniform mat4 modelview;


// Sortie

out vec3 color;


// Fonction main

void main()
{
    // Position finale du vertex

    gl_Position = vec4(in_Vertex, 0.0, 1.0);


    // Envoi de la couleur au Fragment Shader

    color = in_Color;
}

Avant d'aller plus loin, pensez à modifier le type de la variable d'entrée in_Vertex. Vu qu'elle possède maintenant 3 coordonnées, son type devient donc vec3 :

// Entrées

in vec3 in_Vertex;

La variable in_Color ne change pas, elles a toujours ses 3 composantes.

Contrairement à ce qu'on pourrait penser, la gestion de la 3D est une chose d'assez simple à réaliser. Ce qu'il y a de plus dur à comprendre, c'est l'envoi des variables uniform. :p
En fait, il suffit juste de multiplier la variable in_Vertex par la matrice modelview et projection. De cette façon, on peut positionner le vertex dans le monde 3D et le projeter sur l'écran.

Le seul point sensible auquel il faut faire attention concerne l'ordre des membres dans la multiplication qui doivent se présenter de la manière suivante : projection x modelview x vertex. Si vous inversez un seul de ces membres alors votre calcul sera totalement faux. Dans le meilleur des cas, vous afficherez un bout de votre modèle et dans le pire, vous aurez un bel écran noir.

Euh au fait, c'est normal qu'on puisse multiplier une matrice par un vecteur ?

Oui tout à fait, nous avons même vu comment faire dans le chapitre sur les matrices :

Image utilisateur

La seule condition à respecter était le fait que le nombre de colonnes de la matrice soit égal au nombre de coordonnées du vecteur :

Image utilisateur

Pour le moment, notre vertex ne possède que 3 coordonnées, la multiplication est donc impossible. Cependant grâce aux constructeurs, nous allons pouvoir régler ce problème, il suffira juste d'ajouter la valeur 1.0 à la coordonnée W comme nous le faisions avant.

Pour résumer, nous devons multiplier les matrices que nous avons envoyées en uniform par la variable d'entrée correspondant au vertex. Vu qu'elles sont toutes considérées comme des variables en GLSL, nous allons pouvoir faire cette opération très simplement :

void main()
{
    // Position finale du vertex en 3D

    gl_Position = projection * modelview * vec4(in_Vertex, 1.0);


    // Envoi de la couleur au Fragment Shader

    color = in_Color;
}

Ce qui donne le code source final :

// Version du GLSL

#version 150 core


// Entrées

in vec3 in_Vertex;
in vec3 in_Color;


// Uniform

uniform mat4 projection;
uniform mat4 modelview;


// Sortie

out vec3 color;


// Fonction main

void main()
{
    // Position finale du vertex en 3D

    gl_Position = projection * modelview * vec4(in_Vertex, 1.0);


    // Envoi de la couleur au Fragment Shader

    color = in_Color;
}

Le Fragment Shader

Le code du Fragment Shader va être super simple à faire car il n'y a aucun modificatione à faire dessus. :p

En effet, nous n'avons pas modifié le contenu de la variable de sortie Color dans le Vertex Shader précédent. Il n'y a donc aucune modification à apporter au Fragment Shader puisqu'il se contente simplement de recopier cette variable dans sa sortie. Nous pouvons reprendre sans problème le code source du chapitre précédent (même s'il était prévu pour une utilisation 2D à la base) :

// Version du GLSL

#version 150 core


// Entrée

in vec3 color;


// Sortie 

out vec4 out_Color;


// Fonction main

void main()
{
    // Couleur finale du pixel

    out_Color = vec4(color, 1.0);
}

Vous pouvez compiler votre projet pour admirer le retour de la 3D dans vos programmes. :D

Image utilisateur

Les variables uniform Gestion des textures

Gestion des textures

Gestion de la 3D Bonnes pratiques

Afficher une texture

Coté application

Nous allons maintenant passer au dernier shader qui reste encore un peu mystérieux pour le moment : celui qui permet d'afficher des textures.

Depuis que nous les utilisons, nous n'avons plus besoin de couleur pour afficher quelque chose à l'écran. Ce qui rajoute un semblant de réalisme à nos scènes. Pour les intégrer dans l'application, nous devons utiliser un tableau (différent de celui des couleurs) qui contient des coordonnées de texture. Ces coordonnées permettent de savoir où "plaquer" l'image que l'on veut afficher :

Image utilisateur

Avant de commencer, veuillez créer deux nouveaux fichiers sources que vous appellerez texture.vert et texture.frag.

Pour la suite, nous allons supprimer le code relatif au cube pour le remplacer par celui de la classe Caisse. Nous déclarons donc un objet de ce type avec en paramètres le chemin vers le deux nouveaux fichiers créés ainsi qu'un chemin supplémentaire pour sa texture :

// Objet Caisse

Caisse caisse(2.0, "Shaders/texture.vert", "Shaders/texture.frag", "Textures/Caisse2.jpg");
caisse.charger();

Au niveau de la boucle principale, nous n'avons qu'à supprimer l'appel à la méthode afficher() du cube pour le remplacer par celui de notre nouvelle caisse :

// Placement de la caméra

....



// Affichage de la caisse

caisse.afficher(projection, modelview);


// Actualisation de la fenêtre

....

Préparation terminée. :)

Le Vertex Shader

Pour intégrer les textures, nous n'avons pas de grande modification à faire dans le Vertex Shader car ce ne sera pas à lui de gérer leur affichage. En effet, ce n'est pas lui qui va prendre les pixels de l'image pour les mettre dans sa sortie, ça c'est le rôle du Fragment Shader. ;) La seule chose que l'on va modifier, c'est l'envoi de données au Fragment Shader. On n'enverra plus de couleurs mais des coordonnées de texture.

Dans notre code, on commence par reprendre celui que l'on utilisait précédemment auquel on va supprimer la variable d'entrée in_Color, qui est devenue inutile ici, ainsi que la variable de sortie color :

// Version du GLSL

#version 150 core


// Entrée

in vec3 in_Vertex;


// Uniform

uniform mat4 projection;
uniform mat4 modelview;


// Fonction main

void main()
{
    // Position finale du vertex en 3D

    gl_Position = projection * modelview * vec4(in_Vertex, 1.0);
}

Ensuite, on rajoute une nouvelle variable d'entrée qui va nous permettre de récupérer les coordonnées de texture. Nous l'avions appelée in_TexCoord0 lorsque nous avons utilisé la fonction glBindAttribLocation() pour faire le lien avec le tableau Vertex Attrib 2. Nous n'avons donc qu'à déclarer cette variable accompagnée du type vec2 (car il n'y a que 2 coordonnées) ainsi que du mot-clef in :

// Entrées

in vec3 in_Vertex;
in vec2 in_TexCoord0;

On en profite également pour déclarer une variable de sortie qui copiera le contenu de in_TexCoord0 pour l'envoyer au Fragment Shader. Nous l'appellerons coordTexture et sera elle-aussi du type vec2. Elle utilisera cependant le mot-clef out vu qu'elle sort du shader :

// Sortie

out vec2 coordTexture;

Enfin, pour terminer notre code source, nous devons simplement copier le contenu de la variable d'entrée dans celle de sortie. Le Fragment Shader se chargera du reste.

void main()
{
    // Position finale du vertex en 3D

    gl_Position = projection * modelview * vec4(in_Vertex, 1.0);


    // Envoi des coordonnées de texture au Fragment Shader

    coordTexture = in_TexCoord0;
}

Ce qui donne le code source final :

// Version du GLSL

#version 150 core


// Entrées

in vec3 in_Vertex;
in vec2 in_TexCoord0;


// Uniform

uniform mat4 projection;
uniform mat4 modelview;


// Sortie

out vec2 coordTexture;


// Fonction main

void main()
{
    // Position finale du vertex en 3D

    gl_Position = projection * modelview * vec4(in_Vertex, 1.0);


    // Envoi des coordonnées de texture au Fragment Shader

    coordTexture = in_TexCoord0;
}

Le Fragment Shader

Le Fragment Shader va subir un peu plus de modifications que son prédécesseur. Le premier sera évidemment la disparition de la variable d'entrée color qui n'est maintenant plus utilisée je vous le rappelle. ;)

A la place, nous mettrons la variable coordTexture que le Vertex Shader nous a gentiment envoyée à l'instant :

// Version du GLSL

#version 150 core


// Entrée

in vec2 coordTexture;


// Sortie 

out vec4 out_Color;


// Fonction main

void main()
{
    // Couleur finale du pixel

    out_Color = vec4(color, 1.0);
}

Pour la suite, vous vous demandez peut-être comment intégrer une texture au sein d'un code source GLSL ? Vu que nous ne savons pas encore le faire, c'est une question qui peut paraître légitime.

Au risque de vous étonner, les textures sont en fait des variables uniform !

Euh des uniform ? Mais on a jamais utilisé la fonction glUniform*() pour en envoyer ?

Alors oui certes, nous ne l'avons jamais fait. Mais nous aurions pu !

L'appel à la fonction glUniform*() est facultatif si on n'envoie qu'une seule texture par shader. En revanche, si on en envoie plusieurs, il faut le faire pour pouvoir les différencier dans le code source GLSL. Nous aurons l'occasion de voir cela dans la partie sur les effets avancés. ;)

En attendant, cet appel reste facultatif. Cependant, nous devons quand même déclarer les textures en tant que variables uniform dans les shaders. D'ailleurs, elles possèdent un type particulier qui s'appelle sampler2D :

// Uniform

uniform sampler2D texture;

Vous pouvez donner n'importe quel nom à votre texture du moment que vous n'en envoyez qu'une. Le shader saura automatiquement laquelle utiliser.

L'objectif de cette variable en tout cas va être de récupérer la couleur du pixel recherché pour l'affecter à la variable de sortie out_Color. Pour le récupérer, nous allons utiliser notre première fonction prédéfinie dans le GLSL. Celle-ci s'appelle texture() :

vec4 texture(sampler2D texture, vec2 textCoord);

Cette fonction renvoie un vec4 contentant la couleur du pixel que l'on recherche (composante Alpha comprise).

Nous devons donc faire appel à cette fonction pour trouver notre couleur finale. Le résultat sera affecté à la variable out_Color :

void main()
{
    // Couleur du pixel

    out_Color = texture(texture, coordTexture);
}

Ce qui donne le code source final :

// Version du GLSL

#version 150 core


// Entrée

in vec2 coordTexture;


// Uniform

uniform sampler2D texture;


// Sortie 

out vec4 out_Color;


// Fonction main

void main()
{
    // Couleur du pixel

    out_Color = texture(texture, coordTexture);
}

Si vous compilez votre code, vous devriez avoir une belle caisse (sans jeu de mot :p ) affichée sur votre écran.

Image utilisateur

Ce qu'il faut retenir

Point récapitulatif

Nous allons faire un dernier point récapitulatif sur ce que nous avons vu dans ces deux dernières parties. Il n'y aura pas eu beaucoup de code nouveau mais il vaut mieux synthétiser toute ça pour éviter d’éventuelles zones d'ombre.

Ainsi, pour intégrer la troisième dimension, nous devons :

Pour gérer l'affichage de texture, nous devons :

Quand faut-il "changer" de shader ?

Avant de terminer, nous allons faire un dernier point sur le changement de shader. Vous vous êtes déjà peut-être demandé quand est-ce que vous devez changer de shader pour afficher un modèle ? Faut-il que vous en reprogrammiez un ou pouvez-vous utiliser celui que vous avez déjà fait ?

Pour faire simple, vous devez changer de shader à chaque fois que :

Nous avons vu dans ces deux derniers chapitres qu'à chaque fois que nous modifions nos tableaux Vertex Attrib (pour les vertices, les couleurs, etc.), nous devions programmer un autre shader. Nous avions créé de nouveaux fichiers pour chaque changement.

Évidemment, si vous envoyez une variable uniform vous devrez créer un autre shader pour le prendre en compte.

Si vous ne souhaitez pas utiliser d'effets avancés dans vos applications alors les exemples que nous avons eus l'occasion de voir seront ceux que vous utiliserez 90% du temps. Ce sont les shaders de base de la programmation GLSL. :)


Gestion de la 3D Bonnes pratiques

Bonnes pratiques

Gestion des textures Les Frame Buffer Objects

Optimisation du Vertex Shader

Actuellement, nos shaders soufrent d'un énorme manque d'optimisation. En effet si vous avez remarqué, nous multiplions les matrices projection et modelview dans le Vertex Shader. Le problème de cette multiplication c'est qu'elle s'effectue autant de fois qu'il y a de vertex à traiter. Donc si avons par exemple 5000 vertices à gérer alors elle s'effectuera également 5000 fois !

En temps normal, je vous dirais que ça ne pose pas de problème, que la carte graphique est faite pour ça, etc. Mais là, nous pouvons quand même alléger les calculs en effectuant simplement la multiplication avant d'envoyer les matrices au shader. C'est une opération toute simple à faire car nous avons déjà surchargé l'opérateur *.

D'ailleurs, c'est de cette façon que ça se passait dans les anciennes versions d'OpenGL. ;)

Au niveau du code C++, il nous suffit juste de déclarer une nouvelle matrice que nous appellerons modelviewProjection (en référence à gl_ModelviewProjectionMatrix d'OpenGL 2.1) au moment de l'envoyer au shader qui contiendra le résultat de la multiplication de projection et modelview. Ensuite, nous n'aurons plus qu'à l'envoyer à la place d'envoyer les deux matrices séparément

// Verrouillage du VAO

glBindVertexArrays(m_vao);


    // Multiplication des matrices

    mat4 modelviewProjection = projection * modelview;


    // Envoi du résultat

    glUniformMatrix4fv(glGetUniformLocation(m_shader.getProgramID(), "modelviewProjection"), 1, GL_FALSE, value_ptr(modelviewProjection));


    // Rendu

    ....

 
// Déverrouillage du VAO

glBindVertexArray(0);

Au niveau du Vertex Shader, nous devons supprimer les deux anciens uniform pour les remplacer par un nouveau du nom de modelviewProjection :

// Uniform

uniform mat4 modelviewProjection;

Il ne manque plus qu'à prendre en compte la nouvelle matrice dans le calcul de la position du vertex :

void main()
{
    // Position finale du vertex en 3D

    gl_Position = modelviewProjection * vec4(in_Vertex, 1.0);


    // Envoi des coordonnées de texture

    coordTexture = in_TexCoord0;
}

Notre Vertex Shader ne perd maintenant plus de temps à effectuer une multiplication à chaque fois qu'il doit traiter un vertex. :)

Il n'y avait que deux lignes à changer au final. Voici à quoi ressemblerait le code permettant d'afficher une texture avec ces petits changements :

// Version du GLSL

#version 150 core


// Entrées

in vec3 in_Vertex;
in vec2 in_TexCoord0;


// Sortie

out vec2 coordTexture;


// Uniform

uniform mat4 modelviewProjection;


// Fonction main

void main()
{
    // Position finale du vertex en 3D

    gl_Position = modelviewProjection * vec4(in_Vertex, 1.0);


    // Envoi des coordonnées de texture

    coordTexture = in_TexCoord0;
}

La méthode envoyerMat4()

Nous terminons ce chapitre par une méthode simple qui va nous permettre d'économiser l'écriture d'une longue ligne de code répétitive. Je ne sais pas si ça vous fait le même effet mais personnellement, l'appel à la fonction glUniformMatrix4fv() m'est extrêmement pénible du fait de sa longueur :

// Envoi de la matrice modelviewProjection

glUniformMatrix4fv(glGetUniformLocation(m_shader.getProgramID(), "modelviewProjection"), 1, GL_FALSE, value_ptr(modelviewProjection));

Étant donné que nous sommes obligés de faire ceci à chaque fois que l'on veut afficher un modèle, il serait judicieux de coder une méthode qui nous permettrait d'enfermer cette fonction sans avoir à la réutiliser tout le temps. Je pense que vous serez d'accord sur le principe. :p

Nous allons donc créer une méthode, dans la classe Shader, qui nous permettra de faire cette économie. Nous l'appellerons envoyerMat4() car elle n'enverra que des matrices carrées d'ordre 4. Elle prendra en paramètre le nom de la matrice dans le code source GLSL ainsi qu'une référence sur un objet de type mat4 :

void envoyerMat4(std::string nom, glm::mat4 matrice);

Dans un premier temps, nous devons localiser la variable de destination grâce à la fonction glGetUniformLocation() :

void Shader::envoyerMat4(std::string nom, glm::mat4 matrice)
{
    // Localisation de la matrice 

    int localisation = glGetUniformLocation(m_programID, nom.c_str());
}

Ensuite, nous appelons la fameuse fonction glUniformMatrix4fv() pour envoyer les valeurs de la matrice :

void Shader::envoyerMat4(std::string nom, glm::mat4 matrice)
{
    // Localisation de la matrice 

    int localisation = glGetUniformLocation(m_programID, nom.c_str());


    // Envoi des valeurs

    glUniformMatrix4fv(localisation, 1, GL_FALSE, value_ptr(matrice));
}

Méthode terminée. :)

Elle va nous faire gagner un peu temps à chaque fois que nous devrons afficher un modèle. D'ailleurs, le code source deviendra un peu plus compréhensible également :

// Mutltiplication des matrices

mat4 modelviewProjection = projection * modelview;


// Envoi du résultat

m_shader.envoyerMat4("modelviewProjection", modelviewProjection);

Nous pouvons même inclure la multiplication directement dans l'appel à la méthode envoyerMat4(). Ce qui fait que l'envoi d'une matrice se résumera maintenant à une seule et unique ligne :

// Envoi d'une matrice au shader

m_shader.envoyerMat4("modelviewProjection", projection * modelview);

A partir de maintenant, on ne reverra plus les lignes d'envoi de matrice. :D

L'avantage de cette méthode en plus, c'est qu'elle fonctionne aussi pour les envois séparés de projection et de modelview. En effet, elle ne fait qu'appeler la fonction glUniformMatrix4fv(), ce qui la rend parfaitement compatible avec les autres matrices carrées d'ordre 4.

Télécharger (Windows, UNIX/Linux, Mac OS X) : Code Source C++ du chapitre sur les shaders (Partie 2/2)

Nous sommes enfin arrivés à la fin de cette série de chapitres consacrés aux shaders. Nous avons vu pas mal de notions relatives à leur programmation de la compilation à l'aide d'une classe dédiée jusqu'à l'envoi de variable depuis l'application principale.

J'ai préféré vous occulter toute cette partie au début du tuto car la plupart d'entre vous aurait arrêté sa lecture dès que je vous aurais parlé de ça. C'était beaucoup trop indigeste à mon gout pour être balancé ni vu ni connu en même temps que la découverte d'OpenGL. Un chapitre introductif sur les shaders me semblait plus approprié.

Néanmoins, toutes les zones d'ombre sont maintenant levées et vous êtes seuls maitres de vos applications. :D

En ce qui concerne le GLSL, nous avons vu les principales notions à connaitre pour faire une application, à savoir la gestion des couleurs, de la 3D et des textures. Si vous souhaitez réaliser une solution pour entreprise, vous n'avez besoin que de ça. En revanche, si vous souhaitez aller plus loin dans le développement, je serai heureux de vous retrouver dans la quatrième partie de ce tuto pour étudier les effets réalistes.

Mais avant cela, nous devons terminer la partie en cours avec encore un chapitre consacré aux Frame Buffer Objects. Nous en aurons besoin dans la quatrième partie alors ne faites pas l'impasse dessus. :p


Gestion des textures Les Frame Buffer Objects

Les Frame Buffer Objects

Bonnes pratiques Qu'est-ce qu'un FBO ?

Nous voici arrivés au dernier chapitre de cette deuxième partie. Celui-ci concernera une fonctionnalité très utile pour les effets réalises et constitue donc un incontournable de la programmation avancée OpenGL. Il y aura un peu de technique mais rien de vraiment insurmontable, nous verrons tout ce qu'il y a à voir pas à pas pour ne pas être perdu. :)

Commençons d'ailleurs sans plus tarder ! :pirate:

Qu'est-ce qu'un FBO ?

Les Frame Buffer Objects Le Color Buffer

Définitions

Les différents types de buffer

Avant de nous intéresser au sujet principal de ce chapitre, nous allons faire un petit retour en arrière sur une fonction que nous utilisons depuis pas mal de temps déjà : la fonction glClear() :

// Nettoyage de l'écran

glClear(GL_COLOR_BUFFER | GL_DEPTH_BUFFER);

Celle-ci permet de nettoyer les buffers (zones mémoires ou tampons si vous préférez) qu'ils lui sont donnés en paramètres. Par exemple, nous lui demandons ici de nettoyer le Color ainsi que le Depth Buffer, le premier correspondant simplement aux pixels affichés sur notre fenêtre et le second à la position des objets 3D les uns par rapport aux autres pour pouvoir les cacher si besoin.

Si je vous parle de ça, c'est parce qu'il existe encore un autre buffer dont je ne vous ai pas encore parlé, ce qui est un peu normal vu que c'est celui qui est le moins utilisé. :p Il s'agit du Stencil Buffer ou en français tampon du pochoir. Si vous vous posez la question de savoir ce qu'est un pochoir, sachez que vous en avez déjà probablement utilisé un en maternelle pour dessiner une forme complexe comme un animal par exemple. Je vous laisse regarder sur internet des exemples de pochoirs, vous devriez vite comprendre à quoi ils correspondent en les voyant.

Le Stencil Buffer permet de faire exactement la même chose. Par exemple, au lieu d'afficher une texture carrée représentant un buisson, vous pouvez lui appliquer un pochoir (donc utiliser le Stencil Buffer) pour n'afficher que les pixels qui vous intéressent de façon à ne pas vous retrouver avec un buisson carré mais avec un buisson "réaliste". Je schématise un peu mais vous aurez compris le principe.

Le problème avec ce buffer, c'est qu'il est assez lourd à mettre en place, il faut activer un tableau Vertex Attrib dédié et envoyer ses donnés au shader. Nous ne l'utiliserons pas pour le moment. Si je vous en parle c'est parce que nous devrons gérer le cas où nous en aurions besoin plus tard, vous verrez pourquoi.

Ce qu'il faut retenir c'est qu'il existe 3 types de buffers :

Les Frame Buffers

Cette parenthèse étant faite, nous allons pouvoir passer au sujet principal qui concerne les Frame Buffer Objets ou FBO. Vous l'aurez deviné, nous allons encore voir des objets OpenGL. :p

Pour donner une définition simple d'un FBO, on pourrait dire qu'il s'agit d'un écran caché qui utilise les 3 types de buffers que nous avons vus à l'instant :

Image utilisateur

Si j'utilise le terme d'écran caché c'est par les FBO permettent de faire ce que l'on appelle un rendu off-screen (en dehors de l'écran). C'est-à-dire qu'au lieu d'afficher votre scène dans votre fenêtre, vous le ferrez dans un endroit à part dans la carte graphique comme s'il y en avait une deuxième à l'intérieure. Le rendu sera exactement le même sauf que vous ne le verrez pas directement.

À quoi ça sert d'afficher quelque chose si on ne le voit pas ?

C'est quelque chose d'un peu tordu au premier abord mais je pense que vous allez vite aimer les FBO quand vous connaitrez les possibilités qu'ils offrent. En étant associés aux shaders, ils permettent de faire plein d'effets réalistes tels que :

Une bonne palette d'effets sympathiques en somme. ^^

Petit détail pour terminer : votre écran lui-même est considéré comme un Frame Buffer. Il reprend donc toutes les caractéristiques dont nous venons de parler, sauf pour les effets réalistes parce qu'il est impossible de modifier les pixels une fois qu'ils sont affichés sur l'écran.

Fonctionnement

Nous allons aller un peu plus loin dans la structure des FBO car ils ont une façon bien particulière de fonctionner, en particulier au niveau de ses 3 buffers qui ne se gèrent pas tous de la même manière. On distinguera d'un coté le Color Buffer et de l'autre le Depth et le Stencil Buffer.

Le Color Buffer

Comme nous l'avons vu un peu plus haut, un FBO peut être considéré comme un écran caché au sein de la carte graphique, nous pouvons donc sans aucun problème faire n'importe quel rendu à l'intérieur. L'intérêt dans tout ça vient du fait que l'on peut modifier les pixels une fois qu'ils sont affichés, ce qui est impossible avec le véritable écran.

Ces fameux pixels sont contenus dans le Color Buffer, celui que nous nettoyons à chaque tour de boucle avec la constante GL_COLOR_BUFFER. Et si je peux vous apprendre quelque chose d'étonnant avec lui, c'est qu'il s'agit en fait d'une simple texture !

Oui, oui vous avez bien lu, le Color Buffer est une texture :

Image utilisateur

C'est un peu logique puisque le but d'OpenGL est d'afficher des pixels sur un écran, et une texture est justement faite pour en contenir plein. L'avantage avec elle, c'est que nous pourrons l'utiliser dans un shader pour la modifier très facilement. Rajouter un effet sera donc un jeu d'enfant. ;)

Ah j'ai une question : le Color Buffer de l'écran est lui-aussi une texture ?

Oui on peut dire ça comme ça. C'es comme si on avait une grosse texture, contenant l'affichage de notre scène, plaquée sur la fenêtre SDL.

Petite précision importante, les FBO peuvent contenir jusqu'à 16 Color Buffers. C'est-à-dire que vous pouvez afficher ou modifier votre rendu 16 fois dans le même FBO :

Image utilisateur

Ceci est particulièrement utile si l'on souhaite stocker des données autres que celles relatives à l'affichage. Les ombres en sont un exemple car elles utilisent plusieurs Color Buffers pour stocker leurs données.

Mais bon, pour le moment nous n'en utiliserons qu'un seul ne vous en faites pas, c'est déjà bien assez.

Le Depth et le Stencil Buffer

Les deux autres buffers (Depth et Stentil) se gèrent différemment du premier. Leurs données sont un peu plus complexes et ne peuvent pas être représentées par des textures. À la place, nous utiliserons ce que l'on appel des Render Buffers, ce sont des espaces mémoires conçues pour accueillir ces types de données :

Image utilisateur

En résumé

Pour résumer un peu tout ce flot d'informations : un Frame Buffer est composé de 3 sous-buffers (Color, Depth et Stencil) :

Ce sont les points à connaitre par coeur en ce qui concerne les FBO.

Programme du chapitre

Après ce petit bout de théorie, nous allons pouvoir nous lancer dans la pratique pure et dure.

Je vous retiens encore un peu ici pour vous montrer le programme pour la suite. Nous allons éparpiller le code relatif aux FBO dans plusieurs classes, je préfère donc vous exposer clairement les différentes tâches qui nous attendent.

Celles-ci sont :

Nous avons donc pas mal de trucs à faire avec tout ceci.

Je vous invite naturellement à commencer par la première tâche qui concerne la modification de la classe Texture. ^^


Les Frame Buffer Objects Le Color Buffer

Le Color Buffer

Qu'est-ce qu'un FBO ? Les Render Buffers

Les tâches

Pour reprendre très rapidement le programme précédent, notre objectif dans cette partie va être la réalisation des deux premières tâches :

Je parle bien des deux premières car nous modifierons la classe Texture pour toutes les deux, autant les faire dans la même partie. :)

Commençons par la première.

Créer un Color Buffer

Le header

La fameuse modification de la classe Texture concerne l'ajout d'une nouvelle méthode qui permettra de créer des textures vides. Je dis bien vide parce qu'elle n'est pas chargée depuis une image sur le disque dur, elle ne contient donc aucune donnée au moment de sa création. Ce n'est qu'à l'affichage qu'elle aura ses pixels.

Avant de créer ladite méthode, nous allons tout d'abord ajouter de nouveaux attributs à la classe Texture qui lui permettront de gérer les textures vides.

Dans les chapitres précédents, nous utilisions une structure de type SDL_image pour garder en mémoire pas mal d'informations sur une texture comme ses dimensions, le format interne des couleurs, etc. Vu que nous n'en utilisons pas ici, il faudra recréer toutes ces informations à la main à travers des attributs de classe.

Ces attributs sont les suivants :

En ajoutant le prefix m_ à ces attributs, on a le header suivant :

#ifndef DEF_TEXTURE
#define DEF_TEXTURE


// Includes

....


// Classe Texture

class Texture
{
    public:

    // Méthodes

    ....


    private:

    GLuint m_id;
    std::string m_fichierImage;

    int m_largeur;
    int m_hauteur;
    GLenum m_format;
    GLenum m_formatInterne;
    bool m_textureVide;
};

#endif

Les anciens constructeurs

Les nouveaux attributs doivent évidemment être initialisés dans les différents constructeurs, nous leur donnerons tous la valeur 0 :

// Constructeur par défaut

Texture::Texture() : m_id(0), m_fichierImage(""), m_largeur(0), m_hauteur(0), m_format(0), m_formatInterne(0), m_textureVide(false)
{

}


// Autre constructeur

Texture::Texture(std::string fichierImage) : m_id(0), m_fichierImage(fichierImage), m_largeur(0), m_hauteur(0), m_format(0), m_formatInterne(0), m_textureVide(false)
{

}

Notez que j'ai volontairement occulté le constructeur de copie, nous le verrons à la fin.

Un nouveau constructeur

Le problème avec les constructeurs précédents c'est qu'aucun d'entre eux n'est capable de donner de "vraies" valeurs aux attributs, ce qui est normal car ils n'ont aucuns paramètres qui leur permettent de faire cela.

Pour combler ce manque, nous allons devoir rajouter un nouveau constructeur qui, lui, prendra en paramètres tout ce dont on a besoin pour initialiser nos attributs correctement :

Texture(int largeur, int hauteur, GLenum format, GLenum formatInterne, bool textureVide);

L'implémentation de ce constructeur est assez simple puisqu'il suffit juste de donner le bon paramètre au bon attribut :

Texture::Texture(int largeur, int hauteur, GLenum format, GLenum formatInterne, bool textureVide) : m_id(0), m_fichierImage(""), m_largeur(largeur), 
                 m_hauteur(hauteur), m_format(format), m_formatInterne(formatInterne), m_textureVide(textureVide)
{

}

Grâce à lui, nous pourrons donner de véritables valeurs à nos nouveaux attributs.

La méthode chargerTextureVide()

L'étape suivante consiste à coder la méthode qui nous permettra de créer des textures vides. Elle utilisera pour cela les attributs précédemment initialisés, elle s'appellera tout simplement chargerTextureVide() :

void chargerTextureVide();

Elle ne prendra aucun paramètre.

Son code sera beaucoup plus simple que celui de la méthode charger() car elle n'aura pas besoin de charger une image, d'inverser ses pixels et de déterminer le format des couleurs. Nous avons déjà toutes ces informations grâce à notre nouveau constructeur. :)

On commence l'implémentation de la méthode en générant un nouvel identifiant d'objet OpenGL grâce à la fonction glGenTextures(). On en profitera au passage pour ajouter le code de vérification d'ID à l'aide la fonction glIsTexture() :

void Texture::chargerTextureVide()
{
    // Destruction d'une éventuelle ancienne texture

    if(glIsTexture(m_id) == GL_TRUE)
        glDeleteTextures(1, &m_id);


    // Génération de l'ID

    glGenTextures(1, &m_id);
}

On ajoute ensuite le verrouillage a l'aide de la fonction glBindTexture() :

void Texture::chargerTextureVide()
{
    // Destruction d'une éventuelle ancienne texture

    if(glIsTexture(m_id) == GL_TRUE)
        glDeleteTextures(1, &m_id);


    // Génération de l'ID

    glGenTextures(1, &m_id);


    // Verrouillage

    glBindTexture(GL_TEXTURE_2D, m_id);




    // Déverrouillage

    glBindTexture(GL_TEXTURE_2D, 0);
}

Une fois le verrouillage enclenché, nous allons appeler la fonction glTexImage2D() qui permet de définir les caractéristiques d'une texture (dimensions, formats, etc.). Je vous redonne son prototype ainsi que sa floppé de paramètres :

void glTexImage2D(GLenum target,  GLint level,  GLint internalFormat,  GLsizei width,  GLsizei height,  GLint border,  GLenum format,  GLenum type,  const GLvoid * data);

Refaite une petite lecture lentement pour différencier correctement les paramètres. Remarquez aussi que nous utiliserons tous nos nouveaux attributs.

En appelant la fonction glTexImage2D() avec ces paramètres, on a :

// Définition des caractéristiques de la texture

glTexImage2D(GL_TEXTURE_2D, 0, m_formatInterne, m_largeur, m_hauteur, 0, m_format, GL_UNSIGNED_BYTE, 0);

Pour terminer la méthode, il ne nous manque plus qu'à appliquer les filtres avec la fonction glTexParameteriv(). Vous vous souvenez de ce que sont les filtres ? Ils permettent à OpenGL de savoir s'il doit améliorer ou baisser la qualité de la texture en fonction de notre distance par rapport à elle.

On utilisera les mêmes filtres que ceux de la méthode charger() :

// Application des filtres

glTexParameteri(GL_TEXTURE_2D, GL_TEXTURE_MIN_FILTER, GL_LINEAR);
glTexParameteri(GL_TEXTURE_2D, GL_TEXTURE_MAG_FILTER, GL_NEAREST);

Ces filtres permettent à OpenGL d'affiner l'affichage des textures proches et de pixeliser celui des textures éloignées, le premier étant plus gourmand en calcul que le second.

Si nous réunissons ces bouts de code, on trouve la méthode chargerTextureVide() suivante :

void Texture::chargerTextureVide()
{
    // Destruction d'une éventuelle ancienne texture

    if(glIsTexture(m_id) == GL_TRUE)
        glDeleteTextures(1, &m_id);


    // Génération de l'ID

    glGenTextures(1, &m_id);


    // Verrouillage

    glBindTexture(GL_TEXTURE_2D, m_id);


        // Définition des caractéristiques de la texture

        glTexImage2D(GL_TEXTURE_2D, 0, m_formatInterne, m_largeur, m_hauteur, 0, m_format, GL_UNSIGNED_BYTE, 0);


        // Application des filtres

        glTexParameteri(GL_TEXTURE_2D, GL_TEXTURE_MIN_FILTER, GL_LINEAR);
        glTexParameteri(GL_TEXTURE_2D, GL_TEXTURE_MAG_FILTER, GL_NEAREST);


    // Déverrouillage

    glBindTexture(GL_TEXTURE_2D, 0);
}

Grâce à elle, nous pourrons créer tous les Colors Buffers que nous voudrons. :D Il suffira juste de faire attention aux paramètres que nous donnerons.

Le problème de la copie de texture

Étant donné que nous avons rajouté des attributs dans la classe, nous devons penser à modifier les méthodes de copie (constructeur et opérateur =) pour éviter les problèmes plus tard. C'est la deuxième tâche sur notre liste.

Les attributs

On commence par le constructeur.

En reprenant son code actuel, on remarque que celui-ci ne gère pas les nouveaux attributs :

Texture::Texture(Texture const &textureACopier)
{
    // Copie de la texture

    m_fichierImage = textureACopier.m_fichierImage;
    charger();
}

Nous devons donc corriger cela en utilisant l'opérateur = pour chacun d'entre eux :

Texture::Texture(Texture const &textureACopier)
{
    // Copie des attributs

    m_fichierImage = textureACopier.m_fichierImage;

    m_largeur = textureACopier.m_largeur;
    m_hauteur = textureACopier.m_hauteur;
    m_format = textureACopier.m_format;
    m_formatInterne = textureACopier.m_formatInterne;
    m_textureVide = textureACopier.m_textureVide;


    // Chargement de la copie

    charger();
}

Le chargement

Le chargement d'une texture copiée est ce qu'il y a de plus délicat à gérer, surtout dans notre situation car nous avons deux méthodes de chargement : l'une pour les images présentes sur le disque dur et l'autre pour les textures vides.

Le problème avec la copie ici c'est que la classe Texture est incapable de savoir laquelle des deux elle doit appeler. Pour le moment, elle appelle toujours la méthode charger() quelque soit le type de texture (vide ou image), ce qui va nous poser des problèmes quand on utilisera les Color Buffer car eux ont besoin de l'autre méthode.

Pour éviter cela, nous devons définir manuellement les cas de chargement pour appeler la bonne méthode. Pour nous aider, nous allons nous servir du seul attribut que nous n'avons pas encore utilisé : le booléen m_textureVide. Nous lui avions donné une valeur dans tous les constructeurs un peu plus haut.

Si sa valeur est égale à true (c'est-à-dire si la texture est vide) alors nous devons appeler la méthode chargerTextureVide(). Si elle est égale à false (image SDL), alors nous devons appeler la méthode charger(). Un petit bloc if sera nécessaire pour faire cette vérification :

// Si la texture est vide, alors on appelle la méthode chargerTextureVide()
    
if(m_textureVide)
    chargerTextureVide();
    
    
// Sinon, on appelle la méthode charger() par défaut
   
else
    charger();

Le constructeur complet :

Texture::Texture(Texture const &textureACopier)
{
    // Copie des attributs
    
    m_fichierImage = textureACopier.m_fichierImage;
    
    m_largeur = textureACopier.m_largeur;
    m_hauteur = textureACopier.m_hauteur;
    m_format = textureACopier.m_format;
    m_formatInterne = textureACopier.m_formatInterne;
    m_textureVide = textureACopier.m_textureVide;
    
    
    // Si la texture est vide, alors on appelle la méthode chargerTextureVide()
    
    if(m_textureVide)
        chargerTextureVide();
    
    
    // Sinon, on appelle la méthode charger() par défaut
    
    else
        charger();
}

Cette fois, la classe appellera la bonne méthode pour charger la texture. :)

Problème de copie des textures non chargées

Courage, il ne manque plus qu'une condition à gérer et toute cette partie embêtante sera terminée. ^^

Celle-ci concerne les textures qui n'ont pas encore été chargées au moment de la copie, c'est-à-dire celles dont nous n'avons appelé ni la méthode charger(), ni la méthode chargerTextureVide(). Que se passerait-il à votre avis si on essayait d'en copier une dans cette situation ? Et bien la copie serait automatiquement chargée même si l'originale ne l'était pas. Cet automatisme peut causer des problèmes et engendrer des bugs dans certains cas.

Pour éviter cela encore une fois, nous devons rajouter une condition qui vérifiera si la copie doit être chargée ou pas. Nous utiliserons la fonction glIsTexture() qui nous permet justement de savoir ceci :

Texture::Texture(Texture const &textureACopier)
{
    // Copie des attributs
    
    m_fichierImage = textureACopier.m_fichierImage;
    
    m_largeur = textureACopier.m_largeur;
    m_hauteur = textureACopier.m_hauteur;
    m_format = textureACopier.m_format;
    m_formatInterne = textureACopier.m_formatInterne;
    m_textureVide = textureACopier.m_textureVide;
    
    
    // Si la texture est vide, alors on appelle la méthode chargerTextureVide()
    
    if(m_textureVide && glIsTexture(textureACopier.m_id) == GL_TRUE)
        chargerTextureVide();
    
    
    // Sinon, on appelle la méthode charger() par défaut
    
    else if(glIsTexture(textureACopier.m_id) == GL_TRUE)
        charger();
}

Désormais, pour déclencher un des deux chargements, il faudra que la texture originale ait un identifiant valide.

L'opérateur =

Il ne reste plus qu'une seule chose a faire : recopier le code précédent dans la méthode operator=(), en n'oubliant pas de rajouter le return *this bien sûr :

Texture& Texture::operator=(Texture const &textureACopier)
{
    // Copie des attributs
    
    m_fichierImage = textureACopier.m_fichierImage;
    
    m_largeur = textureACopier.m_largeur;
    m_hauteur = textureACopier.m_hauteur;
    m_format = textureACopier.m_format;
    m_formatInterne = textureACopier.m_formatInterne;
    m_textureVide = textureACopier.m_textureVide;
    
    
    // Si la texture est vide, alors on appelle la méthode chargerTextureVide()
    
    if(m_textureVide && glIsTexture(textureACopier.m_id) == GL_TRUE)
        chargerTextureVide();
    
    
    // Sinon, on appelle la méthode charger() par défaut
    
    else if(glIsTexture(textureACopier.m_id) == GL_TRUE)
        charger();


    // Retour du pointeur *this

    return *this;
}

Les modifications dans la classe Texture sont terminées. :)


Qu'est-ce qu'un FBO ? Les Render Buffers

Les Render Buffers

Le Color Buffer Le Frame Buffer

Les tâches

Reprenons la petite liste de tâches que nous avons à faire pour créer un FBO. Dans cette partie, nous allons nous occuper des deux dernières :

Ces deux tâches sont liées entre elles car les Render Buffers sont créés à l'intérieur de la classe FrameBuffer. Nous commencerons par parler d'elle et de ses attributs avant d'attaquer les Render Buffers.

La classe FrameBuffer

Le header

La classe FrameBuffer constitue évidemment le coeur des FBO, elle devra gérer la création et l'utilisation de tous les buffers. Elle appellera par la méthode chargerTextureVide() que nous avons codée dans la partie précédente. ;)

Son header de base est celui-ci :

#ifndef DEF_FRAMEBUFFER
#define DEF_FRAMEBUFFER


// Include Windows

#ifdef WIN32
#include <GL/glew.h>


// Include Mac

#elif __APPLE__
#define GL3_PROTOTYPES 1
#include <OpenGL/gl3.h>


// Include UNIX/Linux

#else
#define GL3_PROTOTYPES 1
#include <GL3/gl3.h>

#endif


// Classe FrameBuffer

class FrameBuffer
{
    public:

    private:
};

#endif

Cette classe possédera pas mal d'attributs pour fonctionner correctement :

On ne crée par d'attribut pour le Stencil Buffer ?

Non nous n'en avons pas besoin, vous verrez pourquoi dans la partie suivante. :)

Cette petite flopée d’attributs permettra de gérer tous les aspects de nos futurs FBO. Nous en rajouterons quelqu'uns dans la dernière partie consacrée aux améliorations.

// Attributs 

GLuint m_id;
    
int m_largeur;
int m_hauteur;
    
std::vector<Texture> m_colorBuffers;
GLuint m_depthBufferID;

Le header comportera aussi son constructeur par défaut :

FrameBuffer();

Ainsi qu'un second constructeur qui prendra en paramètres la largeur et la hauteur du FBO. Nous passerons leur valeur aux attributs du même nom :

FrameBuffer(int largeur, int hauteur);

Ce sera ce constructeur que l'on utilisera principalement. ;)

Enfin, nous ajoutons aussi le destructeur qui ne change décidément pas de forme :

~FrameBuffer();

Si on résume tout ça :

#ifndef DEF_FRAMEBUFFER
#define DEF_FRAMEBUFFER


// Include Windows

#ifdef WIN32
#include <GL/glew.h>


// Include Mac

#elif __APPLE__
#define GL3_PROTOTYPES 1
#include <OpenGL/gl3.h>


// Include UNIX/Linux

#else
#define GL3_PROTOTYPES 1
#include <GL3/gl3.h>

#endif


// Includes communs

#include <vector>
#include "Texture.h"


// Classe

class FrameBuffer
{
    public:

    FrameBuffer();
    FrameBuffer(int largeur, int hauteur);
    ~FrameBuffer();


    private:

    GLuint m_id;
    
    int m_largeur;
    int m_hauteur;
    
    std::vector<Texture> m_colorBuffers;
    GLuint m_depthBufferID;
};

#endif

Les constructeurs et le destructeur

Passons tout de suite à l'implémentation des quelques pseudo-méthodes que nous avons déclarés, nous en seront débarrassés. :)

Le premier constructeur est assez simple (comme d'habitude) puisqu'il ne fait que mettre des valeurs nulles aux attributs. Nous leur donnerons tous la valeur 0 :

FrameBuffer::FrameBuffer() : m_id(0), m_largeur(0), m_hauteur(0), m_colorBuffers(0), m_depthBufferID(0)
{

}

Le second quant à lui sera un poil différent puisqu'il prendra 2 paramètres qui correspondent aux dimensions du FBO. Les autres attributs seront initialisés avec la valeur 0 :

FrameBuffer::FrameBuffer(int largeur, int hauteur) : m_id(0), m_largeur(largeur), m_hauteur(hauteur), 
                                                     m_colorBuffers(0), m_depthBufferID(0)
{

}

Pour ce qui est du destructeur, celui-ci ne va pas détruire grand chose pour le moment. Nous le remplirons une fois que nous aurons terminé l'implémentation de toutes les méthodes.

FrameBuffer::~FrameBuffer()
{

}

La méthode creerRenderBuffer()

Explications

Maintenant que nous avons un squelette de classe défini, nous allons pouvoir passer à la troisième tâche que nous attend sur la liste : la création des Render Buffers.

Comme je vous l'ai dit tout à l'heure, les Render Buffers ne seront pas codés dans une classe dédiée, ils ne sont pas aussi importants que les textures donc ils n'ont pas besoin d'être séparés du reste. Nous les utiliserons pour gérer le Depth et le Stencil Buffer qui, contrairement au Color, ne sont pas représentables par des textures (souvenez-vous du petit schéma dans l'introduction).

Pour les créer, nous allons implémenter une méthode qui se chargera de générer et de configurer un Render Buffer à partir d'un identifiant OpenGL. De cette façon, nous initialiserons un buffer très simplement en utilisant seulement une lignes de code. :)

La méthode en question s'appellera creerRenderBuffer() et prendra 2 paramètres :

void creerRenderBuffer(GLuint &id, GLenum formatInterne);

Génération de l'identifiant

L'avantage des Render Buffers c'est que ce sont des objets OpenGL, ils se gèrent donc de la même façon que les VBO, les VAO et les textures. C'est-à-dire qu'ils ont besoin d'un identifiant et d'un verrouillage pour leur configuration (et à fortiori pour leur utilisation). Nous retrouverons ainsi, une fois de plus, toutes les fonctions du type glGenXXX(), glBindXXX() etc. ^^

Je vais passer rapidement sur ces deux notions que nous avons l'habitude de voir maintenant. La première est la génération d'identifiant, elle se fait ici avec la fonction glGenRenderbuffers() :

void glGenRenderbuffers(GLsizei number, GLuint *renderbuffers);

Nous appellerons cette fonction en donnant en paramètre la valeur 1 ainsi que l'adresse de la variable id (qui est elle-même un paramètre de la méthode creerRenderBuffer()) :

void FrameBuffer::creerRenderBuffer(GLuint &id, GLenum formatInterne)
{
    // Génération de l'identifiant

    glGenRenderbuffers(1, &id);
}

On profite de cette génération pour inclure la vérification d'un "précédent chargement" qui s'applique à tous les objets OpenGL, et donc aux Render Buffers, afin d'éviter d'éventuelles fuites de mémoire. Nous utiliserons pour cela la fonction glIsRenderbuffer() :

GLboolean glIsRenderbuffer(GLuint renderbuffer);

La fonction renvoie la valeur GL_FALSE si aucun chargement n'a été effectué sur l'objet donné ou GL_TRUE si c'est le cas.

Si nous tombons sur la première valeur, nous n'aurons rien à faire. En revanche, si la fonction nous renvoie GL_TRUE il faudra faire attention à détruire le Render Buffer avant de le charger à nouveau. La fonction permettant cette destruction s'appelle glDeleteRenderbuffers() :

void glDeleteRenderbuffers(GLsizei number, GLuint *renderbuffers);

Elle prend exactement les mêmes paramètres que glGenRenderbuffers(), à savoir :

Comme à l'accoutumé, nous appellerons les deux fonctions que nous venons de voir juste avant la génération d'ID :

void FrameBuffer::creerRenderBuffer(GLuint &id, GLenum formatInterne)
{
    // Destruction d'un éventuel ancien Render Buffer

    if(glIsRenderbuffer(id) == GL_TRUE)
        glDeleteRenderbuffers(1, &id);


    // Génération de l'identifiant

    glGenRenderbuffers(1, &id);
}

Configuration

Maintenant que nous avons un Render Buffer généré, il ne nous reste plus qu'à le configurer. Cette étape commence évidemment par le "verrouillage" de façon à ce qu'OpenGL sache sur quel objet il doit travailler. Nous utiliserons pour cela la fonction glBindRenderbuffer() :

void glBindRenderbuffer(GLenum target, GLuint renderbuffer);

Nous appellerons cette fonction deux fois : une fois pour le verrouillage et une autre pour le déverrouillage. Le premier appel prendra en paramètre l'identifiant à verrouiller tandis que le second prendra la valeur 0 :

void FrameBuffer::creerRenderBuffer(GLuint &id, GLenum formatInterne)
{
    // Destruction d'un éventuel ancien Render Buffer

    if(glIsRenderbuffer(id) == GL_TRUE)
        glDeleteRenderbuffers(1, &id);


    // Génération de l'identifiant

    glGenRenderbuffers(1, &id);


    // Verrouillage

    glBindRenderbuffer(GL_RENDERBUFFER, id);


    // Déverrouillage

    glBindRenderbuffer(GL_RENDERBUFFER, 0);
}

Le Render Buffer est à présent verrouillé et prêt à être configuré. Cette opération va d'ailleurs être beaucoup plus simple que celle des autres objets OpenGL car nous n'avons besoin ici que d'une seule et unique fonction.

La fonction en question peut d'ailleurs nous faire penser à glTexImage2D() car elle permet de définir le format et les dimensions du Render Buffer. Elle possède cependant moins de paramètres qu'elle, ce qui la rend tout de même plus agréable à utiliser. :p

Cette fameuse fonction s'appelle glRenderbufferStorage() :

void glRenderbufferStorage(GLenum target, GLenum internalformat, GLsizei width, GLsizei height);

Vous vous souvenez du paramètre formatInterne dont je vous parlé tout à l'heure ? Celui de la méthode creerRenderBuffer() ? Et bien c'est ici que nous allons l'utiliser.

Ce dernier permet de définir le "type" de donnée à stocker dans le buffer. Par exemple, les données relatives à la profondeur (Depth) ne sont pas du tout les mêmes que celles relatives aux pochoirs (Stencil), et pourtant ce sont tous les deux des Render Buffers. Pour marquer cette différence, il faut indiquer dès maintenant le type de donnée qu’accueillera le buffer.

Pour cela, nous allons donner le paramètre formatInterne à la fonction glRenderbufferStorage(). Nous lui donnerons également les dimensions du FBO à l'aide des attributs m_largeur et m_hauteur :

// Configuration du Render Buffer

glRenderbufferStorage(GL_RENDERBUFFER, formatInterne, m_largeur, m_hauteur);

Avec cet appel, nous demandons à créer un Render Buffer du type donné par le paramètre formatInterne (nous verrons ses valeurs possibles dans la partie qui suit) le tout avec les dimensions de notre FBO initial.

Si on ajoute ceci à notre méthode, on obtient :

void FrameBuffer::creerRenderBuffer(GLuint &id, GLenum formatInterne)
{
    // Destruction d'un éventuel ancien Render Buffer

    if(glIsRenderbuffer(id) == GL_TRUE)
        glDeleteRenderbuffers(1, &id);


    // Génération de l'identifiant

    glGenRenderbuffers(1, &id);


    // Verrouillage

    glBindRenderbuffer(GL_RENDERBUFFER, id);


        // Configuration du Render Buffer

        glRenderbufferStorage(GL_RENDERBUFFER, formatInterne, m_largeur, m_hauteur);


    // Déverrouillage

    glBindRenderbuffer(GL_RENDERBUFFER, 0);
}

La méthode creerRenderBuffer() est maintenant terminée, nous pouvons l'utiliser quand bon nous semble. C'est d'ailleurs ce que nous allons faire tout de suite en utilisant tout ce que l'on vient de faire (Color et Render Buffers) dans le but de créer enfin notre premier FBO. :D


Le Color Buffer Le Frame Buffer

Le Frame Buffer

Les Render Buffers Utilisation

La méthode charger()

Une impression de déjà-vu

Après avoir créé les deux types de buffers dans les parties précédentes, nous allons enfin pouvoir les associer au FBO. Si vous vous sentez un peu perdus entre tous ces buffers, vous pouvez faire une petite analogie avec les shaders : d'un coté vous avez les Color et Render Buffers (les Vertex et Fragment Shaders) et de l'autre le Frame Buffer qui va les utiliser (Le Programme). Je vous redonne le schéma du début pour vous resituer :

Image utilisateur

La comparaison avec les shaders ne s'arrête pas là d'ailleurs car nous retrouvons des notions similaires telles que l'association des buffers avec le FBO, le "attachment", ainsi que la vérification d'intégrité qui sera ici beaucoup moins longue à coder je vous rassure :p

Nous ferons tout ça dans une nouvelle méthode qui s'appellera tout simplement charger() :

bool charger();

Elle retournera un booléen pour confirmer ou non la réussite du chargement. Pensez à inclure ce prototype dans le header de la classe FrameBuffer.

La génération d'identifiant

Allez, on se met dans le bain directement et on commence à coder notre nouvelle méthode dès maintenant. Le début sera très similaire à ce que nous avons fait jusqu'à présent car les Frame Buffers sont eux-aussi des objets OpenGL (et oui encore :p ). On retrouvera donc une fois de plus la génération d'identifiant, la vérification de double chargement et le verrouillage.

La première de ces opérations sera assurée par la fonction glGenFrambuffers() :

void glGenFramebuffers(GLsizei number,  GLuint *ids);

Le verrouillage quant à lui, sera effectué par la fonction glBindFramebuffer() :

void glBindFramebuffer(GLenum target, GLuint framebuffer);

Nous utiliserons ces deux fonctions au début de la méthode charger(). L'identifiant à donner sera évidemment l'attribut m_id de notre classe FrameBuffer :

bool FrameBuffer::charger()
{
    // Génération d'un id

    glGenFramebuffers(1, &m_id);


    // Verrouillage du Frame Buffer

    glBindFramebuffer(GL_FRAMEBUFFER, m_id);

  
    // Déverrouillage du Frame Buffer

    glBindFramebuffer(GL_FRAMEBUFFER, 0);
}

Remarquez le dernier appel qui permet de déverrouiller le FBO.

Comme d'habitude, on en profite au passage pour inclure le code qui permet d'éviter le double chargement. Nous utiliserons pour cela les fonctions glIsFramebuffer() et glDeleteFramebuffers() :

GLboolean glIsFramebuffer(GLuint framebuffer);

void glDeleteFramebuffers(GLsizei number, GLuint *framebuffers);

Nous appellerons ces fonctions avec un bloc if de la même façon que d'habitude. Je vous conseille cependant de mettre des accolades à votre bloc car nous rajouterons une instruction dans très peu de temps. ;)

// Vérification d'un éventuel ancien FBO

if(glIsFramebuffer(m_id) == GL_TRUE)
{
    glDeleteFramebuffers(1, &m_id);
}

Si on ajoute ceci au code que nous avions déjà :

bool FrameBuffer::charger()
{
    // Vérification d'un éventuel ancien FBO

    if(glIsFramebuffer(m_id) == GL_TRUE)
    {
        glDeleteFramebuffers(1, &m_id);
    }


    // Génération d'un id

    glGenFramebuffers(1, &m_id);


    // Verrouillage du Frame Buffer

    glBindFramebuffer(GL_FRAMEBUFFER, m_id);

  
    // Déverrouillage du Frame Buffer

    glBindFramebuffer(GL_FRAMEBUFFER, 0);
}

Le Color Buffer

Comme dit un peu plus, la configuration du FBO va être d'une simplicité enfantine. Nous avons déjà tout codé dans les parties précédentes, nous n'avons juste qu'à appeler nos nouvelles méthodes pour créer nos différents buffers.

Le premier dont nous allons nous occuper est le Color Buffer. En théorie, nous devrions gérer le cas où nous en utiliserions 16 comme le permet OpenGL, cependant je ne veux pas vous alourdir encore plus les explications surtout avec tout ce que l'on a vu jusqu'à maintenant. Nous verrons donc cela dans la dernière partie de ce chapitre qui sera consacrée aux améliorations.

En attendant, nous allons gérer le cas où nous utilisons un seul et unique Color Buffer qui correspond, je vous le rappelle, à une texture. La première étape consistera à créer un nouvel objet de type Texture grâce au nouveau constructeur de cette classe.

Texture(int largeur, int hauteur, GLenum format, GLenum formatInterne, bool textureVide);

Celui-ci prendra en paramètres :

Nous créons donc un objet Texture en utilisant ce constructeur :

// Création du Color Buffer

Texture colorBuffer(m_largeur, m_hauteur, GL_RGBA, GL_RGBA, true);

Ensuite, on appelle la méthode chargerTextureVide() de notre nouvel objet de façon à l'initialiser avec les bonnes dimensions et les bons formats :

// Création du Color Buffer

Texture colorBuffer(m_largeur, m_hauteur, GL_RGBA, GL_RGBA, true);
colorBuffer.chargerTextureVide();

Enfin, on l'ajoute au tableau dynamique m_colorBuffers. Ce dernier ne contiendra qu'une seule texture pour le moment mais n'oubliez pas que nous allons gérer les autre cas un peu plus tard :

// Création du Color Buffer

Texture colorBuffer(m_largeur, m_hauteur, GL_RGBA, GL_RGBA, true);
colorBuffer.chargerTextureVide();


// Ajout au tableau

m_colorBuffers.push_back(colorBuffer);

Petit récap :

bool FrameBuffer::charger()
{
    // Vérification d'un éventuel ancien FBO

    if(glIsFramebuffer(m_id) == GL_TRUE)
    {
        glDeleteFramebuffers(1, &m_id);
    }


    // Génération d'un id

    glGenFramebuffers(1, &m_id);


    // Verrouillage du Frame Buffer

    glBindFramebuffer(GL_FRAMEBUFFER, m_id);


        // Création du Color Buffer

        Texture colorBuffer(m_largeur, m_hauteur, GL_RGBA, GL_RGBA, true);
        colorBuffer.chargerTextureVide();


        // Ajout au tableau

        m_colorBuffers.push_back(colorBuffer);

  
    // Déverrouillage du Frame Buffer

    glBindFramebuffer(GL_FRAMEBUFFER, 0);
}

Le Depth et le Stencil Buffer

Bien, on passe maintenant aux Render Buffers.

Dans la partie précédente, nous avons codé une méthode permettant d'en créer un très facilement. Son prototype est le suivant :

void creerRenderBuffer(GLuint &id, GLenum formatInterne);

Fut un temps, nous aurions appelé cette méthode deux fois : une pour le Depth Buffer et l'autre pour le Stencil. Cependant, les choses ont changés et ce système ne semble plus fonctionner avec OpenGL 3. Au lieu d'avoir deux buffers séparés, nous n'en avons maintenant plus qu'un seul qui remplit le rôle du Depth et du Stencil.

Notre petit schéma n'est donc plus exact, il doit être modifié pour fusionner les deux Render Buffers :

Image utilisateur

Ce schéma est plus proche de la réalité. :)

En définitif, nous n'appellerons pas la méthode creerRenderBuffer() deux fois mais une seule fois. Nous lui donnerons en paramètre l'attribut m_depthBufferID qui accueillera le "double-buffer" ainsi que la constante GL_DEPTH24_STENCIL8 pour le format interne. Cette constante permet de :

L'appel final ressemble donc à ceci :

// Création du Depth et du Stencil Buffer

creerRenderBuffer(m_depthBufferID, GL_DEPTH24_STENCIL8);

Quelle simplicité, nous venons de créer un double-buffer en seulement une lignes de code. :p

Petite récap :

bool FrameBuffer::charger()
{
    // Vérification d'un éventuel ancien FBO

    if(glIsFramebuffer(m_id) == GL_TRUE)
    {
        glDeleteFramebuffers(1, &m_id);
    }


    // Génération d'un id

    glGenFramebuffers(1, &m_id);


    // Verrouillage du Frame Buffer

    glBindFramebuffer(GL_FRAMEBUFFER, m_id);


        // Création du Color Buffer

        Texture colorBuffer(m_largeur, m_hauteur, GL_RGBA, GL_RGBA, true);
        colorBuffer.chargerTextureVide();


        // Ajout au tableau

        m_colorBuffers.push_back(colorBuffer);


        // Création du Depth et du Stencil Buffer

        creerRenderBuffer(m_depthBufferID, GL_DEPTH24_STENCIL8);

  
    // Déverrouillage du Frame Buffer

    glBindFramebuffer(GL_FRAMEBUFFER, 0);
}

Association (Attachment)

Nos différentes buffers sont maintenant créés et prêts à être utilisés. Cependant ils ne sont pas d'une grande utilité pour le moment, ils sont tous éparpillés dans plusieurs attributs et OpenGL ne connait même pas leur existence. Pour remédier à ce problème, nous allons les associer au FBO, un peu comme nous avons associé les shaders au programme.

Pour faire cela, nous aurons besoin de deux fonctions : l'une est dédiée aux Color Buffers et l'autre aux Render Buffers. Je vais vous demander un peu d'attention pour leur explication car ce sont certainement les fonctions OpenGL les plus importantes de ce chapitre.

La première s'appelle glFramebufferTexture2D() (un peu compliqué comme nom ^^ ) :

void glFramebufferTexture2D(GLenum target, GLenum attachment, GLenum textarget, GLuint texture, GLint level);

Le paramètre auquel il faut faire attention ici est évidemment le paramètre attachment. Ce dernier correspond au point d'attache, ou plus grossièrement à l'index du Color Buffer. N'oubliez pas que nous pouvons en créer jusqu'à 16, il faut qu'OpenGL donne un index à chacun d'entre eux pour pouvoir les reconnaitre au moment de l'affichage.

C'est précisément ce que fait le paramètre attachment, il permet de différencier les buffers au moment de les associer. Les valeurs qu'il peut prendre correspondent aux constantes allant de GL_COLOR_ATTACHMENT0 à GL_COLOR_ATTACHMENT15. Dans notre cas, nous n'utiliserons que la première car nous n'avons qu'un seul buffer à gérer.

Au final, l'appel à la fonction glFramebufferTexture2D() ressemblera à ceci :

// Association du Color Buffer

glFramebufferTexture2D(GL_FRAMEBUFFER, GL_COLOR_ATTACHMENT0, GL_TEXTURE_2D, m_colorBuffers[0].getID(), 0);

La seconde fonction d'association ressemble fortement à la première, ses paramètres sont assez semblables sauf qu'ils permettent de gérer les Render Buffers. La fonction s'appelle glFramebufferRenderbuffer() :

void glFramebufferRenderbuffer(GLenum target, GLenum attachment, GLenum renderbuffertarget, GLuint renderbuffer);

Le principe du paramètre attachment ne change pas vraiment par rapport au précédent on parle toujours du point d'attache, sauf qu'ici OpenGL n'attend plus un index mais le type de Render Buffer que l'on souhaite associer.

Là-aussi, nous devrions en théorie appeler cette fonction deux fois pour le Depth et le Stencil Buffer, cependant avec la fusion de ces derniers, nous n'aurons besoin que d'un seul appel.

Le paramètre attachment prendra une constante assez proche de celle que l'on a utilisée pour la méthode creerRenderBuffer() et qui s'appelle : GL_DEPTH_STENCIL_ATTACHMENT. L'appel à la fonction glFramebufferRenderbuffer() ressemblera donc à ceci :

// Association du Depth et du Stencil Buffer

glFramebufferRenderbuffer(GL_FRAMEBUFFER, GL_DEPTH_STENCIL_ATTACHMENT, GL_RENDERBUFFER, m_depthBufferID);

Avec cet appel, on associe le double-buffer que l'on a créé précédemment avec le point d'attache GL_DEPTH_STENCIL_ATTACHMENT. Le FBO possède maintenant tous les buffers dont il a besoin pour fonctionner. ^^

Si on récapitule tout ça :

bool FrameBuffer::charger()
{
    // Vérification d'un éventuel ancien FBO

    if(glIsFramebuffer(m_id) == GL_TRUE)
    {
        glDeleteFramebuffers(1, &m_id);
    }


    // Génération d'un id

    glGenFramebuffers(1, &m_id);


    // Verrouillage du Frame Buffer

    glBindFramebuffer(GL_FRAMEBUFFER, m_id);


        // Création du Color Buffer

        Texture colorBuffer(m_largeur, m_hauteur, GL_RGBA, GL_RGBA, true);
        colorBuffer.chargerTextureVide();


        // Ajout au tableau

        m_colorBuffers.push_back(colorBuffer);


        // Création du Depth et du Stencil Buffer

        creerRenderBuffer(m_depthBufferID, GL_DEPTH24_STENCIL8);


        // Association du Color Buffer

        glFramebufferTexture2D(GL_FRAMEBUFFER, GL_COLOR_ATTACHMENT0, GL_TEXTURE_2D, m_colorBuffers[0].getID(), 0);


        // Association du Depth et du Stencil Buffer

        glFramebufferRenderbuffer(GL_FRAMEBUFFER, GL_DEPTH_STENCIL_ATTACHMENT, GL_RENDERBUFFER, m_depthBufferID);

  
    // Déverrouillage du Frame Buffer

    glBindFramebuffer(GL_FRAMEBUFFER, 0);
}

Vérification de la construction

En théorie, nous sommes maintenant capables d'utiliser notre classe FrameBuffer sans ajouter de code quelconque. Cependant, faire cela serait assez imprudent car nous ne savons absolument pas si notre FBO est valide ou non.

Pour éviter d'être surpris lors de notre prochain affichage, nous allons coder encore un petit bloc dans la méthode charger() qui nous permettra de vérifier ce que l'on peut appeler l'intégrité du FBO. Si une erreur s'est produite au moment de sa construction (buffer, association, etc.) OpenGL nous le fera savoir, et nous devrons réagir en conséquence.

Mais euh comment on fait pour savoir si le FBO est mal construit ?

La réponse est très simple : il existe une fonction pour nous le dire, tout comme avec les shaders.

Heureusement pour nous, la fonction en question est moins compliquée à utiliser que celle des shaders une fois de plus. Vous vous souvenez qu'avec eux, il fallait vérifier s'il y avait une erreur, récupérer la taille du message et l'afficher. Avec les FBO, nous n'avons pas à faire tout ça. :) Mais en contrepartie, nous n'aurons pas de détails précis sur l'erreur remontée. Ce n'est pas trop grave ici car nous n'avons pas de code source à vérifier, l'erreur est donc moins susceptible de venir de nous.

Cette fonction de vérification s'appelle glCheckFramebufferStatus() :

GLenum glCheckFramebufferStatus(GLenum target);

Elle renvoie plusieurs constantes en cas d'erreur ou GL_FRAMEBUFFER_COMPLETE si tout s'est bien passé. Pour plus de simplicité, nous n'utiliserons que cette dernière. ;)

Nous commençons donc notre code en vérifiant la valeur renvoyée par la fonction glCheckFramebufferStatus(). Si elle est différente de GL_FRAMEBUFFER_COMPLETE alors on entre dans un bloc if :

// Vérification de l'intégrité du FBO

if(glCheckFramebufferStatus(GL_FRAMEBUFFER) != GL_FRAMEBUFFER_COMPLETE)
{

}

Si le programme entre dans ce bloc, c'est qu'il s'est passé quelque chose de mauvais dans la méthode (un Render Buffer mal initialisé par exemple). Si cela arrive, il faudra libérer toute la mémoire prise par les différents objets.

Pour cela, nous allons appeler la fonction glDeleteFramebuffers() pour détruire le FBO et la fonction glDeleteRenderbuffers() pour détruire le double-buffer gérant le Depth et le Stencil :

// Vérification de l'intégrité du FBO

if(glCheckFramebufferStatus(GL_FRAMEBUFFER) != GL_FRAMEBUFFER_COMPLETE)
{
    // Libération des buffers

    glDeleteFramebuffers(1, &m_id);
    glDeleteRenderbuffers(1, &m_depthBufferID);
}

Hum au fait, on ne libère pas tout là ... Il manque encore le Color Buffer non ?

Oui c'est exact ! Je l'ai gardé pour la fin celui-la. :p

En fait, ce buffer-la est un peu spécial vu qu'il s'agit d'une texture. Sa libération dépend donc entièrement de son destructeur. Pour l'appeler, il nous suffit simplement de supprimer la texture dans le tableau m_colorBuffers, le programme appellera automatiquement le destructeur concerné. C'est une des bases du C++.

Pour supprimer la texture, nous n'allons pas utiliser la méthode pop_back() contrairement à ce qu'on pourrait penser. A la place, nous allons prendre un peu d'avance et imaginer que nous ayons 77 Color Buffers à détruire. Si nous étions dans ce cas, nous n'appellerions pas la même méthode 7 fois d'affilé. Ce serait une perte de temps, surtout que la classe vector nous fourni une jolie méthode qui permet de vider entièrement son contenu. Cette méthode s'appelle clear().

Si nous l'utilisons, le tableau se videra entièrement et le programme appellera automatiquement les destructeurs de tous les objets qu'il contient. ^^

Donc au final, pour libérer la mémoire prise par toutes les textures, nous appellerons la méthode clear() :

// Vérification de l'intégrité du FBO

if(glCheckFramebufferStatus(GL_FRAMEBUFFER) != GL_FRAMEBUFFER_COMPLETE)
{
    // Libération des buffers

    glDeleteFramebuffers(1, &m_id);
    glDeleteRenderbuffers(1, &m_depthBufferID);

    m_colorBuffers.clear();
}

Maintenant, tous nos objets sont détruits proprement et la mémoire est libérée.

Il ne reste plus qu'à afficher un message d'erreur pour conclure le tout et renvoyer la valeur false :

// Vérification de l'intégrité du FBO

if(glCheckFramebufferStatus(GL_FRAMEBUFFER) != GL_FRAMEBUFFER_COMPLETE)
{
    // Libération des buffers

    glDeleteFramebuffers(1, &m_id);
    glDeleteRenderbuffers(1, &m_depthBufferID);

    m_colorBuffers.clear();


    // Affichage d'un message d'erreur et retour de la valeur false

    std::cout << "Erreur : le FBO est mal construit" << std::endl;

    return false;
}

Si on récapitule toute notre méthode charger() :

bool FrameBuffer::charger()
{
    // Vérification d'un éventuel ancien FBO

    if(glIsFramebuffer(m_id) == GL_TRUE)
    {
        glDeleteFramebuffers(1, &m_id);
    }


    // Génération d'un id

    glGenFramebuffers(1, &m_id);


    // Verrouillage du Frame Buffer

    glBindFramebuffer(GL_FRAMEBUFFER, m_id);


        // Création du Color Buffer

        Texture colorBuffer(m_largeur, m_hauteur, GL_RGBA, GL_RGBA, true);
        colorBuffer.chargerTextureVide();


        // Ajout au tableau

        m_colorBuffers.push_back(colorBuffer);


        // Création du Depth et du Stencil Buffer

        creerRenderBuffer(m_depthBufferID, GL_DEPTH24_STENCIL8);


        // Association du Color Buffer

        glFramebufferTexture2D(GL_FRAMEBUFFER, GL_COLOR_ATTACHMENT0, GL_TEXTURE_2D, m_colorBuffers[0].getID(), 0);


        // Association du Depth et du Stencil Buffer

        glFramebufferRenderbuffer(GL_FRAMEBUFFER, GL_DEPTH_STENCIL_ATTACHMENT, GL_RENDERBUFFER, m_depthBufferID);


        // Vérification de l'intégrité du FBO

        if(glCheckFramebufferStatus(GL_FRAMEBUFFER) != GL_FRAMEBUFFER_COMPLETE)
        {
            // Libération des buffers

            glDeleteFramebuffers(1, &m_id);
            glDeleteRenderbuffers(1, &m_depthBufferID);

            m_colorBuffers.clear();


            // Affichage d'un message d'erreur et retour de la valeur false

            std::cout << "Erreur : le FBO est mal construit" << std::endl;

            return false;
        }
  

    // Déverrouillage du Frame Buffer

    glBindFramebuffer(GL_FRAMEBUFFER, 0);
}

Il ne manque plus que la touche finale : le renvoi de la valeur true pour indiquer que tout s'est bien passé (tant que la condition précédente n'a pas été déclenchée) :

bool FrameBuffer::charger()
{
    // Création du FBO + Vérification

    ....


    // Déverrouillage du Frame Buffer

    glBindFramebuffer(GL_FRAMEBUFFER, 0);


    // Si tout s'est bien passé, on renvoie la valeur true

    return true;
}

Cette fois, nous avons enfin terminé tout le codage des Frame Buffer. :D Nous avons créé tout ce dont ils avaient besoin pour fonctionner. Nous avons même inclus un code de vérification en cas d'erreur.

On passe maintenant aux derniers détails à régler avant d'utiliser notre premier FBO dans une scène 3D. :D

Petit rajout

On commence tout de suite les petits détails par la première vérification de la méthode charger(), celle qui concerne le cas des double chargements. Je vous avais demandé de rajouter des accolades à votre bloc if car nous allions rajouter quelques lignes de code :

bool FrameBuffer::charger()
{
    // Vérification d'un éventuel ancien FBO

    if(glIsFramebuffer(m_id) == GL_TRUE)
    {
        glDeleteFramebuffers(1, &m_id);
    }


    // Génération d'un id

    ....
}

Les lignes de code concernées sont en fait celles qui permettent de détruire tous les objets OpenGL. Le but de cette vérification est de nettoyer un éventuel ancien chargement, il faut donc penser à détruire tous les objets qui étaient présents avant.

Cependant, nous n'ajouterons que la destruction des Colors Buffers car les Render Buffers sont détruits automatiquement au début de la méthode creerRenderBuffer(). Il est donc inutile de les détruire une seconde fois. ;)

Donc au final, nous n'ajoutons que l'appel à la méthode clear() pour l'attribut m_colorBuffers :

bool FrameBuffer::charger()
{
    // Vérification d'un éventuel ancien FBO

    if(glIsFramebuffer(m_id) == GL_TRUE)
    {
        // Destruction du Frame Buffer

        glDeleteFramebuffers(1, &m_id);


        // Libération des Color Buffers

        m_colorBuffers.clear();
    }


    // Génération d'un id

    ....
}

Le destructeur

Contrairement au début du chapitre, le destructeur va enfin pouvoir se remplir un peu pour lui permettre de détruire tous les objets OpenGL. Pour nous faciliter la vie en plus, nous allons faire les faignants et reprendre le code de destruction que nous déjà avons fait au moment de vérifier l'intégrité du FBO. :p En effet, ce code-la détruit proprement les différents objets OpenGL utilisés, à savoir tous les Color Buffers, le double Render Buffer (Depth et Stencil) et le FBO en lui-même pour finir :

FrameBuffer::~FrameBuffer()
{
    // Destruction des buffers

    glDeleteFramebuffers(1, &m_id);
    glDeleteRenderbuffers(1, &m_depthBufferID);

    m_colorBuffers.clear();
}

Quelques getters

On termine cette partie avec quelques getters qui nous serviront à manipuler nos FBO sans problème. Nous en aurons exactement besoin de quatre : le premier permettra de récupérer l'identifiant du FBO, le deuxième permettra de récupérer ceux des différents Color Buffer et les deux derniers s'occuperont de renvoyer la largeur et la hauteur. Voici leur prototype :

GLuint getID() const;
GLuint getColorBufferID(unsigned int index) const;

int getLargeur() const;
int getHauteur() const;

L'implémentation de la première méthode se passe de commentaire, il suffit de renvoyer la valeur de l'attribut m_id :

GLuint FrameBuffer::getID() const
{
    return m_id;
}

Au niveau de la seconde méthode, on ne peut pas se contenter de renvoyer l'attribut m_colorBuffers car cela casserait la règle de l'encapsulation (il ne faut pas pouvoir accéder à un attribut en dehors de sa classe d'origine). A la place, nous allons utiliser un index pour récupérer une texture dans ce tableau et appeler ensuite sa propre méthode getID(). De cette façon, on peut renvoyer l'identifiant du Color Buffer souhaité sans avoir à accéder directement à l'attribut m_colorBuffers en dehors de la classe. :)

GLuint FrameBuffer::getColorBufferID(unsigned int index) const
{
    return m_colorBuffers[index].getID();
}

Les deux derniers getters renverront simplement les attributs m_largeur et m_hauteur :

int FrameBuffer::getLargeur() const
{
    return m_largeur;
}

int FrameBuffer::getHauteur() const
{
    return m_hauteur;
}

Grâce à ces getters, nous pourrons utiliser nos FBO facilement. ^^ Et c'est justement ce que nous allons faire maintenant.


Les Render Buffers Utilisation

Utilisation

Le Frame Buffer Améliorations simples

Quelques explications

Après toutes les péripéties des précédentes parties, nous allons pouvoir nous reposer un peu. L'utilisation des FBO est une chose assez simple si on la compare à la configuration car il n'y a pas grand chose à faire.

L'objectif de cette partie va être de faire un rendu d'une caisse à l'intérieur d'un carré, que l'on peut comparer un à second écran :

Image utilisateur

Avec ceci, nous ne verrons plus la caisse comme un modèle 3D mais comme une simple image sur un écran de télévision. Nous ajouterons même une petite rotation pour prouver que le rendu se fait en temps réel.

Mais avant cela, nous allons voir ensemble quelques notions relatives à l'utilisation des FBO. Elles ne sont pas compliquées à comprendre mais il faut mieux les voir pour éviter d'être surpris par certains points plus tard.

Les passes

La première chose à savoir à propos de l'utilisation des FBO c'est qu'elle est axée autour de deux étapes, ou de deux passes.

La première passe consiste à effectuer le rendu de ce qui se trouvera dans le FBO. Dans notre cas, ce serait uniquement une caisse. Si nous voulions faire une caméra de sécurité, il y aurait une salle, des personnages, des bureaux, etc. En gros tout ce qui se trouve dans le champ de vision de la caméra.

Tous ces rendus ne s'affichent pas sur l'écran évidemment mais dans le Color Buffer du FBO qui est une simple texture en deux dimensions.

La seconde passe quant à elle consiste à faire le rendu "normal" de la scène 3D, exactement comme nous l'avons toujours fait jusque là. La seule différence sera l'ajout d'un carré, ou tout autre surface, sur laquelle nous afficherons la texture du FBO. Pour reprendre l'exemple de la caméra, nous ajouterions une carré représentant une télévision quelque part dans notre scène sur laquelle viendrait s'afficher le rendu du FBO. Nous pourrions ainsi observer ce qui se trouve dans une salle tout en étant à un autre endroit.

Bien entendu, nous pouvons faire beaucoup plus de choses, notamment des ajouts d'effets sur la texture, mais vous avez au moins un aperçu de ce que sont les passes.

La résolution d'un FBO

La résolution des FBO est notion importante à prendre en compte car elle impacte directement les performances de votre application.

Il faut savoir qu'un FBO fera très rarement la taille de votre véritable écran. Il est tout à fait possible de procéder ainsi mais les ressources consommées seront trop importantes du fait des deux passes. C'est comme si vous travailliez avec des textures de 2048x2048 ...

Le choix de la résolution dépend de ce que vous voulez faire avec votre FBO. Un effet de miroir demandera plus de précision qu'un effet de flou par exemple. Il faudra jauger en fonction des situations.

Dans ce cas, nous utiliserons une résolution de 512x512. Cela nous rapprochera du pack de textures que nous utilisons.

Les matrices

Étant donné que nous avons deux affichages différents, nous allons devoir utiliser deux couples de matrices différents. Nous aurons ainsi une matrice projection et modelview dédiées à la première passe, et un autre couple pour le rendu normal.

Même si l'on fait deux fois le même affichage il vaut mieux séparer les matrices, en particulier la matrice projection car c'est elle qui gère la résolution finale. Souvenez-vous de ce que fait sa méthode perspective().

Première utilisation

Après ces petites explications, nous pouvons passer à la pratique. Le but est d'afficher une caisse dans une sorte de télé, nous allons le faire en faisant attention aux quelques points que nous avons vus à l'instant.

Création du FBO

Premièrement, nous allons reprendre le code du dernier chapitre et ajouter quelques lignes de code pour créer notre FBO. Celui-ci sera contenu dans un objet FrameBuffer et sa résolution de 512x512 pixels :

void SceneOpenGL::bouclePrincipale()
{
    // Variables

    unsigned int frameRate (1000 / 50);
    Uint32 debutBoucle(0), finBoucle(0), tempsEcoule(0);


    // Frame Buffer

    FrameBuffer frameBuffer(512, 512);
    frameBuffer.charger();


    // Matrices

    ....
}

N'oubliez pas d'inclure le header FrameBuffer.h pour ne pas avoir d'erreur au moment de la compilation. N'oubliez pas non plus d'appeler la méthode charger().

Les matrices

Maintenant que le FBO est créé, nous pouvons passer à la création du second couple de matrices, celles qui seront dédiées à la première passe. Ces matrices porteront quasiment le même nom que celles que nous avons l'habitude de manipuler :

void SceneOpenGL::bouclePrincipale()
{
    // Variables

    unsigned int frameRate (1000 / 50);
    Uint32 debutBoucle(0), finBoucle(0), tempsEcoule(0);


    // Frame Buffer

    FrameBuffer frameBuffer(512, 512);
    frameBuffer.charger();


    // Matrices (première passe)

    mat4 projectionFBO, modelviewFBO;

    ....
}

L'initialisation de ces matrices sera elle-aussi quasiment identique. La seule chose qui va différer dans cette initialisation c'est le rapport des pixels pour la matrice de projection (le ratio).

De base, celui-ci est relatif à la taille de votre fenêtre, tout dépend de ce que vous avez mis avant. Cependant le rendu de la première passe s'effectue dans le FBO, le rapport doit donc est relatif à la taille de ce dernier. Vu que nous avons spécifié une taille de 512x512 pixels, le rapport sera donc de 512 / 512. Nous utiliserons les getters sur la largeur et la hauteur du FBO pour avoir accès à ces valeurs, ce qui sera utile en cas de changement de ces dimensions :

// Matrices (première passe)

mat4 projectionFBO;
mat4 modelviewFBO;


// Initialisation

projectionFBO = perspective(70.0, (double)frameBuffer.getLargeur() / frameBuffer.getHauteur(), 1.0, 100.0);
modelviewFBO = mat4(1.0);

Si vous vous posez la question, sachez que l'autre couple de matrices n'a pas besoin d'être modifié, elles sont très bien comme ça. :)

void SceneOpenGL::bouclePrincipale()
{
    // Variables

    unsigned int frameRate (1000 / 50);
    Uint32 debutBoucle(0), finBoucle(0), tempsEcoule(0);


    // Frame Buffer

    FrameBuffer frameBuffer(512, 512);
    frameBuffer.charger();


    // Matrices (première passe)

    mat4 projectionFBO;
    mat4 modelviewFBO;

    projectionFBO = perspective(70.0, (double)frameBuffer.getLargeur() / frameBuffer.getHauteur(), 1.0, 100.0);
    modelviewFBO = mat4(1.0);


    // Matrices (seconde passe)

    mat4 projection;
    mat4 modelview;

    projection = perspective(70.0, (double) m_largeurFenetre / m_hauteurFenetre, 1.0, 100.0);
    modelview = mat4(1.0);



    // Caméra

    ....
}

La première passe

Tous nos objets sont maintenant en place, il ne manque plus qu'à passer aux deux passes. Dans la première, nous allons juste afficher une caisse dans le FBO. Créez donc, si ce n'est déjà fait, un objet Caisse. Ajoutez également une variable de type float, elle nous permettra de le faire pivoter sur lui-même :

void SceneOpenGL::bouclePrincipale()
{
    // Frame Buffer, Matrices et Caméra

    ....


    // Objet Caisse

    Caisse caisse(2.0, "Shaders/textureMVP.vert", "Shaders/texture.frag", "Textures/Caisse2.jpg");
    caisse.charger();

    float angle = 0.0;


    // Boucle principale 

    ....
}

Étant donné que les FBO se comportent comme des écrans, nous n'avons pas à modifier notre manière d'effectuer nos rendus. Il nous faut toujours nettoyer les buffers avec la fonction glClear(), repositionner la caméra, etc. La seule chose qui ne sera pas présente ce sera la limitation Frame Rate qui elle concerne l'application entière et pas juste un FBO.

Pour être plus précis, nous devons :

Nous avons déjà vu ce code pas mal de fois, je passerai donc les explications pour celui-ci. ^^ Faites juste attention à utiliser les matrices réservées au FBO.

// Boucle principale

while(!m_input.terminer())
{
    // Gestion des évènements

    ....


  
    /* ***** Première passe ***** */


    // Nettoyage de l'écran

    glClear(GL_COLOR_BUFFER_BIT | GL_DEPTH_BUFFER_BIT);


    // Placement de la caméra

    modelviewFBO = lookAt(vec3(3, 0, 3), vec3(0, 0, 0), vec3(0, 1, 0));


    // Gestion de la rotation de la caisse

    angle += 2;

    if(angle > 360)
        angle -= 360;


    mat4 sauvegardeModelviewFBO = modelviewFBO;

            modelviewFBO = rotate(modelviewFBO, angle, vec3(0, 1, 0));
            caisse.afficher(projectionFBO, modelviewFBO);

    modelviewFBO = sauvegardeModelviewFBO;


    // Actualisation de la fenêtre

    ....
}

Remarquez ici que l'on n'utilise pas la caméra mobile, on se place au niveau d'un point fixe. Si nous faisons cela, c'est pour éviter que le contenu du FBO ne change en fonction des mouvements de la caméra. Si vous faites un test avec elle, vous remarquez que votre cube n'apparait qu'à certains endroits car votre point de vue est modifié en permanence.

Mais si on ne change rien ce code, le rendu va se faire sur l'écran non ?

Oui évidemment si on ne dit rien à OpenGL il va comprendre qu'il doit tout afficher sur l'écran.

Pour lui dire d'utiliser le FBO, nous allons devoir ajouter deux choses :

Le verrouillage va être très simple à faire car il nous suffit d'appeler la fonction glBindFramebuffer() au début et à la fin de l'affichage de la première passe :

// Boucle principale

while(!m_input.terminer())
{
    // Gestion des évènements

    ....


  
    /* ***** Première passe ***** */


    // Verrouillage du Frame Buffer

    glBindFramebuffer(GL_FRAMEBUFFER, frameBuffer.getID());


        // Nettoyage de l'écran

        glClear(GL_COLOR_BUFFER_BIT | GL_DEPTH_BUFFER_BIT);


        // Placement de la caméra

        modelviewFBO = lookAt(vec3(3, 0, 3), vec3(0, 0, 0), vec3(0, 1, 0));


        // Gestion de la rotation de la caisse

        angle += 2;

        if(angle > 360)
            angle -= 360;


        // Affichage de la caisse

        mat4 sauvegardeModelviewFBO = modelviewFBO;

            modelviewFBO = rotate(modelviewFBO, angle, vec3(0, 1, 0));
            caisse.afficher(projectionFBO, modelviewFBO);

        modelviewFBO = sauvegardeModelviewFBO;


    // Déverrouillage du Frame Buffer

    glBindFramebuffer(GL_FRAMEBUFFER, 0);


    // Actualisation de la fenêtre

    ....
}

Le redimensionnement de la fenêtre est une notion qui peut vous paraitre un peu bizarre, mais pour vous donner un exemple voici ce qui se passerait si nous ne faisions pas cette étape :

Image utilisateur

Dans ce cas, OpenGL et le FBO ne travaillent pas avec les mêmes dimensions, la caisse peut se retrouver alors déformée, tronquée, ou je ne sais quoi d'autre.

Pour éviter cela, nous allons dire à OpenGL de travailler temporairement avec les dimensions du FBO (512x512 ici). Ceci se fait grâce à la fonction glViewport() :

void glViewport(GLint x, GLint y, GLsizei width, GLsizei height);

Cette fonction est à appeler juste après la fonction de nettoyage glClear() :

// Boucle principale

while(!m_input.terminer())
{
    // Gestion des évènements

    ....



    /* ***** Première passe ***** */


    // Verrouillage du Frame Buffer

    glBindFramebuffer(GL_FRAMEBUFFER, frameBuffer.getID());


        // Nettoyage de l'écran

        glClear(GL_COLOR_BUFFER_BIT | GL_DEPTH_BUFFER_BIT);


        // Redimensionnement de la zone d'affichage

        glViewport(0, 0, frameBuffer.getLargeur(), frameBuffer.getHauteur());


        // Placement de la caméra

        modelviewFBO = lookAt(vec3(3, 0, 3), vec3(0, 0, 0), vec3(0, 1, 0));


        // Gestion de la rotation de la caisse

        angle += 2;

        if(angle > 360)
            angle -= 360;


        // Affichage de la caisse

        mat4 sauvegardeModelviewFBO = modelviewFBO;

            modelviewFBO = rotate(modelviewFBO, angle, vec3(0, 1, 0));
            caisse.afficher(projectionFBO, modelviewFBO);

        modelviewFBO = sauvegardeModelviewFBO;


    // Déverrouillage du Frame Buffer

    glBindFramebuffer(GL_FRAMEBUFFER, 0);


    // Actualisation de la fenêtre

    ....
}

Si tout s'est bien passé jusque là, vous devriez avoir le rendu de votre caisse à l'intérieur de votre FBO, et plus précisément à l'intérieur de la texture qu'est le Color Buffer.

Si vous pensez qu'il y a trop de choses à apprendre, ne vous inquiétez pas nous allons faire un point récapitulatif à la fin de cette partie. ^^

La seconde passe

La seconde passe est la dernière étape d'implémentation d'un FBO, elle consiste simplement à afficher le contenu de son Color Buffer sur une surface. Si vous avez une scène 3D, c'est le moment de l'afficher également.

Il n'y a pas de nouvelles notions à apprendre ici, il faut effectuer le rendu comme d'habitude. Le seul petit ajout sera le redimensionnement de la zone d'affichage qui est réduite à 512x512 pour le moment. Il faudra remettre les dimensions de la fenêtre SDL.

Pour commencer, nous allons afficher un carré qui accueillera la texture du FBO. Ajoutez donc le code suivant après déclaré la caisse. Je passe un peu son explication, le chapitre est assez dense comme ça, il permet juste d'afficher un carré avec une gestion des VBO/VAO. Les coordonnées de textures sont également présentes, elles permettront de faire le lien avec la texture du FBO.

void SceneOpenGL::bouclePrincipale()
{
    // Frame Buffer, Matrices et Caméra

    ....


    // Objet Caisse

    ...


    // Vertices

    float vertices[] = {0, 0, 0,   4, 0, 0,   4, 4, 0,     // Triangle 1
    			0, 0, 0,   0, 4, 0,   4, 4, 0};    // Triangle 2

    float coordTexture[] = {0, 0,   1, 0,   1, 1,          // Triangle 1
			    0, 0,   0, 1,   1, 1};         // Triangle 2



    /* ***** Gestion du VBO ***** */

    GLuint vbo;
    int tailleVerticesBytes = 18 * sizeof(float);
    int tailleCoordTextureBytes = 12 * sizeof(float);


    // Génération du VBO

    glGenBuffers(1, &vbo);


    // Verrouillage

    glBindBuffer(GL_ARRAY_BUFFER, vbo);

	// Remplissage

	glBufferData(GL_ARRAY_BUFFER, tailleVerticesBytes + tailleCoordTextureBytes, 0, GL_STATIC_DRAW);
	glBufferSubData(GL_ARRAY_BUFFER, 0, tailleVerticesBytes, vertices);
	glBufferSubData(GL_ARRAY_BUFFER, tailleVerticesBytes, tailleCoordTextureBytes, coordTexture);


    // Déverrouillage

    glBindBuffer(GL_ARRAY_BUFFER, 0);


    /* ***** Gestion du VAO ***** */

    GLuint vao;


    // Génération du VAO

    glGenVertexArrays(1, &vao);


    // Verrouillage du VAO

    glBindVertexArray(vao);

	// Verrouillage du VBO

	glBindBuffer(GL_ARRAY_BUFFER, vbo);


		// Vertex Attrib 0 (Vertices)

		glVertexAttribPointer(0, 3, GL_FLOAT, GL_FALSE, 0, BUFFER_OFFSET(0));
		glEnableVertexAttribArray(0);


		 // Vertex Attrib 0 (Vertices)

		glVertexAttribPointer(2, 2, GL_FLOAT, GL_FALSE, 0, BUFFER_OFFSET(tailleVerticesBytes));
		glEnableVertexAttribArray(2);


	// Déverrouillage du VBO

	glBindBuffer(GL_ARRAY_BUFFER, 0);


    // Déverrouillage du VAO

    glBindVertexArray(0);


    // Shader

    Shader shaderTexture("Shaders/textureMVP.vert", "Shaders/texture.frag");
    shaderTexture.charger();


    // Boucle principale

    while(!m_input.terminer())
    {
        ....
    }
}

Dans le prochain chapitre, nous créerons une classe dédiée pour les carrés. Cela évitera d'avoir à inclure des gros bouts de code comme celui-là. :)

Une fois le carré déclaré, il me manque plus qu'à l'afficher. Pour cela nous allons répéter les mêmes opérations d'affichage que l'on a l'habitude de faire, à savoir:

// Boucle principale

while(!m_input.terminer())
{
    // Gestion des évènements

    ....



    /* ***** Première passe ***** */


    ....



    /* ***** Seconde passe ***** */


    // Nettoyage de l'écran

    glClear(GL_COLOR_BUFFER_BIT | GL_DEPTH_BUFFER_BIT);


    // Gestion de la caméra

    camera.lookAt(modelview);


    // Activation du shader

    glUseProgram(shaderTexture.getProgramID());


	// Verrouillage du VAO

	glBindVertexArray(vao);

	
	    // Envoi des matrices

            shaderTexture.envoyerMat4("modelviewProjection", projection * modelview);


	    // Verrouillage de la texture

	    glBindTexture(GL_TEXTURE_2D, frameBuffer.getColorBufferID(0));


		// Rendu

		glDrawArrays(GL_TRIANGLES, 0, 6);

		
	    // Déverrouillage de la texture

            glBindTexture(GL_TEXTURE_2D, 0);
	

        // Verrouillage du VAO

        glBindVertexArray(0);


    // Désactivation du shader

    glUseProgram(0);


    // Gestion du Frame Rate

    ....
}

N'oublions pas la touche finale qui consiste à redimensionner de la zone d'affichage. Nous utiliserons les attributs m_largeurFenetre et m_hauteurFenetre avec la fonction glViewport() pour régler ce petit détail :

/* ***** Seconde passe ***** */


// Nettoyage de l'écran

glClear(GL_COLOR_BUFFER_BIT | GL_DEPTH_BUFFER_BIT);


// Redimensionnement de la zone d'affichage

glViewport(0, 0, m_largeurFenetre, m_hauteurFenetre);


// Gestion de la caméra

camera.lookAt(modelview);

Récapitulatif de la méthode bouclePrincipale()

La méthode bouclePrincipale() accueille pas mal de code en ce moment, nous allons tout récapituler pour être sûr qu'il ne vous manque pas un bout quelque part.

Voici les objets à déclarer au début de votre méthode (attention au shader de la caisse je le répète ;) ) :

void SceneOpenGL::bouclePrincipale()
{
    // Variables

    unsigned int frameRate (1000 / 50);
    Uint32 debutBoucle(0), finBoucle(0), tempsEcoule(0);


    // Frame Buffer

    FrameBuffer frameBuffer(512, 512);
    frameBuffer.charger();


    // Matrices (première passe)

    mat4 projectionFBO;
    mat4 modelviewFBO;

    projectionFBO = perspective(70.0, (double)frameBuffer.getLargeur() / frameBuffer.getHauteur(), 1.0, 100.0);
    modelviewFBO = mat4(1.0);


    // Matrices (seconde passe)

    mat4 projection;
    mat4 modelview;

    projection = perspective(70.0, (double) m_largeurFenetre / m_hauteurFenetre, 1.0, 100.0);
    modelview = mat4(1.0);


    // Caméra mobile

    Camera camera(vec3(3, 3, 3), vec3(0, 0, 0), vec3(0, 1, 0), 0.5, 0.5);
    m_input.afficherPointeur(false);
    m_input.capturerPointeur(true);


    // Objet Caisse

    Caisse caisse(2.0, "Shaders/textureMVP.vert", "Shaders/texture.frag", "Textures/Caisse2.jpg");
    caisse.charger();

    float angle = 0.0;


    // Vertices

    float vertices[] = {0, 0, 0,   4, 0, 0,   4, 4, 0,     // Triangle 1
    			0, 0, 0,   0, 4, 0,   4, 4, 0};    // Triangle 2

    float coordTexture[] = {0, 0,   1, 0,   1, 1,          // Triangle 1
			    0, 0,   0, 1,   1, 1};         // Triangle 2


    /* ***** Gestion du VBO ***** */

    GLuint vbo;
    int tailleVerticesBytes = 18 * sizeof(float);
    int tailleCoordTextureBytes = 12 * sizeof(float);


    // Génération du VBO

    glGenBuffers(1, &vbo);


    // Verrouillage

    glBindBuffer(GL_ARRAY_BUFFER, vbo);

	// Remplissage

	glBufferData(GL_ARRAY_BUFFER, tailleVerticesBytes + tailleCoordTextureBytes, 0, GL_STATIC_DRAW);
	glBufferSubData(GL_ARRAY_BUFFER, 0, tailleVerticesBytes, vertices);
	glBufferSubData(GL_ARRAY_BUFFER, tailleVerticesBytes, tailleCoordTextureBytes, coordTexture);


    // Déverrouillage

    glBindBuffer(GL_ARRAY_BUFFER, 0);


    /* ***** Gestion du VAO ***** */

    GLuint vao;


    // Génération du VAO

    glGenVertexArrays(1, &vao);


    // Verrouillage du VAO

    glBindVertexArray(vao);

	// Verrouillage du VBO

	glBindBuffer(GL_ARRAY_BUFFER, vbo);


		// Vertex Attrib 0 (Vertices)

		glVertexAttribPointer(0, 3, GL_FLOAT, GL_FALSE, 0, BUFFER_OFFSET(0));
		glEnableVertexAttribArray(0);


		 // Vertex Attrib 0 (Vertices)

		glVertexAttribPointer(2, 2, GL_FLOAT, GL_FALSE, 0, BUFFER_OFFSET(tailleVerticesBytes));
		glEnableVertexAttribArray(2);


	// Déverrouillage du VBO

	glBindBuffer(GL_ARRAY_BUFFER, 0);


    // Déverrouillage du VAO

    glBindVertexArray(0);


    // Shader

    Shader shaderTexture("Shaders/textureMVP.vert", "Shaders/texture.frag");
    shaderTexture.charger();


    // Boucle principale

    while(!m_input.terminer())
    {
        ....
    }
}

Et voici ce que contient la boucle principale :

// Boucle principale

while(!m_input.terminer())
{
    // On définit le temps de début de boucle

    debutBoucle = SDL_GetTicks();


    // Gestion des évènements

    m_input.updateEvenements();

    if(m_input.getTouche(SDL_SCANCODE_ESCAPE))
        break;

    camera.deplacer(m_input);



    /* ***** Première Passe ***** */
 

    // Verrouillage du Frame Buffer

    glBindFramebuffer(GL_FRAMEBUFFER, frameBuffer.getID());


        // Nettoyage de l'écran

        glClear(GL_COLOR_BUFFER_BIT | GL_DEPTH_BUFFER_BIT);


        // Redimensionnement de la zone d'affichage

        glViewport(0, 0, frameBuffer.getLargeur(), frameBuffer.getHauteur());


        // Placement de la caméra

        modelviewFBO = lookAt(vec3(3, 0, 3), vec3(0, 0, 0), vec3(0, 1, 0));


        // Gestion de la rotation de la caisse

        angle += 2;

        if(angle > 360)
            angle -= 360;


        // Affichage de la caisse

        mat4 sauvegardeModelviewFBO = modelviewFBO;

            modelviewFBO = rotate(modelviewFBO, angle, vec3(0, 1, 0));
            caisse.afficher(projectionFBO, modelviewFBO);

        modelviewFBO = sauvegardeModelviewFBO;


    // Déverrouillage du Frame Buffer

    glBindFramebuffer(GL_FRAMEBUFFER, 0);



    /* ***** Seconde Passe ***** */


    // Nettoyage de l'écran

    glClear(GL_COLOR_BUFFER_BIT | GL_DEPTH_BUFFER_BIT);


    // Redimensionnement de la zone d'affichage

    glViewport(0, 0, m_largeurFenetre, m_hauteurFenetre);


    // Gestion de la caméra

    camera.lookAt(modelview);


    // Activation du shader

    glUseProgram(shaderTexture.getProgramID());


	// Verrouillage du VAO

	glBindVertexArray(vao);

	
	    // Envoi des matrices

            shaderTexture.envoyerMat4("modelviewProjection", projection * modelview);


	    // Verrouillage de la texture

	    glBindTexture(GL_TEXTURE_2D, frameBuffer.getColorBufferID(0));


		// Rendu

		glDrawArrays(GL_TRIANGLES, 0, 6);

		
	    // Déverrouillage de la texture

            glBindTexture(GL_TEXTURE_2D, 0);
	

        // Verrouillage du VAO

        glBindVertexArray(0);


    // Désactivation du shader

    glUseProgram(0);


    // Actualisation de la fenêtre

    SDL_GL_SwapWindow(m_fenetre);


    // Calcul du temps écoulé

    finBoucle = SDL_GetTicks();
    tempsEcoule = finBoucle - debutBoucle;


    // Si nécessaire, on met en pause le programme

    if(tempsEcoule < frameRate)
        SDL_Delay(frameRate - tempsEcoule);
}

Si vous êtes prêts, vous pouvez compiler tout ça pour voir ce que cela donne. :D

Image utilisateur

C'est un peu bizarre ton truc on ne voit pas grand chose. :(

Bon j'avoue, on ne voit pas grand chose.

On va ajouter un appel à la fonction glClearColor() juste avant d'appeler glClear() au niveau de la première passe. Cette fonction permet de donner une couleur par défaut à votre affichage au moment où les buffers sont nettoyés :

void glClearColor(GLfloat red, GLfloat green, GLfloat blue, GLfloat alpha)

Appelons cette fonction dans la première passe juste avant glClear(), nous donnerons une couleur grise par défaut :

/* ***** Première passe ***** */


// Nettoyage de l'écran

glClearColor(0.5, 0.5, 0.5, 1.0);
glClear(GL_COLOR_BUFFER_BIT | GL_DEPTH_BUFFER_BIT);

Le problème avec cette fonction est qu'elle applique la couleur par défaut à tous les FBO, écran compris. Pour remettre la couleur qu'il y avait avant il faut donc faire la même chose qu'avec glViewport() et rappeler la fonction une seconde fois au moment de la seconde passe.

C'est donc ce que nous allons faire en remettant cette fois la couleur noir :

/* ***** Seconde passe ***** */


// Nettoyage de l'écran

glClearColor(0.0, 0.0, 0.0, 1.0);
glClear(GL_COLOR_BUFFER_BIT | GL_DEPTH_BUFFER_BIT);

Recompilons maintenant tout cela :

Image utilisateur
Image utilisateur

C'est déjà un peu mieux.

Faites le tour de votre carré pour voir que votre caisse n'existe pas en 3D, elle est contenue dans une simple texture 2D. Grâce aux FBO, nous sommes en théorie capables d'appliquer n'importe quel effet sur cet affichage à l'aide des shaders (déformation, miroir, flou, ombre, etc.).

Cet exemple n'est pas bien parlant, mais le TP qui va arriver juste après ce chapitre, vous devrez ên faire une utilisation plus utile. ^^

Ce qu'il faut retenir

Piouf, nous aurons vu pas mal de choses dans ce chapitre. Entre la création d'un FBO et son utilisation finale, il y a plein de petites notions auxquelles il faut faire attention. Nous allons résumé tout cela en quelques points pour synthétiser toute cette partie.

Les préparatifs

Premièrement, l'utilisation d'un FBO est divisée en deux étapes que l'on appelle passe. La première contient les éléments affichés uniquement dans le FBO. La seconde quant à elle se concentre sur l'affichage normal de la scène (plus le contenu du FBO).

Avant même de commencer la première passe, il faut déterminer les dimensions du FBO. Plus elles seront grandes, meilleur sera votre rendu. Cependant cela impactera sur les performances de votre application final. Il est préférable de choisir des dimensions moins importantes pour économiser au maximum vos ressources.

Enfin, le dernier point à retenir pour les préparatifs est la création d'un second couple de matrices spécialement dédié à la première passe. On évite ainsi d'éventuelles erreurs en rapport avec la seconde. La matrice projection doit prendre en compte le rapport des dimensions du FBO dans la méthode perspective().

La première passe

La première passe commence par le verrouillage du FBO à l'aide de la fonction glBindFramebuffer(). Incluez le déverrouillage immédiatement après pour ne pas oublier de le faire.

Le rendu se comporte ensuite de la même façon qu'un rendu classique. Cela va de la fonction glClear(), qui permet de nettoyer les buffers du FBO jusqu'au dernier objet que vous souhaitez afficher. Petite précision importante : Il est préférable de se positionner d'un point de vu fixe, et non mobile. Préférez donc la méthode lookAt() de la matrice modelview.

Pensez à appeler la fonction glViewport() pour redimensionner la zone d'affichage en fonction des dimensions du FBO.

La seconde passe

Le rendu de la second passe se concentre sur le rendu normal de la scène 3D. On retrouve ainsi tous les objets qui la composent, même ceux faisant partie du FBO.

Pensez la encore à appeler la fonction glViewport() pour redimensionner la zone d'affichage en fonction des dimensions de votre fenêtre.

Affichez enfin le contenu du Color Buffer du FBO sur une surface comme vous le feriez pour une texture classique.


Le Frame Buffer Améliorations simples

Améliorations simples

Utilisation Gérer plusieurs Color Buffers

Dans cette partie, nous allons faire plusieurs modifications dans notre classe FrameBuffer. Nous allons tout d'abord voir comment économiser un peu de ressources en évitant d'utiliser le Stencil Buffer lorsque l'on n'en a pas besoin. Nous implémenterons ensuite le constructeur de copie, vous savez déjà à quoi il peut bien service. ^^ Enfin, nous verrons ensemble, dans une ultime partie, comment gérer plusieurs Color Buffers. Ce sera un peu technique, je ferai donc un point récapitulatif dessus à la fin.

Éviter la création du Stencil Buffer

Un nouvel attribut

Le premier point que nous allons gérer concerne l'économie de ressources relatives au Stencil Buffer. En effet celui-ci n'est pas souvent utilisé, d'ailleurs nous ne l'avons jamais utilisé, nous pouvons donc éviter sa création dans la méthode charger() lorsque nous n'en avons pas besoin.

Pour cela, nous allons ajouter un nouvel attribut nommé m_utiliserStencilBuffer de type bool :

// Classe

class FrameBuffer
{
    public:

    ....


    private:

    GLuint m_id;

    int m_largeur;
    int m_hauteur;

    std::vector<Texture> m_colorBuffers;
    GLuint m_depthBufferID;

    bool m_utiliserStencilBuffer;
};

Celui-ci permettra de dire si oui ou non, nous devons créer le Stencil Buffer.

Modification du constructeur

Pour lui donner une valeur au moment au moment de créer un objet FrameBuffer, nous allons légèrement modifier le constructeur. Pour le moment, le prototype est le suivant :

FrameBuffer(int largeur, int hauteur);

Nous allons ajouter un autre paramètre pour lui permettre de donner une valeur à notre nouveau booléen. De préférence, nous l'ajouterons avec une valeur par défaut égale à false car le Stencil Buffer n'est pas souvent utilisé :

FrameBuffer(int largeur, int hauteur, bool utiliserStencilBuffer = false);

Bien entendu, il faut modifier le constructeur dans le fichier .cpp. Il faut ajouter ce nouveau paramètre ainsi que l'initialisation du booléen :

FrameBuffer::FrameBuffer(int largeur, int hauteur, bool utiliserStencilBuffer) : m_id(0), m_largeur(largeur), m_hauteur(hauteur),
                                                                                 m_colorBuffers(0), m_depthBufferID(0),
                                                                                 m_utiliserStencilBuffer(utiliserStencilBuffer)
{

}

Pour compléter les modifications, pensons à initialiser le booléen dans le constructeur par défaut avec une valeur égale à false :

FrameBuffer::FrameBuffer() : m_id(0), m_largeur(0), m_hauteur(0), m_colorBuffers(0), m_depthBufferID(0), m_utiliserStencilBuffer(false)
{

}

Création des Render Buffers

Maintenant que le booléen possède une valeur (soit false par défaut, soit true par le programmeur) nous pouvons l'utiliser dans la méthode charger() pour nous permettre de bloquer ou non le chargement du Stencil Buffer.

Mais avant cela, nous allons revenir à la création du double-Render Buffer et se demander : comment peut-on séparer le Depth et le Stencil Buffer ? Car je vous rappelle que les deux se trouve dans le même buffer.

La réponse est en fait très simple et se situe au niveau du format interne, celui que nous donnons à la méthode creerRenderBuffer() :

// Création du Depth et du Stencil Buffer

creerRenderBuffer(m_depthBufferID, GL_DEPTH24_STENCIL8);

Pour le moment, nous lui donnons la constante GL_DEPTH24_STENCIL8 pour dire à OpenGL de créer un double-RenderBuffer contenant le Depth et le Stencil.

Pour ne garder que le Depth, il suffit juste de changer la constante en GL_DEPTH_COMPONENT24. Avec elle, OpenGL comprendrait qu'il ne doit créer que le Depth Buffer. L'appel à la méthode creerRenderBuffer() ressemblerait donc à ceci :

// Création du Depth Buffer

creerRenderBuffer(m_depthBufferID, GL_DEPTH_COMPONENT24);

En définitif, si le booléen m_utiliserStencilBuffer est égal à la valeur true alors on conserve le double-Render Buffer, sinon on utilise la nouvelle constante pour ne garder que le Depth Buffer :

bool FrameBuffer::charger()
{
    // Début de la méthode

    ....


    // Création du Depth Buffer et du Stencil Buffer (si besoin)

    if(m_utiliserStencilBuffer == true)
        creerRenderBuffer(m_depthBufferID, GL_DEPTH24_STENCIL8);

    else
        creerRenderBuffer(m_depthBufferID, GL_DEPTH_COMPONENT24);


    // Association du Color Buffer

    ....
}

Association des Renders Buffers

L'appel à la fonction glFramebufferRenderbuffer() doit également être modifié. En effet, son paramètre attachment permet de spécifier le point d'attache du Render buffer, sa valeur est pour le moment égale à la constante GL_DEPTH_STENCIL_ATTACHMENT :

// Association du Depth et du Stencil Buffer

glFramebufferRenderbuffer(GL_FRAMEBUFFER, GL_DEPTH_STENCIL_ATTACHMENT, GL_RENDERBUFFER, m_depthBufferID);

Dans le cas où le booléen est à false, il faudrait changer cette constante car le Stencil Buffer n'existe pas. Celle-ci deviendrait alors GL_DEPTH_ATTACHMENT :

// Association du Depth Buffer

glFramebufferRenderbuffer(GL_FRAMEBUFFER, GL_DEPTH_ATTACHMENT, GL_RENDERBUFFER, m_depthBufferID);

En utilisant le booléen, l'association du Render Buffer ressemblerait donc à :

bool FrameBuffer::charger()
{
    // Début de la méthode

    ....


    // Association du Color Buffer

    ....


    // Création du Depth Buffer et du Stencil Buffer (si besoin)

    if(m_utiliserStencilBuffer == true)
        glFramebufferRenderbuffer(GL_FRAMEBUFFER, GL_DEPTH_STENCIL_ATTACHMENT, GL_RENDERBUFFER, m_depthBufferID);

    else
        glFramebufferRenderbuffer(GL_FRAMEBUFFER, GL_DEPTH_ATTACHMENT, GL_RENDERBUFFER, m_depthBufferID);


    // Vérification de l'intégrité du FBO

    ....
}

Création d'un objet FrameBuffer

Au final, si vous souhaitez utiliser le Stencil Buffer avec un FBO vous devrez ajouter la valeur true au constructeur :

// Frame Buffer avec Stencil Buffer

FrameBuffer frameBuffer(512, 512, true);

Si vous ne souhaitez pas l'utiliser, soit vous ne mettez pas de booléen, soit vous mettez la valeur false :

// Frame Buffer sans Stencil Buffer

FrameBuffer frameBuffer(512, 512);

Le constructeur de copie

Le constructeur de copie est une pseudo-méthode que nous avons l'habitude de rencontrer maintenant. Vous savez que les objets OpenGL ne peuvent être copiés comme de simples variables, ils doivent être totalement rechargés dans leur copie exactement comme s'il s'agissait de pointeurs. On ne risque ainsi pas de perdre des données si un objet original est détruit.

Le constructeur de copie est assez simple puisqu'il ne prend en paramètre qu'une référence constante sur un objet de même type, ici FrameBuffer :

FrameBuffer(const FrameBuffer &frameBufferACopier);

Son implémentation commencera comme d'habitude par la copie des attributs variables. Si on regarde notre liste d'attributs, on remarque qu'il n'y en a que trois : m_largeur, m_hauteur et m_utiliserStencilBuffer.

FrameBuffer::FrameBuffer(const FrameBuffer &frameBufferACopier)
{
    // Copie de la largeur, de la hauteur et du booléen

    m_largeur = frameBufferACopier.m_largeur;
    m_hauteur = frameBufferACopier.m_hauteur;
    m_utiliserStencilBuffer = frameBufferACopier.m_utiliserStencilBuffer;
}

Ces trois attributs peuvent être copiés directement. En revanche, les autres sont( ou contiennent) des objets OpenGL ils ne peuvent donc pas être copiés par le signe =. La méthode qui leur donne une valeur est la méthode charger(). C'est elle qui charge le FBO et qui permet de gérer un identifiant à tous ces attributs.

Nous l'appellerons donc cette méthode pour simuler une copie de ces attributs :

FrameBuffer::FrameBuffer(const FrameBuffer &frameBufferACopier)
{
    // Copie de la largeur, de la hauteur et du booléen

    m_largeur = frameBufferACopier.m_largeur;
    m_hauteur = frameBufferACopier.m_hauteur;
    m_utiliserStencilBuffer = frameBufferACopier.m_utiliserStencilBuffer;


    // Chargement de la copie du Frame Buffer

    charger();
}

Le constructeur de copie est maintenant complet. :)


Utilisation Gérer plusieurs Color Buffers

Gérer plusieurs Color Buffers

Améliorations simples

Cette partie est en cours de ré-écriture, sa précédente version était trop lourde et inutilement complexe. Néanmoins, vous avez déjà pratiquement tout vu sur les FBO. ^^

Télécharger (Windows, UNIX/Linux, Mac OS X) : Code Source C++ du chapitre sur les Frame Buffers Objects

Ce chapitre était un peu compliqué et il y avait pas mal de notions à assimiler en une fois. Vous comprendrez pourquoi je l'ai placé à la fin des notions avancées.

Les Frame Buffers permettent de faire pas mal de choses mais il faut avoir un minimum de connaissances en OpenGL pour connaitre leur fonctionnement. Je vous rassure tout de suite, si je vous ai fait un chapitre dessus c'est parce que vous êtes tout à fait capables de les utiliser. ^^

Après tout ce que vous avez vu jusqu'à présent, vous avez une bonne vu d'ensemble de ce que propose OpenGL. Il y a plein d'autres fonctionnalités à voir évidemment, mais à partir de maintenant nous n'allons pas vraiment apprendre de nouvelles notions pures et dures mais nous allons plutôt utiliser tout ce que nous avons vu pour faire de véritables rendus. Nous allons apprendre à charger des modèles 3D statiques et animés, utiliser des SkyBox, des heigh maps, et bien évidemment des effets ralistes avec les shaders.

Avant de passer à ce programme, je vous invite à faire un petit TP, basé sur le premier que vous avez déjà fait, pour mettre en pratique ce que nous avons vu dans cette deuxième partie. Il y aura des VBO, des VAO, des shaders et bien évidemment des FBO. :p

Ce tutoriel est loin d'être terminé, nous avons encore pas mal de choses à voir et à apprendre ensemble ^^ . Pour vous donner un avant-goût des prochains chapitres, sachez que :

Si vous avez des remarques ou des éléments que vous aimeriez que je développe, merci de m'en faire part dans les commentaires de ce tutoriel. Toute critique (constructive) sera la bienvenue :) .


Améliorations simples